Les Informations Présentées Sur Ce Site Ne Constituent Pas Un Avis Médical. Nous Ne Vendons Rien. L'Exactitude De La Traduction N'Est Pas Garantie. Clause De Non-Responsabilité



AUVI-Q

Résumé

Qu'est-ce que AUVI-Q?

L'injection AUVI-Q (épinéphrine) catécholamine utilisé dans le traitement d'urgence des réactions allergiques ou anaphylaxie qui peut être causé par des piqûres ou des piqûres d'insectes (comme les abeilles Hornets Hornets Jackets Fire Ats et Mosquitos) Médicaments alimentaires Test de test de diagnostic idiopathe (inconnu) Cause ou induite par l'exercice.

Quels sont les effets secondaires de l'AUVI-Q?

Les effets secondaires courants de l'injection AUVI-Q comprennent:



  • anxiété
  • appréhensivité
  • nervosité
  • agitation
  • tremblement ou tremblement
  • faiblesse
  • vertiges
  • transpiration
  • augmentation de la fréquence cardiaque
  • cœur palpitations
  • rythme cardiaque irrégulier
  • peau pâle (pâleur)
  • nausées et vomissements
  • mal de tête
  • difficulté à respirer et
  • Réactions du site d'injection (décoloration des ecchymoses rougeur).

Dites à votre médecin si vous avez des effets secondaires graves de l'injection AUVI-Q tels que les arythmies, y compris la fibrillation ventriculaire mortelle.



Dosage pour AUVI-Q

Si vous avez 66 livres ou plus, la dose recommandée d'AUVI-Q est de 0,3 mg et 0,15 mg si vous avez 33 à 66 livres. AUVI-Q doit être utilisé en plus des soins médicaux immédiats. N'injectez pas AUVI-Q par voie intraveineuse dans les fesses ou les doigts des mains ou des pieds. Bien que AUVI-Q contienne du sulfite, vous pouvez toujours utiliser AUVI-Q si vous êtes sensible au sulfite. La prudence doit être utilisée si vous souffrez d'arythmies cardiaques cardiaques arythmies coronariennes ou de maladies cardiaques organiques hypertension hyperthyroïdie diabète et personnes âgées.

Quelles substances ou suppléments de médicaments interagissent avec AUVI-Q?

AUVI-Q peut interagir avec les glycosides cardiaques diurétiques anti-arythmiques antidépresseurs monoamine oxydase inhibiteurs de la lévothyroxine sodium antihistaminiques Bêtards alpha bloqueurs ou alcaloïdes ergot. Dites à votre médecin tous les médicaments que vous utilisez.



AUVI-Q pendant la grossesse et l'allaitement

La prudence doit également être prise si vous êtes enceinte ou en allaitement.

Informations Complémentaires

Notre centre de médicaments à effets secondaires AUVI-Q (épinéphrine) offre une vue complète des informations sur les médicaments disponibles sur les effets secondaires potentiels lors de la prise de ce médicament.

Informations sur les médicaments de la FDA

Description d'Auvi-Q

AUVI-Q (injection d'épinéphrine USP) 0,3 mg 0,15 mg et 0,1 mg est un auto-injecteur et un produit combiné contenant des composants de médicament et d'appareil.

AUVI-Q comprend des indices audibles (Instructions de voix électronique bips) et des indices visibles (lumières LED) à utiliser. L'aiguille se rétracte automatiquement une fois l'injection terminée.

Chaque AUVI-Q 0,3 mg offre une dose unique de 0,3 mg d'épinéphrine de l'injection d'épinéphrine USP (NULL,3 ml) dans une solution stérile.

Chaque AUVI-Q 0,15 mg offre une dose unique de 0,15 mg d'épinephrine de l'injection d'épinephrine USP (NULL,15 ml) dans une solution stérile.

Chaque AUVI-Q 0,1 mg offre une dose unique de 0,1 mg d'épinéphrine de l'injection d'épinéphrine USP (NULL,1 ml) dans une solution stérile.

AUVI-Q 0,3 mg AUVI-Q 0,15 mg et AUVI-Q 0,1 mg contiennent chacun 0,76 ml de solution d'épinéphrine. 0,3 ml 0,15 ml et 0,1 ml d'une solution d'épinephrine est distribuée pour AUVI-Q 0,3 mg AUVI-Q 0,15 mg et AUVI-Q 0,1 mg respectivement lorsqu'ils sont activés. La solution restante n'est pas disponible pour une utilisation future et doit être jetée.

Chaque 0,3 ml dans AUVI-Q 0,3 mg contient 0,3 mg d'épinéphrine 2,3 mg de chlorure de sodium 0,5 mg d'acide chlorhydrique bisulfite de sodium pour ajuster le pH et l'eau pour l'injection. La plage de pH est de 2,2 à 5,0.

Chaque 0,15 ml dans AUVI-Q 0,15 mg contient 0,15 mg d'épinéphrine 1,2 mg de chlorure de sodium 0,2 mg d'acide chlorhydrique bisulfite de sodium pour régler le pH et l'eau pour l'injection. La plage de pH est de 2,2 à 5,0.

Chaque 0,1 ml dans AUVI-Q 0,1 mg contient 0,1 mg d'épinéphrine 0,78 mg de chlorure de sodium 0,15 mg d'acide chlorhydrique bisulfite de sodium pour régler le pH et l'eau pour l'injection. La plage de pH est de 2,2 à 5,0.

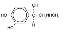
L'épinéphrine est une sympathomimétique catécholamine . L'épinéphrine chimique est (-) - 34- dihydroxy-α - [(méthylamino) méthyl] alcool benzylique avec la structure suivante:

La solution d'épinéphrine se détériore rapidement lors de l'exposition à l'air ou à la lumière qui tourne rose de l'oxydation à l'adrénochrome et brun de la formation de mélanine.

AUVI-Q n'est pas fait de latex en caoutchouc naturel.

Les systèmes pédagogiques et de sécurité AUVI-Q doivent être examinés en profondeur avec les patients et les soignants avant d'utiliser [voir Informations sur les patients ].

Utilisations pour AUVI-Q

L'AUVI-Q® est indiqué dans le traitement d'urgence des réactions allergiques (type I), y compris l'anaphylaxie aux insectes piquants (par exemple, commander des hyménoptères qui incluent les absences de guêpes en guêpes et les fourmis de feu) et les insectes mordants (par exemple, les mousquites du triatoma) Allergen Immunothérapie se diagnostiquent les substances allant des radiocontes (E.g. Radiocontre Media) et les substances allant des radiocontes) et des substances allant des radiocontes. Anaphylaxie idiopathique ou anaphylaxie induite par l'exercice.

