Les Informations Présentées Sur Ce Site Ne Constituent Pas Un Avis Médical. Nous Ne Vendons Rien. L'Exactitude De La Traduction N'Est Pas Garantie. Clause De Non-Responsabilité
Antifongiques, topique
Crème naftin
Résumé
Qu'est-ce que la crème naftin?
La crème de naftin (chlorhydrate de nafrifine) est une médicament antifongique topique (pour la peau) utilisée pour traiter les infections cutanées telles que les démangeaisons du jock des athlètes et les infections de la teigne.
Quels sont les effets secondaires de la crème naftin?
Les effets secondaires courants de la crème naftin comprennent:
- Réactions d'application du site (brûlure des irritions piquantes rougeurnesse sèche cutanée démangeaisons inflammation ramollissement et panne des cloques de peau drainage séreux ou croûte)
- Maux de tête et
- vertiges.
Cherchez des soins médicaux ou appelez le 911 à la fois si vous avez les effets secondaires graves suivants:
- Des symptômes oculaires graves tels que la perte de vision soudaine floue du tunnel de vision de la vision de la vision des yeux ou de l'enflure ou de voir des halos autour des lumières;
- Symptômes cardiaques graves tels que les battements cardiaques rapides ou battants; flotter dans votre poitrine; essoufflement; et des étourdissements soudains, de la légèreté ou de l'évanouissement;
- Maux de tête sévères Confusion Slurred Speech Bras ou Ligne Proulitude Trouble de la merde Perte de coordination Sentiment des muscles très rigides très rigides Fièvre élevée Propice ou des tremblements.
Ce document ne contient pas tous les effets secondaires possibles et d'autres peuvent survenir. Vérifiez auprès de votre médecin des informations supplémentaires sur les effets secondaires.
Dosage pour la crème naftin
Appliquez une mince dose de couche de crème de naftin 2% une fois-quotidien sur les zones affectées, plus une marge de ½ pouce de peau environnante saine pendant 2 semaines.
Quelles substances de médicaments ou suppléments interagissent avec la crème de naftin?
Évitez d'utiliser d'autres topiques en même temps, sauf si votre médecin approuve pour éviter les interactions.
Crème de naftin pendant la grossesse ou l'allaitement
Dites à votre médecin tous les médicaments et suppléments que vous utilisez. Dites à votre médecin si vous êtes enceinte ou plantez pour devenir enceinte avant d'utiliser de la crème de naftin; On ne sait pas si cela affecterait un fœtus. On ne sait pas si la crème naftin passe dans le lait maternel. Consultez votre médecin avant l'allaitement.
Effets secondaires de Gonal F Pen
Informations Complémentaires
Notre centre de médicaments à effets secondaires de crème naftin (nafrifine chlorhydrate) offre une vue complète des informations sur les médicaments disponibles sur les effets secondaires potentiels lors de la prise de ce médicament.
Informations sur les médicaments de la FDA
- Description de la drogue
- Indications
- Effets secondaires
- Avertissements
- Surdosage
- Pharmacologie clinique
- Guide des médicaments
Description de la crème naftin
La crème naftin est une crème blanche à blanc cassé pour une utilisation topique uniquement. Chaque gramme de crème (chlorhydrate de nafrifine) contient 20 mg de chlorhydrate de nafrifine (2%) un composé antifongique d'allylamine synthétique.
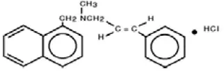
Le HCl chimiquement nafrifine est (E) -N-Cinnamyl-N-méthyl-1-napthaleneméthylamine chlorhydrate.
La formule moléculaire est C 21 H 21 N • HCl avec un poids moléculaire de 323,86.
La formule structurelle du chlorhydrate de nafrifine est:
|
La crème de naftin contient les ingrédients inactifs suivants: alcool benzyle alcool cétyl esters cétyl cire d'isopropyle myristate polysorbate 60 eau purifiée hydroxyde hydroxyde sorbitan monostarate monostarate alcool stéaryle et acide chlorhydrique.
Utilisations pour la crème naftin
La crème de naftin est indiquée pour le traitement de la Tinea interdigitale Pedis Tinea cruris et de Tinea Corpris provoqués par l'organisme Rubrum de Trichophyton .
Dosage pour la crème naftin
Pour une utilisation topique uniquement. La crème de naftin n'est pas pour une utilisation orale ou intravaginale ophtalmique. Appliquez une fine couche de crème de naftin une fois par jour sur les zones affectées et une marge de ½ pouce de peau environnante saine pendant 2 semaines.
Comment fourni
Formes et forces posologiques
Chaque gramme de crème de naftine contient 20 mg de chlorhydrate de naftifine (2%) dans une base blanche à blanc cassé.
Stockage et manipulation
Naftin Cream 2% est une crème blanche à blanc cassé fournie dans des tubes pliables dans les tailles suivantes:
30g - NDC 0259-1102-30
45G - NDC 0259-1102-45
60g - NDC 0259-1102-60
Stockage
Stocker la crème de naftin à 25 ° C (77 ° F); Excursions autorisées à 15-30 ° C (59-86 ° F) [voir la température ambiante contrôlée par l'USP].
Fabriqué pour: Merz Pharmaceuticals LLC Raleigh NC 27615. Révisé: novembre 2016
Effets secondaires pour la crème naftin
Expérience des essais cliniques
Étant donné que les essais cliniques sont menés dans des conditions de réaction indésirables très variables observées dans les essais cliniques d'un médicament ne peuvent pas être directement comparées aux taux dans les essais cliniques d'un autre médicament et peuvent ne pas refléter les taux observés dans la pratique clinique.
Au cours des essais cliniques, 903 sujets ont été exposés à des formulations de crème à 1% et 2%. Au total, 564 sujets avec des Tinea Interdigital Pedis Tinea cruris ou Tinea Corpris ont été traités avec de la crème de naftin.
Dans deux essais contrôlés par des véhicules randomisés (400 patients ont été traités avec de la crème de naftin). La population avait 12 à 88 ans, principalement des hommes (79%) 48% Caucasien 36% noirs ou afro-américains 40% hispaniques ou latinos et avait soit principalement interdigital de Tinea ou Tinea cruris. La plupart des sujets ont reçu des doses une fois par jour au quotidien pendant 2 semaines pour couvrir les zones de peau affectées plus une marge de ½ pouce de peau saine environnante. Dans les deux essais contrôlés par des véhicules, 17,5% des sujets traités à la crème de naftine ont connu une réaction indésirable contre 19,3% des sujets de véhicule. Le réaction indésirable la plus courante (≥ 1%) est le prurit. La plupart des effets indésirables ont été légers en gravité. L'incidence des effets indésirables dans la population traitée à la crème naftine n'était pas significativement différente de celle de la population traitée par le véhicule.
Dans un troisième essai contrôlé par un véhicule randomisé, 116 sujets pédiatriques avec Tinea Corpris ont été traités avec de la crème de naftin. La population était âgée de ≥ 2 à <18 years (mean age of 9 years) predominantly male (61%) 47% White 51% Black or African American 92% Hispanic or Latino et infected with tinea corporis. Crème naftin was topically applied once daily for 2 weeks to all affected body surface areas with tinea corporis plus a ½ inch margin of healthy skin surrounding the affected lesions. The incidence of adverse reactions in the Crème naftin treated population was not significantly different than in the vehicle treated population.
En deux essais de pharmacocinétique et de sécurité pédiatriques ouverts 49 sujets pédiatriques 2 à <18 years of age with interdigital tinea pedis tinea cruris et tinea corporis received Crème naftin. The incidence of adverse reactions in the pediatric population was similar to that observed in the adult population.