L'AUVI-Q est destiné à l'administration immédiate chez les patients qui sont déterminés comme étant à risque accru d'anaphylaxie, y compris les personnes ayant des antécédents de réactions anaphylactiques.

Des réactions anaphylactiques peuvent survenir quelques minutes après l'exposition et constituent une rigueur Syncope Tachycardie ou un impulsion effrayante associée à une chute des convulsions de la pression artérielle vomissant la diarrhée et les crampes abdominales involontaires vide de dyspnée en raison de l'angioéda des spasmes de laryngale.

AUVI-Q est destiné à l'auto-administration immédiate en tant que thérapie de soutien d'urgence uniquement et ne remplace pas les soins médicaux immédiats.

Dosage pour AUVI-Q

La sélection de la résistance posologique appropriée (AUVI-Q 0,3 mg AUVI-Q 0,15 mg ou AUVI-Q 0,1 mg) est déterminée en fonction du poids corporel du patient.

  • Patients supérieurs ou égaux à 30 kg (environ 66 livres ou plus): AUVI-Q 0,3 mg
  • Patients 15 à 30 kg (33 à 66 livres): AUVI-Q 0,15 mg
  • Patients 7,5 à 15 kg (NULL,5 à 33 livres): AUVI-Q 0,1 mg

Injectez AUVI-Q par voie intramusculaire ou par voie sous-cutanée dans l'aspect antérolatéral de la cuisse à travers les vêtements si nécessaire. Instruire les soignants des jeunes enfants et des nourrissons qui se prescrivent AUVI-Q et qui peuvent être peu coopératifs et se lancer ou se déplacer lors d'une injection pour tenir la jambe de l'enfant fermement en place et limiter les mouvements avant et lors d'une injection [voir Avertissements et précautions ].

Chaque AUVI-Q contient une seule dose d'épinéphrine pour l'injection à usage unique. Étant donné que les doses d'épinéphrine délivrées à partir d'AUVI-Q sont fixes, envisagez d'utiliser d'autres formes d'épinéphrine injectable si des doses inférieures à 0,1 mg sont jugées nécessaires.

Le prescripteur doit évaluer soigneusement chaque patient pour déterminer la dose la plus appropriée d'épinéphrine reconnaissant la nature potentiellement mortelle des réactions pour lesquelles ce médicament est indiqué. Avec une anaphylaxie persistante sévère, des injections répétées avec un AUVI-Q supplémentaire peuvent être nécessaires. Plus de deux doses séquentielles d'épinéphrine ne doivent être administrées que sous surveillance médicale directe [voir Avertissements et précautions ].

La solution d'épinéphrine dans la fenêtre de visualisation d'AuVI-Q doit être inspectée visuellement pour les particules et la décoloration. L'épinéphrine est sensible à la lumière et doit être stockée dans le cas extérieur fourni pour le protéger de la lumière [voir Stockage et manipulation ].

Comment fourni

Dosage Forms And Strengths

  • Injection 0,3 mg / 0,3 ml d'épinéphrine injection USP Auto-injecteur
  • Injection 0,15 mg / 0,15 ml d'injection d'auto-injecteur pré-rempli USP de l'injection USP
  • Injection 0,1 mg / 0,1 ml d'épinéphrine injection USP Auto-injecteur

Carton contenant deux AUVI-Q (injection d'épinéphrine USP) 0,3 mg d'auto-injecteurs et un seul entraîneur AUVI-Q - NDC 60842-023-01

Carton contenant deux AUVI-Q (injection d'épinéphrine USP) 0,15 mg d'auto-injecteurs et un seul entraîneur AUVI-Q - NDC 60842-022-01

Carton contenant deux auto-injecteurs AUVI-Q (injection d'injection d'épinéphrine) 0,1 mg et un seul entraîneur AUVI-Q - NDC 60842-021-01

Stockage et manipulation

L'épinéphrine est sensible à la lumière et doit être stockée dans le cas extérieur fourni pour le protéger de la lumière. Stocker à 20 ° à 25 ° C (68 ° à 77 ° F); Excursions autorisées à 15 ° à 30 ° C (59 ° à 86 ° F) [voir Température ambiante contrôlée par l'USP ]. Ne pas refrigerate. Before using check to make sure the solution in the auto-injector is clear et colorless.

Remplacez l'auto-injecteur si la solution est décollée nuageuse ou contient des particules.

Fabriqué pour: Kaleo Inc. Richmond VA 23219 USA. Révisé: déc. 2019

Effets secondaires pour Auvi-Q

En raison du manque d'essais cliniques contrôlés randomisés de l'épinéphrine pour le traitement de l'anaphylaxie, la véritable incidence des effets indésirables associée à l'utilisation systémique de l'épinéphrine est difficile à déterminer. Les réactions indésirables rapportées dans les rapports de cas et les études des essais observationnels sont répertoriés ci-dessous.

Les effets indésirables courants à l'épinéphrine administrée systémiquement comprennent l'anxiété; appréhensivité; agitation; tremblement; faiblesse; vertiges; transpiration; palpitations; pâleur; nausées et vomissements; mal de tête; et / ou des difficultés respiratoires. Ces symptômes se produisent chez certaines personnes recevant des doses thérapeutiques d'épinéphrine mais sont plus susceptibles de se produire chez les patients souffrant d'hypertension ou d'hyperthyroïdie [voir Avertissements et précautions ].

Des arythmies comprenant une fibrillation ventriculaire mortelle ont été signalées en particulier chez les patients atteints d'une maladie cardiaque sous-jacente ou à celles qui reçoivent certains médicaments [voir Avertissements et précautions et Interactions médicamenteuses ].

Des augmentations rapides de la pression artérielle ont produit une hémorragie cérébrale, en particulier chez les patients âgés atteints de maladie cardiovasculaire [voir Avertissements et précautions ].

L'angine de poitrine peut survenir chez les patients atteints d'une maladie coronarienne [voir Avertissements et précautions ].

Des cas rares de cardiomyopathie de stress ont été signalés chez les patients traités par épinéphrine.

Effets secondaires du relaxant musculaire de skelaxine

L'injection accidentelle dans les chiffres des mains ou des pieds peut entraîner une perte de flux sanguin vers la zone affectée [voir Avertissements et précautions ].