Expérience de commercialisation de la poste
Les effets indésirables suivants ont été identifiés lors de l'utilisation post-approbation de chlorhydrate de nafrifine: rougeur / irritation inflammation macération gonflement des cloques brûlantes de drainage séreux calibrisation maux de tête étourdissements leukopénie de la leucoopénie agranulocytose.
emplois de gardiennage de maison
Étant donné que ces réactions sont rapportées volontairement d'une population de taille incertaine, il n'est pas toujours possible d'estimer de manière fiable leur fréquence ou d'établir une relation causale à l'exposition au médicament.
Interactions médicamenteuses pour la crème naftin
Aucune information fournie
Avertissements pour la crème naftin
Inclus dans le cadre du 'PRÉCAUTIONS' Section
Précautions pour la crème naftin
Réactions indésirables locales
Arrêtez le traitement si l'irritation ou la sensibilité se développe avec l'utilisation de la crème de naftin. Direct des patients à contacter leur médecin si ces conditions se développent après l'utilisation de la crème de naftin.
Toxicologie non clinique
Carcinogenèse Mutagenèse A trouble de la fertilité
Des études à long terme pour évaluer le potentiel cancérigène de la crème de naftine n'ont pas été réalisées.
Le chlorhydrate de nafrifine n'a révélé aucune preuve de potentiel mutagène ou clastogène basé sur les résultats de deux in vitro Tests de génotoxicité (test AMES et test d'aberration chromosomique des cellules ovaires du hamster chinois) et un en vain Test de génotoxicité (test de micronucleus de moelle osseuse de souris).
L'administration orale de chlorhydrate de nafrifine à des rats tout au long de la gestation de l'accouplement Parturition et la lactation n'a montré aucun effet sur la fertilité ou la reproduction de croissance à des doses allant jusqu'à 100 mg / kg / jour (6 fois MRHD).
Utiliser dans des populations spécifiques
Grossesse
Résumé des risques
Il n'y a pas de données disponibles avec la crème de naftin chez les femmes enceintes pour éclairer le risque associé aux médicaments pour les principaux malformations congénitales et les fausses couches. Dans les études de reproduction animale, aucun effet indésirable sur le développement embryofétal n'a été observé à des doses orales administrées pendant la période d'organogenèse jusqu'à 18 fois la dose humaine maximale recommandée (MRHD) chez les rats enceintes ou les doses sous-cutanées administrées pendant la période d'organogenèse jusqu'à 2 fois le MRHD chez les rats enceintes ou 4 fois le MRHD chez les labons enceintes [voir des données].
Le risque de fond estimé de malformations congénitales majeures et de fausse couche pour la population indiquée est inconnue. Toutes les grossesses présentent un risque de fond de perte de maltraitance natale ou d'autres résultats indésirables. Dans la population générale américaine, le risque de fond estimé de malformations congénitales majeures et de fausse couche dans les grossesses cliniquement reconnues est respectivement de 2 à 4% et 15 à 20%.
Effets secondaires du bupropion hcl xl
Données
Données sur les animaux
Des études systémiques de développement embryofétal ont été menées chez le rat et les lapins. Pour la comparaison des doses animales à humaines en fonction de la comparaison de la surface corporelle (mg / m 2 ) Le MRHD est fixé à 8 g à 2% de crème par jour (NULL,67 mg / kg / jour pour une personne de 60 kg).
Des doses orales de 30 100 et 300 mg / kg / jour de chlorhydrate de naftifine ont été administrées pendant la période d'organogenèse aux rats femelles enceintes. Aucun effet lié au traitement sur le développement embryofétal n'a été noté à des doses allant jusqu'à 300 mg / kg / jour (18 fois MRHD). Des doses sous-cutanées de 10 et 30 mg / kg / jour de chlorhydrate de naftifine ont été administrées pendant la période d'organogenèse à des rats femelles enceintes. Aucun effet lié au traitement sur le développement embryofétal n'a été noté à 30 mg / kg / jour (2 fois MRHD). Des doses sous-cutanées de 3 10 et 30 mg / kg / jour de chlorhydrate de naftifine ont été administrées pendant la période d'organogenèse aux lapins enceintes. Aucun effet lié au traitement sur le développement embryofétal n'a été noté à 30 mg / kg / jour (4 fois MRHD).