Les événements indésirables rencontrés en raison des injections accidentelles peuvent inclure une augmentation des réactions locales de la fréquence cardiaque, notamment le site d'injection, la froideur et l'hypoesthésie ou les blessures sur le site d'injection entraînant une décoloration de saignement de l'érythème ou des lésions squelettiques.

L'injection d'épinéphrine dans la fesse a entraîné des cas de gangrène de gaz [voir Avertissements et précautions ].

De rares cas d'infections graves de la peau et des tissus mous, notamment la fasciite nécrosante et la myonécrose causée par la clostridia (gangrène de gaz), ont été signalées sur le site d'injection après l'injection d'épinéphrine à la cuisse [voir Avertissements et précautions ].

Interactions médicamenteuses pour AUVI-Q

Les patients qui reçoivent de l'épinéphrine tout en prenant concomitamment les glycosides cardiaques diurétiques ou anti-arythmiques doivent être observés avec soin pour le développement d'arythmies cardiaques [voir Avertissements et précautions ].

Les effets de l'épinéphrine peuvent être potentialisés par les antidépresseurs tricycliques des inhibiteurs de monoamine oxydase de la lévothyroxine sodium et certains antihistamines, notamment la chlorphéniramine tripelélénamine et la diphenhydramine.

Les effets cardiostimulants et bronchodilatants de l'épinéphrine sont antagonisés par des médicaments de blocage bêta-adrénergiques tels que le propranolol.

Les effets vasoconstricteurs et hypertendants de l'épinéphrine sont antagonisés par des médicaments de blocage alpha-adrénergiques tels que la pantolamine.

Les alcaloïdes de l'ergot peuvent également inverser les effets pressifs de l'épinephrine.

Avertissements pour AUVI-Q

Inclus dans le cadre du PRÉCAUTIONS section.

Précautions pour AUVI-Q

Traitement d'urgence

AUVI-Q n'est pas conçu comme un substitut des soins médicaux immédiats. En collaboration avec l'administration d'épinéphrine, le patient doit demander des soins médicaux ou des hôpitaux immédiats. Plus de deux doses séquentielles d'épinéphrine ne doivent être administrées que sous surveillance médicale directe [voir Indications et utilisation Posologie et administration et Informations sur les patients ].

Complications liées à l'injection

AUVI-Q ne doit être injecté que dans l'aspect antérolatéral de la cuisse [voir Posologie et administration et Informations sur les patients ].

  • N'injectez pas par voie intraveineuse. De grandes doses ou une injection intraveineuse accidentelle d'épinéphrine peuvent entraîner une hémorragie cérébrale due à une forte augmentation de la pression artérielle. Les vasodilatateurs à action rapide peuvent contrer les effets pressants marqués de l'épinéphrine en cas d'administration par inadvertance.
  • Ne pas injecter dans les fesses. L'injection dans la fesse peut ne pas fournir un traitement efficace de l'anaphylaxie. Conseillez au patient d'aller immédiatement aux urgences les plus proches pour un traitement supplémentaire de l'anaphylaxie. De plus, l'injection dans la fesse a été associée à des infections clostridiales (gangrène du gaz). Le nettoyage avec de l'alcool ne tue pas les spores bactériennes et ne réduit donc pas ce risque.
  • Ne pas injecter dans les mains ou les pieds. Étant donné que l'épinéphrine est une forte injection accidentelle vasoconstricteuse dans les chiffres des mains ou des pieds peut entraîner une perte de flux sanguin vers la zone affectée. Conseiller au patient d'aller immédiatement aux urgences les plus proches et d'informer le fournisseur de soins de santé aux urgences de l'emplacement de l'injection accidentelle. Le traitement d'une telle administration par inadvertance devrait consister en une vasodilatation en plus d'un traitement approprié de l'anaphylaxie [voir Effets indésirables ].
  • Tenez fermement la jambe pendant l'injection. Pour minimiser le risque de blessures liées à l'injection lors de l'administration de l'AUVI-Q aux jeunes enfants ou aux nourrissons, demande aux soignants de tenir la jambe de l'enfant fermement en place et de limiter les mouvements avant et pendant l'injection.

Infections graves sur le site d'injection

De rares cas d'infections graves et de tissus mous, notamment la fasciite nécrosante et la myonécrose causée par la clostridia (gangrène de gaz), ont été signalées sur le site d'injection après l'injection d'épinéphrine pour l'anaphylaxie. Les spores de Clostridium peuvent être présentes sur la peau et introduites dans le tissu profond avec injection sous-cutanée ou intramusculaire. Bien que le nettoyage avec de l'alcool puisse réduire la présence de bactéries sur la peau que le nettoyage de l'alcool ne tue pas les spores Clostridium. Pour diminuer le risque potentiel d'une infection rare mais grave, n'injectez pas AUVI-Q dans la fesse [voir Avertissements et précautions ]. Advise patients to seek medical care if they develop signs or symptoms of infection such as persistent redness warmth gonflement or tendresse at the epinephrine injection site.

Réactions allergiques associées au sulfite

L'épinéphrine est le traitement préféré des réactions allergiques graves ou d'autres situations d'urgence, même si ce produit contient du bisulfite de sodium un sulfite qui peut dans d'autres produits provoquer des réactions de type allergique, y compris des symptômes anaphylactiques ou des épisodes asthmatiques menaçant la vie ou moins sévères dans certains personnes sensibles.

La présence d'un sulfite dans ce produit ne devrait pas dissuader l'administration du médicament pour le traitement des situations d'urgence graves allergiques ou d'autres urgences même si le patient est sensible au sulfite.

Les alternatives à l'utilisation de l'épinéphrine dans une situation mortelle peuvent ne pas être satisfaisantes.

Interactions de la maladie

Certains patients peuvent être plus à risque de développer des effets indésirables après l'administration d'épinéphrine. Malgré ces préoccupations, il convient de reconnaître que la présence de ces conditions n'est pas une contre-indication à l'administration de l'épinéphrine dans une situation mortelle aiguë. Par conséquent, les patients atteints de ces conditions et / ou toute autre personne qui pourraient être en mesure d'administrer AUVI-Q à un patient souffrant d'anaphylaxie doit être soigneusement instruit en ce qui concerne les circonstances dans lesquelles l'épinéphrine doit être utilisée.

Patients atteints de maladie cardiaque

L'épinéphrine doit être administrée avec prudence aux patients atteints d'une maladie cardiaque, y compris des patients atteints d'arythmies cardiaques, l'artère coronaire ou une maladie cardiaque organique ou une hypertension. Chez ces patients ou chez des patients sous des médicaments qui peuvent sensibiliser le cœur aux arythmies épinéphrine peuvent précipiter ou aggraver l'angine de poitrine et produire des arythmies ventriculaires [voir Interactions médicamenteuses et Effets indésirables ].

Autres patients et maladies

L'épinéphrine doit être administrée avec prudence aux patients atteints de diabète hyperthyroïdie des personnes âgées et des femmes enceintes. Les patients atteints de la maladie de Parkinson peuvent remarquer une aggravation temporaire des symptômes.

Informations de conseil des patients

[voir Étiquetage des patients approuvé par la FDA (informations sur les patients et instructions pour une utilisation) ]

Un fournisseur de soins de santé doit passer en revue les instructions du patient et le fonctionnement d'AUVI-Q avec le patient ou le soignant.

L'épinéphrine est essentielle pour le traitement de l'anaphylaxie. Les patients qui sont à risque de ou avec des antécédents de réactions allergiques sévères (anaphylaxie) à des piqûres d'insectes ou à mots des médicaments alimentaires et d'autres allergènes ainsi que de l'anaphylaxie idiopathique et induite par l'exercice doivent être soigneusement instruits sur les circonstances dans lesquelles l'épinéphrine doit être utilisée.

Administration et formation

Instruire les patients et / ou les soignants dans l'utilisation appropriée d'AuVI-Q. AUVI-Q doit être injecté au milieu de la cuisse extérieure (à travers les vêtements si nécessaire). Chaque appareil est une injection à usage unique. Conseiller aux patients de demander des soins médicaux immédiats en conjonction avec l'administration d'AuVI-Q.

Les jeunes enfants ou nourrissons peuvent être peu coopératifs et donner des coups de pied ou se déplacer lors d'une injection. Demandez aux soignants de tenir la jambe des jeunes enfants ou des nourrissons fermement en place et de limiter les mouvements avant et pendant l'injection. [voir Avertissements et précautions ]

Des informations complètes sur les patients, y compris les instructions posologiques pour une administration et des précautions appropriées, peuvent être trouvées dans chaque carton AUVI-Q. Passez en revue les systèmes pédagogiques et de sécurité AUVI-Q avec les patients et / ou les soignants. Ces systèmes incluent l'étiquette imprimée à la surface d'AUVI-Q montrant des instructions pour une utilisation et un diagramme illustrant le processus d'injection Un système de rétraction d'aiguille automatique invite des bips électroniques et des instructions vocales à utiliser. Instruisez les patients et / ou les soignants que l'aiguille ne sera pas visible après l'injection et qu'ils ne ressentent pas l'injection lorsqu'il se produit. Instruisez les patients que AUVI-Q comprend un compte à rebours de 2 secondes après son activation, puis les instructions vocales indiqueront que l'injection est complète et pour consulter des soins médicaux d'urgence. Instruisez les patients que la base noire d'AUVI-Q € ™ se verrouille sur le boîtier de l'appareil et que les lumières clignotent en rouge une fois l'injection terminée. Ces indicateurs post-usage aident les patients et / ou les soignants à savoir que l'AUVI-Q a été activé et qu'une injection d'épinéphrine était administrée.

Demandez aux patients et / ou aux soignants d'utiliser et de pratiquer avec le formateur pour se familiariser avec l'utilisation d'AUVI-Q dans une urgence allergique. Le formateur peut être utilisé plusieurs fois.

Effets indésirables

L'épinéphrine peut produire des symptômes et des signes qui incluent une augmentation de la fréquence cardiaque La sensation d'une palpitation du rythme cardiaque plus puissant transpirant des nausées et des difficultés de vomissements à respirer la faiblesse des étourdissements de la pâleur ou une agitation des maux de tête, la nervosité ou l'anxiété. Ces symptômes et signes se calment généralement rapidement, surtout avec le calme et la décompression. Les patients souffrant d'hypertension ou d'hyperthyroïdie peuvent développer des effets plus graves ou persistants et les patients atteints d'une maladie coronarienne pourraient souffrir d'angine de poitrine. Les patients atteints de diabète peuvent développer une augmentation de la glycémie après l'administration d'épinéphrine. Les patients atteints de la maladie de Parkinson peuvent remarquer une aggravation temporaire des symptômes [voir Avertissements et précautions ].

Injection accidentelle

Il faut conseiller aux patients de demander des soins médicaux immédiats en cas d'injection accidentelle. Étant donné que l'épinéphrine est un vasoconstricteur fort lorsqu'il est injecté dans les mains des mains ou le traitement des pieds doit être dirigée vers la vasodilatation s'il y a une telle injection accidentelle à ces zones [voir Avertissements et précautions ].

Infections graves sur le site d'injection

De rares cas d'infections graves et de tissus mous, notamment la fasciite nécrosante et la myonécrose causée par la clostridia (gangrène de gaz), ont été signalées sur le site d'injection après l'injection d'épinéphrine pour l'anaphylaxie. Conseiller aux patients de consulter des soins médicaux s'ils développent des signes ou des symptômes d'infection tels que le gonflement ou la sensibilité de la rougeur persistante sur le site d'injection d'épinéphrine [voir Avertissements et précautions ].

Stockage et manipulation

Les patients doivent être invités à inspecter la solution d'épinéphrine visuellement par la fenêtre de visualisation périodiquement. AUVI-Q doit être remplacé si la solution d'épinéphrine semble décolorée (couleur rosâtre ou plus foncée que légèrement jaune) nuageuse ou contient des particules. L'épinéphrine est sensible à la lumière et doit être stockée dans le cas extérieur fourni pour le protéger de la lumière. Instruire les patients que AUVI-Q doit être utilisé ou correctement éliminé une fois que le garde de sécurité rouge est retiré [voir Stockage et manipulation ].

Des informations complètes sur les patients, y compris les instructions posologiques pour une administration et des précautions appropriées, peuvent être trouvées dans chaque carton AUVI-Q.

Quel type de médecine est le Tylenol

Toxicologie non clinique

Carcinogenèse Mutagenèse A trouble de la fertilité

Des études à long terme pour évaluer le potentiel cancérigène de l'épinéphrine n'ont pas été menées.