Une étude de développement péri-et postnatal a été menée chez le rat. Des doses orales de 30 100 et 300 mg / kg / jour de chlorhydrate de naftifine ont été administrées à des rats féminins du jour de la gestation 14 au jour de lactation 21. Le gain de poids corporel réduit des femmes pendant la gestation et de la progéniture pendant la lactation a été noté à 300 mg / kg / jour (18 fois MRHD). Aucune toxicité de développement n'a été notée à 100 mg / kg / jour (6 fois MRHD).
Lactation
Résumé des risques
Il n'y a aucune information disponible sur la présence de crème de naftin dans le lait maternel les effets du médicament sur le nourrisson allaité ou les effets du médicament sur la production de lait. L'absence de données cliniques pendant la lactation empêche une détermination claire du risque de crème de naftine pour un nourrisson pendant la lactation; Par conséquent, le développement et les avantages pour la santé de l'allaitement doivent être pris en compte avec le besoin clinique de la mère de la mère de la mère et tout effet indésirable potentiel sur le nourrisson allaité de la crème naftin ou de l'état maternel sous-jacent.
Usage pédiatrique
La sécurité et l'efficacité de la crème de naftin ont été établies chez les patients pédiatriques à l'âge de 12 ans et plus avec des Tinea Pedis interdigitaux et des Tinea cruris et 2 ans et plus avec des corpus de Tinea [voir Études cliniques et Pharmacologie clinique ].
L'utilisation de la crème de naftin dans ces groupes d'âge est étayée par des preuves d'études adéquates et bien contrôlées chez des adultes et des enfants avec des données de sécurité supplémentaires et de PK de deux essais à étiquettes ouvertes menées chez 49 sujets pédiatriques exposés à la crème naftin [voir Études cliniques et Pharmacologie clinique ].
Innocuité et efficacité de la crème de naftin dans le traitement de Tinea cruris et interdigital Tinea Pedis chez les patients pédiatriques de moins de 12 ans n'a pas été établi. Innocuité et efficacité de la crème naftine dans le traitement des Tinea Corpris chez les patients pédiatriques de moins de 2 ans n'a pas été établi.
Utilisation gériatrique
Les études cliniques de la crème de naftin ne comprenaient pas un nombre suffisant de sujets âgés de 65 ans et plus pour déterminer s'ils réagissent différemment des sujets plus jeunes.
Informations sur la surdose pour la crème naftin
Aucune information fournie.
Contre-indications pour la crème naftin
Aucun
Pharmacologie clinique for Naftin Cream
Mécanisme d'action
La crème naftin est un médicament antifongique topique [voir Microbiologie ]
Pharmacodynamique
La pharmacodynamique de la crème naftin n'a pas été établie.
Pharmacocinétique
In vitro et en vain Des études de biodisponibilité ont démontré que la naftifine pénètre dans la strate cornée à une concentration suffisante pour inhiber la croissance des dermatophytes.