Il a été démontré que l'épinéphrine et d'autres catécholamines ont un potentiel mutagène in vitro. L'épinéphrine était positive dans le dosage de mutation bactérienne bactérienne de Salmonella positive dans le dosage du lymphome de souris et négatif dans le test de micronucléus in vivo. L'épinéphrine est un mutagène oxydatif basé sur le test de mutation inverse bactérien de E. coli WP2. Cela ne devrait pas empêcher l'utilisation de l'épinéphrine dans les conditions notées sous les indications et l'utilisation (1).

Le potentiel d'épinéphrine pour altérer les performances de reproduction n'a pas été évalué, mais il a été démontré que l'épinéphrine diminue l'implantation chez les lapins femelles dose par voie sous-cutanée avec 1,2 mg / kg / jour (40 fois le plus haut intramusculaire ou la dose quotidienne sous-cutanée) pendant les jours de gestation 3 à 9.

Utiliser dans des populations spécifiques

Grossesse

Résumé des risques

Il n'y a pas d'études adéquates et bien contrôlées sur l'effet aigu de l'épinéphrine chez les femmes enceintes. Dans les études de reproduction animale, l'épinéphrine administrée par la voie sous-cutanée vers les souris et les hamsters pendant la période d'organogenèse était tératogène à des doses 7 fois et supérieure à la dose intramusculaire et sous-cutanée humaine recommandée. L'épinéphrine est le médicament de première ligne de choix pour le traitement de l'anaphylaxie pendant la grossesse chez l'homme. L'épinéphrine doit être utilisée pour le traitement de l'anaphylaxie pendant la grossesse de la même manière qu'elle est utilisée chez les patients non enceintes.

Dans la population générale américaine, le risque de fond estimé de malformations congénitales majeures et de fausse couche dans les grossesses cliniquement reconnues est respectivement de 2 à 4% et 15 à 20%.

Considérations cliniques

Risque maternel et embryonnaire / fœtal associé à la maladie

Pendant la grossesse, l'anaphylaxie peut être catastrophique et peut entraîner une encéphalopathie hypoxique-ischémique et des dommages permanents du système nerveux central ou une mort chez la mère et plus souvent chez le fœtus ou le nouveau-né. La prévalence de l'anaphylaxie survenue pendant la grossesse serait d'environ 3 cas pour 100 000 accouchements.

La gestion de l'anaphylaxie pendant la grossesse est similaire à la gestion de la population générale. L'épinéphrine est la première médance de ligne de choix pour le traitement de l'anaphylaxie; Il doit être utilisé de la même manière chez les patients enceintes et non enceintes. En collaboration avec l'administration d'épinéphrine, le patient doit demander des soins médicaux ou des hôpitaux immédiats.

Données

Données sur les animaux

Dans une étude de développement embryofétal avec des lapins dosés pendant la période d'organogenèse, l'épinephrine s'est avérée tératogène (y compris la gastroschisie et la létalité embryonnaire) à des doses d'environ 40 fois la dose intramusculaire ou sous-cutanée maximale (sur un MG / m² pour deux jours maternels.

Dans une étude de développement embryofétal avec des souris dosées pendant la période d'organogenèse, l'épinephrine s'est avérée tératogène (y compris la létalité embryonnaire) à des doses environ 8 fois la dose intramusculaire ou sous-cutanée maximale recommandée (sur une base de Mg / m² à 10 jours). Ces effets n'ont pas été observés chez la souris à environ 4 fois la dose intramusculaire ou sous-cutanée maximale recommandée (sur une base de mg / m² à une dose maternelle sous-cutanée de 0,5 mg / kg / jour pendant 10 jours).

Dans une étude de développement embryofétal avec des hamsters dosés pendant la période d'organogenèse des jours de gestation 7 à 10 épinéphrine s'est avéré tératogène à des doses environ 7 fois le maximum recommandé quotidiennement intramusculaire ou sous-cutané dose de 0,5 mg / kg / m² pour 4 jours).

Lactation

Résumé des risques

Il n'y a aucune information sur la présence d'épinéphrine dans le lait maternel les effets sur les nourrissons allaités ou les effets sur la production de lait. L'épinéphrine est la première médication de ligne de choix pour le traitement de l'anaphylaxie; Il doit être utilisé de la même manière chez les patients allaités et non-rive.

Usage pédiatrique

AUVI-Q peut être administré à des patients pédiatriques à une dose appropriée au poids corporel [voir Posologie et administration ]. Clinical experience with the use of epinephrine suggests that the adverse reactions seen in children are similar in nature et extent to those both expected et reported in adults. Since the doses of epinephrine delivered from AUVI-Q are fixed consider using other forms of injectable epinephrine if doses lower than 0.1 mg are deemed necessary.

Utilisation gériatrique

Les études cliniques de l'AUVI-Q n'incluaient pas un nombre suffisant de sujets âgés de 65 ans et plus pour déterminer s'ils réagissent différemment des sujets plus jeunes. D'autres expériences cliniques signalées n'ont pas identifié de différences dans les réponses entre les patients âgés et les patients plus jeunes. L'épinéphrine doit être administrée avec prudence chez les personnes âgées qui peuvent être plus à risque de développer des effets indésirables après l'administration d'épinéphrine [voir Avertissements et précautions Sur-ladosage ].

Informations sur la surdose pour AUVI-Q

Le surdosage de l'épinéphrine peut produire une pression artérielle extrêmement élevée, ce qui peut entraîner une hémorragie cérébrovasculaire, en particulier chez les patients âgés. Un surdosage peut également entraîner un œdème pulmonaire en raison de la constriction vasculaire périphérique ainsi que de la stimulation cardiaque. Le traitement consiste à des vasodilatateurs à action rapide ou à des médicaments de blocage alpha-adrénergiques et / ou à un soutien respiratoire.

Le surdosage de l'épinéphrine peut également provoquer une bradycardie transitoire suivie d'une tachycardie et celles-ci peuvent être accompagnées d'arythmies cardiaques potentiellement mortelles. Les contractions ventriculaires prématurées peuvent apparaître dans une minute après l'injection et peuvent être suivies par une tachycardie ventriculaire multifocale (rythme de préfibrillation). L'affaissement des effets ventriculaires peut être suivi par la tachycardie auriculaire et occasionnellement par un bloc autrioventriculaire. Le traitement des arythmies consiste en l'administration d'un médicament de blocage bêta-adrénergique tel que le propranolol.

Le surdosage entraîne parfois une pâleur extrême et une froideur de l'acidose métabolique cutanée et de l'insuffisance rénale. Des mesures correctives appropriées doivent être prises dans de telles situations.

Contre-indications pour AUVI-Q

Aucun.

Pharmacologie clinique for Auvi-Q

Mécanisme d'action

L'épinéphrine agit sur les récepteurs alpha et bêta-adrénergiques.

Pharmacodynamique

Grâce à son action sur les récepteurs alpha-adrénergiques, l'épinephrine diminue la vasodilatation et l'augmentation de la perméabilité vasculaire qui se produit pendant l'anaphylaxie qui peut entraîner une perte de volume et d'hypotension du liquide intravasculaire.

Quelle pilule a 751 dessus

Grâce à son action sur les récepteurs bêta-adrénergiques, l'épinéphrine provoque la relaxation des muscles lisses bronchiques et aide à atténuer la respiration sifflante et la dyspnée des bronchospasmes qui peuvent survenir pendant l'anaphylaxie.

L'épinéphrine atténue également le prurit urticaire et l'œdème de l'angio-œdème et peut soulager les symptômes gastro-intestinaux et génito-urinaires associés à l'anaphylaxie en raison de ses effets relaxants sur le muscle lisse de l'utérus de l'intestin de l'estomac et de la vessie urinaire.

Lorsqu'on lui donne une épinéphrine par voie sous-cutanée ou intramusculaire a un début rapide et une courte durée d'action.

Informations sur les patients pour AUVI-Q

AUVI-Q®
(injection d'épinéphrine) Injecteur d'auto pour urgence allergique (anaphylaxie)

Lisez cette brochure d'information du patient avant de devoir utiliser AUVI-Q et chaque fois que vous obtenez une recharge. Il peut y avoir de nouvelles informations. Vous devez savoir utiliser AUVI-Q avant d'avoir une urgence allergique. Ces informations ne prennent pas la place de parler avec votre fournisseur de soins de santé de votre état de santé ou de votre traitement.

Quelles sont les informations les plus importantes que je devrais connaître sur AUVI-Q?

  1. Transportez toujours AUVI-Q avec vous car vous ne savez peut-être pas quand une réaction allergique potentiellement mortelle (réaction anaphylactique) peut se produire. Parlez à votre médecin si vous avez besoin d'unités supplémentaires à garder à l'école de travail, etc. Une réaction anaphylactique est une réaction allergique potentiellement mortelle qui peut se produire en quelques minutes et peut être causée par des picotements et des insectes mordants (absences de guêpes Hornets et moustiques) Allecgy Shots Foods Medicines Exercice ou autres causes inconnues. Suivez les instructions de votre fournisseur de soins de santé sur le moment d'utiliser AUVI-Q si vous avez les symptômes d'une réaction anaphylactique qui peut inclure les symptômes énumérés ci-dessous:
    • difficulté à respirer
    • respiration sifflante
    • Enrouement (changements dans la façon dont votre voix sonne)
    • ruches (éruption cutanée relevée qui peut démanger)
    • démangeaisons sévères
    • gonflement de ton visage lèvres bouche ou langue
    • Redness ou gonflement des éruptions cutanées
    • rythme cardiaque rapide
    • impulsion faible
    • Se sentir très anxieux
    • confusion
    • douleurs à l'estomac
    • perdre le contrôle des selles d'urine ou d'intestin
    • vertiges or fainting
  2. Dites aux membres de votre famille et aux autres où vous gardez AUVI-Q et comment l'utiliser avant d'en avoir besoin. Vous pouvez ne pas pouvoir parler en cas d'urgence allergique.
  3. Obtenez des soins médicaux immédiatement après avoir utilisé AUVI-Q. Si vous avez une réaction allergique grave, vous aurez peut-être besoin de plus de médicaments.

Qu'est-ce que AUVI-Q?

AUVI-Q est un médicament sur ordonnance utilisé pour traiter les réactions allergiques potentiellement mortelles, y compris l'anaphylaxie chez les personnes qui risquent ou présentent des antécédents de réactions allergiques graves.

AUVI-Q est pour l'administration immédiate (ou soignante) et ne remplace pas les soins médicaux d'urgence. Vous devriez obtenir une aide médicale d'urgence immédiatement après avoir utilisé AUVI-Q.

On ne sait pas si AUVI-Q est sûr et efficace chez les enfants qui pèsent moins de 16,5 livres (NULL,5 kg).

Que dois-je dire à mon fournisseur de soins de santé avant d'utiliser AUVI-Q?

Avant d'utiliser AUVI-Q, dites à votre fournisseur de soins de santé si vous:

  • avoir des problèmes cardiaques ou une pression artérielle élevée
  • avoir le diabète
  • avoir des problèmes de thyroïde
  • avoir des antécédents de dépression
  • avoir la maladie de Parkinson
  • avoir d'autres conditions médicales
  • sont enceintes ou prévoient de devenir enceintes. On ne sait pas si AUVI-Q nuire à votre bébé à naître.
  • allaitent ou prévoient d'allaiter. On ne sait pas si AUVI-Q passe dans votre lait maternel.

Parlez à votre fournisseur de soins de santé de tous les médicaments que vous prenez y compris les médicaments sur ordonnance et les médicaments sans ordonnance et les suppléments à base de plantes.

AUVI-Q et d'autres médicaments peuvent s'affecter mutuellement en provoquant des effets secondaires. AUVI-Q peut affecter le fonctionnement des autres médicaments et d'autres médicaments peuvent affecter le fonctionnement d'AUVI-Q.

Connaissez les médicaments que vous prenez. Gardez une liste d'entre eux pour montrer votre fournisseur de soins de santé et votre pharmacien lorsque vous obtenez un nouveau médicament.

Comment dois-je utiliser AUVI-Q?

  • Chaque AUVI-Q ne contient qu'une seule dose de médecine.
  • AUVI-Q ne doit être injecté que dans le muscle de votre cuisse extérieure. Il peut être injecté à travers vos vêtements si nécessaire.
  • Lisez les instructions pour une utilisation à la fin de ce dépliant d'informations pour le patient pour plus d'informations sur la bonne façon d'utiliser AUVI-Q.
  • Utilisez AUVI-Q exactement comme votre fournisseur de soins de santé vous dit de l'utiliser.
  • Un entraîneur pour AUVI-Q avec un entraîneur séparé pour les instructions d'utilisation est inclus avec AUVI-Q. Des ressources de formation supplémentaires sont disponibles sur www.auvi-q.com.
    • Pratiquez avec l'entraîneur pour AUVI-Q avant qu'une urgence allergique ne s'assure que vous pouvez utiliser en toute sécurité le vrai AUVI-Q en cas d'urgence.
    • L'entraîneur pour AUVI-Q ne contient pas d'aiguille ou de médicament et peut être réutilisé pour pratiquer votre injection.