La pharmacocinétique de la crème de naftin a été évaluée après une application topique une fois par jour pendant 2 semaines à 21 sujets adultes, les hommes et les femmes avec à la fois Tinea Pedis et Tinea cruris. La quantité totale médiane de crème appliquée était de 6,4 g (plage de 5,3 à 7,5 g) par jour. Les résultats ont montré que l'exposition systémique (c'est-à-dire la concentration maximale (CMAX) et la zone sous la courbe de 0 à 24 heures (AUC0-24)) à la naftifine ont augmenté au cours de la période de traitement de 2 semaines chez les 21 sujets. La moyenne géométrique (coefficient de variation ou CV%) AUC0-24 était de 117 (NULL,2) ng * hr / ml le jour 1 et 204 (NULL,5) ng * hr / ml le jour 14. Moyenne géométrique (CV%) CMAX était 7 ng / ml (NULL,6) au jour 1 et 11 ng / ml (29.3) le jour 14. était de 8,0 heures (intervalle 4-24 heures) au jour 1 et 6,0 heures (intervalle de 0 à 16 heures) le jour 14. L'accumulation après 14 jours d'application topique était inférieure à deux fois. Les concentrations de creux ont généralement augmenté tout au long de la période d'étude de 14 jours. La naftifine a continué à être détectée dans le plasma chez les sujets de 13/21 (62%) au jour 28, les concentrations plasmatiques moyennes (écart-type ou SD) étaient de 1,6 ± 0,5 ng / ml (plage inférieure à la limite de quantification (BLQ) à 3 ng / ml). Dans le même essai pharmacocinétique mené chez des patients atteints de Tinea Pedis et de Tinea Cruris, la fraction médiane de la dose excrétée dans l'urine pendant la période de traitement était de 0,0016% au jour 1 contre 0,0020% au jour 14.
Dans un deuxième essai qui a inscrit 22 sujets, la pharmacocinétique de la crème de naftin a été évaluée chez 20 sujets pédiatriques 13 à <18 years of age with both tinea pedis et tinea cruris. Subjects were treated with a median dose of 8.1 g (range 6.6-10.1 g) applied to the affected areas once daily for 2 weeks. The results showed that the systemic exposure increased over the treatment period. Geometric mean (CV%) AUC0-24 was 138 (50.2) ng*hr/mL on Day 1 et 192 (74.9) ng*hr/mL on Day 14. Geometric mean (CV %) Cmax was 9.21 ng/mL (48.4) on Day 1 et 12.7 ng/mL (67.2) on day 14. Median fraction of the dose excreted in urine during the treatment period was 0.0030% on Day 1 et 0.0033% on Day 14.
Un troisième essai a évalué la pharmacocinétique de la crème de naftin chez 27 sujets pédiatriques 2 à <12 years of age with at least moderate tinea corporis. Subjects were divided into younger (ages 2 to < 6 years 17 subjects) et older (6 to <12 years 10 subjects) groups. Median doses of 1.3 g (range 1.0-3.1 g) et 2.3 g (range 2.24.2 g) were applied once-daily for 2 weeks in the younger et older groups respectively to the affected area plus a ½ inch margin. Plasma et urine pharmacokinetic assessments were conducted on Day 1 in the older group only et on Day 14 in both groups. All subjects showed measurable levels of naftifine in plasma after topical application of Crème naftin. Following a single dose on Day 1 in subjects 6 to < 12 years of age the geometric mean (CV%) values of Cmax et AUC0-24 were 3.60 (76.6) ng/mL et 49.8 (64.4) ng*h/mL respectively. On Day 14 in this group the Cmax et AUC0-24 were 3.31 (51.2) ng/mL et 52.4 (49.2) ng*h/mL respectively. In subjects 2 to < 6 years of age on Day 14 the Cmax et AUC0-24 were 3.98 (186) ng/mL et 54.8 (150) ng*h/mL respectively. In the older group of subjects 6 to 12 years of age the systemic exposures (both Cmax et AUC0-24) on Days 1 et 14 were comparable. The median fraction of the dose excreted into urine over 24 hours following drug applications on Day 1 et Day 14 was 0.0029% et 0.0014% respectively.
Microbiologie
Bien que le mécanisme d'action exact contre les champignons ne soit pas connu, le chlorhydrate de nafrifine semble interférer avec la biosynthèse des stérols en inhibant l'enzyme squalène2 3-époxydase. Cette inhibition de l'activité enzymatique entraîne une diminution des quantités de sterolse spécialement ergostérol et une accumulation correspondante de squalène dans les cellules.
Mécanisme de résistance
À ce jour, un mécanisme de résistance à la naftifine n'a pas été identifié.
Il a été démontré que la naftifine est active contre la plupart des isolats des champignons suivants in vitro et in clinical infections as described in the Indications et utilisation section:
Rubrum de Trichophyton
Études cliniques
Jambe de mine
La crème de naftin a été étudiée pour l'innocuité et l'efficacité dans un essai multicentrique contrôlé en double aveugle randomisé chez 146 sujets atteints de la Tinea cruris positive de la culture symptomatique et du dermatophyte. Les sujets ont été randomisés pour recevoir de la crème ou du véhicule de naftin. Les sujets ont appliqué la crème ou le véhicule de naftin sur la zone affectée plus une marge de ½ pouce de peau saine entourant la zone affectée une fois par jour pendant 2 semaines. Les signes et symptômes de Tinea cruris (présence ou absence d'érythème prurit et de mise à l'échelle) ont été évalués et l'examen KOH et la culture des dermatophytes ont été effectués au critère d'évaluation de l'efficacité primaire à la semaine 4.
L'âge moyen de la population d'essai était de 47 ans et 87% étaient des hommes et 43% étaient blancs. Au cours des sujets de base, on a confirmé que des signes et symptômes de l'examen KOH positif de Tinea Cruris et une présence de dermatophyte confirmée sur la base des résultats de la culture d'un laboratoire de mycologie central. L'analyse de la population d'intention de totalité était une comparaison des proportions de sujets avec un remède complet lors de la visite de la semaine 4 (voir tableau 1). La guérison complète a été définie à la fois comme une guérison clinique (absence d'érythème prurit et de mise à l'échelle) et de guérison mycologique (culture négative KOH et dermatophyte).
Le pourcentage de sujets ayant une guérison clinique et le pourcentage de sujets subissant une guérison mycologique à la semaine 4 sont présentés individuellement dans le tableau 1 ci-dessous.
Tableau 1 Résultats de l'efficacité pour l'essai Tinea Cruris (évaluation de la semaine 4)
| Point final | Crème naftin 2% N = 75 | Véhicule N = 71 |
| Cure complète a | 19 (25%) | 2 (3%) |
| Traitement efficace b | 45 (60%) | 7 (10%) |
| Remède mycologique c | 54 (72%) | 11 (16%) |
| a . La guérison complète est un critère d'évaluation composite du remède mycologique et de la guérison clinique. La guérison clinique est définie comme l'absence d'érythème prurit et de mise à l'échelle (grade de 0). b . Un traitement efficace est une préparation KOH négative et une culture de la culture de dermatophyte négative et des niveaux de prurit de 0 ou 1 (absents ou presque absents). c . La guérison mycologique est définie comme une culture négative de KOH et de dermatophyte. |
Papillon interdigital
Crème naftin has been investigated for efficacy in a retomized double-blind vehicle-controlled multi-center trial in 217 subjects with symptomatic et dermatophyte culture positive interdigital tinea pedis. Subjects were retomized to receive Crème naftin or vehicle. Subjects applied Crème naftin or vehicle to the affected area of the foot plus a ½-inch margin of healthy skin surrounding the affected area once-daily for 2 weeks. Signs et symptoms of interdigital tinea pedis (presence or absence of erythema pruritus et scaling) were assessed et KOH examination et dermatophyte culture was performed at the primary efficacy endpoint at week 6.
L'âge moyen de la population d'essai était de 42 ans et 71% étaient des hommes et 57% étaient blancs. Au cours des sujets de base, il a été confirmé comme présentant des signes et symptômes de l'examen interdigital de KOH positif de Tinea Pédis et de la culture des dermatophytes confirmés. Le critère d'évaluation de l'efficacité principale a été les proportions de sujets avec un remède complet lors de la visite de la semaine 6 (voir tableau 2). La guérison complète a été définie à la fois comme un remède clinique (absence d'érythème prurit et de mise à l'échelle) et de guérison mycologique (culture négative KOH et dermatophyte).