Quels sont les effets secondaires possibles de l'AUVI-Q?

AUVI-Q peut provoquer de graves effets secondaires.

  • AUVI-Q ne doit être injecté que dans votre cuisse extérieure. N'injectez pas AUVI-Q dans votre:
    • veines
    • fesses
    • les doigts les mains ou les pieds
      Si vous injectez accidentellement AUVI-Q dans une autre partie de votre corps, allez immédiatement aux urgences de l'hôpital le plus proche. Dites au fournisseur de soins de santé où sur votre corps vous avez reçu l'injection accidentelle.
  • Rarement les patients qui utilisent AUVI-Q peuvent développer des infections au site d'injection dans les quelques jours suivant une injection. Certaines de ces infections peuvent être graves. Appelez votre professionnel de la santé immédiatement si vous avez l'un des éléments suivants sur un site d'injection:
      • rougeur qui ne disparaît pas
      • gonflement
      • tendresse
      • La zone est chaude au toucher
    • Si vous injectez un jeune enfant ou un nourrisson avec AUVI-Q, maintenez la jambe fermement en place avant et pendant l'injection pour éviter les blessures. Demandez à votre fournisseur de soins de santé de vous montrer comment tenir correctement la jambe d'un jeune enfant ou d'un bébé lors d'une injection.
  • Si vous avez certaines conditions médicales ou prenez certains médicaments, votre état peut s'aggraver ou si vous pouvez avoir des effets secondaires plus ou plus longs lorsque vous utilisez AUVI-Q. Parlez à votre fournisseur de soins de santé de toutes vos conditions médicales.

Les effets secondaires courants de l'AUVI-Q comprennent:

  • rapide irrégulier ou battement cardiaque
  • transpiration
  • shakakess
  • mal de tête
  • Pâleur
  • sentiments d'excitation de nervosité ou d'anxiété
  • faiblesse
  • vertiges
  • nausées et vomissements
  • problèmes de respiration

Dites à votre fournisseur de soins de santé si vous avez un effet secondaire qui vous dérange ou qui ne disparaît pas.

Ce ne sont pas tous les effets secondaires possibles de l'AUVI-Q. Pour plus d'informations, demandez à votre fournisseur de soins de santé ou à votre pharmacien.

Appelez votre médecin pour des conseils médicaux sur les effets secondaires. Vous pouvez signaler les effets secondaires à la FDA au 1-800-FDA-1088.

Comment dois-je stocker AUVI-Q?

  • Stockez AUVI-Q à 68 ° à 77 ° F (20 ° à 25 ° C).
  • Ne pas exposer à une chaleur ou un froid extrême. Par exemple, ne stockez pas dans la boîte à gants de votre véhicule. Ne stockez pas AUVI-Q au réfrigérateur ou congelez.
  • Examinez périodiquement le contenu dans la fenêtre de visualisation. La solution doit être claire. Si la solution est décolorée (couleur rosâtre ou plus foncée que légèrement jaune) nuageuse ou contient des particules solides, remplacez l'unité.
  • Votre AUVI-Q a une date d'expiration. Remplacez-le avant la date d'expiration.
  • Gardez AUVI-Q dans le cas extérieur dans lequel il arrive pour le protéger de la lumière.

Gardez AUVI-Q et tous les médicaments hors de portée des enfants.

Informations générales sur l'utilisation sûre et efficace d'AUVI-Q:

Les médicaments sont parfois prescrits à des fins autres que celles énumérées dans une brochure d'information du patient. N'utilisez pas AUVI-Q pour une condition pour laquelle il n'a pas été prescrit. Ne donnez pas AUVI-Q à d'autres personnes même s'ils ont une réaction allergique ou les mêmes symptômes que vous. Cela peut leur faire du mal.

Ce dépliant d'information du patient résume les informations les plus importantes sur AUVI-Q. Si vous souhaitez plus d'informations, parlez-en à votre fournisseur de soins de santé. Vous pouvez demander à votre pharmacien ou fournisseur de soins de santé pour des informations sur AUVI-Q qui sont écrits pour les professionnels de la santé.

Pour plus d'informations et des instructions vidéo sur l'utilisation d'Auvi-Q, rendez-vous sur www.auvi-q.com ou appelez le 1-877-302-8847.

Quels sont les ingrédients dans AUVI-Q?

Ingrédient actif: épinéphrine.

Ingrédients inactifs: Chlorure de sodium Acide chlorhydrique bisulfite de sodium et eau.

AUVI-Q ne contient pas de latex.

Instructions pour une utilisation

Lisez attentivement ces instructions pour l'utiliser avant de devoir utiliser votre AUVI-Q. Avant d'utiliser AUVI-Q, assurez-vous que votre fournisseur de soins de santé vous montre la bonne façon de l'utiliser. Si vous avez des questions, posez votre fournisseur de soins de santé.

Si vous administrez AUVI-Q à un jeune enfant ou au nourrisson, maintenez la jambe fermement en place et limitez les mouvements avant et pendant l'administration d'une injection.

Instructions vocales automatisées

Différence entre Zantac 75 et 150

AUVI-Q contient un système d'instructions vocales électronique pour vous guider à travers chaque étape de votre injection. Si les instructions vocales ne fonctionnent pas pour une raison

AUVI-Q comme indiqué sur ces instructions pour une utilisation. Cela fonctionnera toujours lors d'une urgence de réaction allergique.

Comment utiliser votre auvi-Q

Figure A

1. Tirez AUVI-Q du boîtier extérieur. Voir la figure B.

Ne pas Passez à l'étape 2 jusqu'à ce que vous soyez prêt à utiliser AUVI-Q. Si vous n'êtes pas prêt à utiliser AUVI-Q, remettez-le dans le cas extérieur.

Figure B

2. Tirez le gardien de sécurité rouge vers le bas et hors d'Auvi-Q. Voir figure C.

Pour réduire les chances d'une injection accidentelle, ne touchez pas la base noire de l'auto-injecteur, c'est là que l'aiguille sort. Si une injection accidentelle se produit, obtenez une aide médicale immédiatement.