Les résultats de l'efficacité à la semaine 6 quatre semaines suivant la fin du traitement sont présentés dans le tableau 2 ci-dessous. La crème de naftin a démontré une guérison complète chez les sujets avec des tiens interdigitaux, mais un remède complet chez les sujets avec seulement du mocassin de type tinea pedis n'a pas été démontré.
Tableau 2 Résultats de l'efficacité pour l'essai interdigital Tinea Pedis (évaluation de la semaine 6)
Effets secondaires du Celexa chez les personnes âgées
| Point final | Crème naftin 2% N = 147 | Véhicule N = 70 |
| Cure complète a | 26 (18%) | 5 (7%) |
| Traitement efficace b | 83 (57%) | 14 (20%) |
| Remède mycologique c | 99 (67%) | 15 (21%) |
| a . La guérison complète est un critère d'évaluation composite du remède mycologique et de la guérison clinique. La guérison clinique est définie comme l'absence d'érythème prurit et l'échelle (grade de 0). b . Un traitement efficace est une préparation KOH négative et une culture de la culture de dermatophyte négative et des notes de prurit de 0 ou 1 (absente ou quasi absente). c . La guérison mycologique est définie comme une culture négative de KOH et de dermatophyte. |
Carrosserie
Crème naftin has been investigated for safety et efficacy in a retomized double-blind vehicle-controlled multi-center trial in 184 subjects with symptomatic et dermatophyte culture positive tinea corporis. Subjects were retomized to receive Crème naftin or vehicle. Subjects applied the study agent to all affected body surface areas with tinea corporis plus a ½ inch margin of healthy skin surrounding the affected lesions for two weeks. Signs et symptoms of tinea corporis (presence or absence of erythema induration et pruritus) were assessed et KOH examination et dermatophyte culture were performed for the assessment of primary efficacy endpoint at Day 21.
La population d'essai était pédiatrique (≥2 à <18 years of age) with a median age of 9 years (Crème naftin) or 8 years (vehicle); 61% of subjects were male et 45% were white. At baseline subjects were confirmed to have signs et symptoms of tinea corporis positive KOH exam et confirmed dermatophyte culture. The primary efficacy endpoint was the proportions of subjects with a complete cure at the Day 21 visit. Complete cure was defined as both a clinical cure (absence of erythema induration et pruritus on all lesions present at baseline) et mycological cure (negative KOH et dermatophyte culture).
Les résultats de l'efficacité au jour 21 une semaine suivant la fin du traitement sont présentés dans le tableau 3 ci-dessous.
Tableau 3 Résultats de l'efficacité pour pédiatric Tinea Corpris Trial (Évaluation du jour 21)
| Point final | Crème naftin 2% N = 91 | Véhicule N = 93 |
| Cure complète a | 42 (46%) | 26 (28%) |
| Traitement efficace b | 53 (58%) | 32 (34%) |
| Remède mycologique c | 57 (63%) | 36 (39%) |
| a . La guérison complète est un critère d'évaluation composite du remède mycologique et de la guérison clinique. La guérison clinique est définie comme l'absence d'érythème prurit et l'échelle (grade de 0). b . Un traitement efficace est une préparation KOH négative et une culture de la culture dermatophyte négative érythème indurat ion et des niveaux de prurit de 0 ou 1 (absent ou doux). c . La guérison mycologique est définie comme une culture négative de KOH et de dermatophyte. |
Informations sur les patients pour la crème naftin
- Informez les patients que la crème de naftin est uniquement pour une utilisation topique. La crème de naftin n'est pas destinée à une utilisation intravaginale ou ophtalmique orale.
- Si l'irritation ou la sensibilité se développe avec l'utilisation du traitement à la crème de naftin doit être interrompue et une thérapie appropriée instituée. Les patients doivent être invités à contacter leur médecin si ces conditions se développent après l'utilisation de la crème de naftin.