Note: Le gardien de sécurité rouge est conçu pour s'adapter. Tirez fermement pour retirer.

Figure C

3. Placez l'extrémité noire d'Auvi-Q au milieu de la cuisse extérieure (à travers les vêtements si nécessaire), puis poussez fermement jusqu'à ce que vous entendiez un clic et un sifflement et vous tenir en place pendant 2 secondes. Voir la figure D.

Seulement Injecter au milieu de la cuisse extérieure. Ne vous injectez pas dans une autre partie du corps.

Si vous administrez AUVI-Q à un jeune enfant ou à un nourrisson, maintenez la jambe fermement en place pendant l'administration d'une injection, voir la figure E.

Figure D: (pour AUVI-Q 0,3 mg et AUVI-Q 0,15 mg)

Figure E: (pour AUVI-Q 0,1 mg)

Note: AUVI-Q fait un son distinct (cliquez et sifflement) lorsque vous le poussez contre votre cuisse extérieure. Ceci est normal et indique que AUVI-Q fonctionne correctement. Ne retirez pas Auvi-Q de votre jambe lorsque vous entendez le clic et le sifflement.

L'aiguille se rétracte automatiquement une fois l'injection terminée afin que l'aiguille ne soit pas visible après l'injection. AUVI-Q comprend un compte à rebours de 2 secondes après son activation, puis l'instruction vocale indiquera que l'injection est terminée et pour rechercher des soins médicaux d'urgence, AUVI-Q bip et que les lumières clignotent en rouge.

4. Obtenez immédiatement une aide médicale d'urgence.

Remplacez le boîtier extérieur et parlez à votre fournisseur de soins de santé de la bonne façon de jeter votre AUVI-Q.

Demandez à votre fournisseur de soins de santé une recharge d'ordonnance AUVI-Q.

Après l'utilisation d'Auvi-Q:

  • La base noire se verrouille en place.
  • Le système d'instructions vocale dira rechercher des soins médicaux d'urgence dire que cet AUVI-Q a été utilisé… et que les lumières clignotent en rouge.
  • Le gardien de sécurité rouge ne peut pas être remplacé.
  • La fenêtre d'observation ne sera plus claire.
  • Il est normal que certains médicaments restent dans votre AUVI-Q après avoir reçu votre dose de médecine.
  • Parlez à votre fournisseur de soins de santé de la bonne façon de jeter votre AUVI-Q.
  • AUVI-Q est un auto-injecteur à usage unique et ne peut pas être réutilisé.

Jusqu'à ce que vous jetiez votre AUVI-Q d'occasion, le système d'instructions vocales électronique vous rappellera qu'il a été utilisé lorsque le boîtier extérieur est supprimé.

Si vous administrez AUVI-Q à un jeune enfant ou à un nourrisson, demandez à votre fournisseur de soins de santé de vous montrer comment maintenir correctement la jambe en place tout en administrant une dose.

Trainer pour AUVI-Q®
Instructions du formateur à utiliser

Important:

L'entraîneur pour AUVI-Q ne contient pas d'aiguille ou de médicament.

En cas d'urgence allergique, utilisez le vrai AUVI-Q et non l'entraîneur gris.

Emportez toujours votre vrai AUVI-Q avec vous en cas d'urgence allergique.

Informations importantes sur l'entraîneur pour AUVI-Q:

À l'intérieur de votre entraîneur pour Auvi-Q, sont:

  • batteurs
  • un haut-parleur qui fera un son bip et qui produit des instructions de voix électroniques
  • lumières clignotantes rouges et vertes

L'entraîneur des batteries AUVI-Q est fait pour durer assez longtemps pour que vous puissiez pratiquer 1 fois chaque jour pendant 2 ans. Si votre entraîneur pour AUVI-Q ne fonctionne pas correctement, appelez votre fournisseur de soins de santé pour un nouvel entraîneur.

Qu'est-ce que l'entraîneur d'Auvi-Q?

  • L'entraîneur pour AUVI-Q ne contient pas d'aiguille ou de médicament et peut être réutilisé pour pratiquer votre injection.
  • Entraînez-vous avec le formateur pour AUVI-Q avant qu'une urgence allergique ne s'assure que vous pouvez utiliser en toute sécurité le vrai AUVI-Q dans un âgé

Votre entraîneur pour AUVI-Q

Figure A: TRAINER for AUVI-Q

AUVI-Q


AUVI-Q 0.1 mg is white et lavender

Trainer pour AUVI-Q:

J'ai besoin d'identifier une pilule
  • est à l'intérieur d'un cas extérieur gris
  • n'a pas d'aiguille ou de médicament à l'intérieur
  • peut être réutilisé (le gardien de sécurité rouge peut être replacé sur la base de l'entraîneur après utilisation)
  • n'a pas de date d'expiration
  • a un entraîneur en relief sur le dessus de l'appareil

AUVI-Q:

  • est à l'intérieur d'unn orange (NULL,3 mg) ou bleu (NULL,15 mg) ou blanc et lavande (NULL,1 mg)
  • contient une aiguille et une médecine épinéphrine
  • ne peut pas être réutilisé (Le gardien de sécurité rouge ne peut pas être replacé sur la base d'Auvi-Q après utilisation)
  • a une date d'expiration de médicaments répertoriée sur l'appareil
  • En cas d'urgence allergique, utilisez le vrai AUVI-Q et non l'entraîneur gris.

Qui devrait s'entraîner à utiliser l'entraîneur pour AUVI-Q?

Quiconque peut avoir besoin de vous aider avec AUVI-Q en cas d'urgence allergique:

  • Toi
  • Soignants
  • Famille
  • Amis
  • Collègues
  • Enseignants
  • Travailleurs de garde d'enfants ou de garderie

Demandez-leur de s'entraîner à utiliser le formateur et de revoir la brochure d'information du patient incluse dans l'emballage avec chaque prescription d'AuVI-Q.

Pour plus d'informations et des instructions vidéo sur l'utilisation d'Auvi -Q, rendez-vous sur www.auvi-q.com ou appelez le 1-877-302-8847.

Pratiquer avec l'entraîneur pour AUVI-Q

Pratiquez avec l'entraîneur pour AUVI-Q avant qu'une urgence allergique ne s'assure que vous pouvez utiliser en toute sécurité le vrai AUVI-Q en cas d'urgence.

  • Toi should practice daily for the first week after you receive your TRAINER for AUVI-Q to help you feel comfortable using AUVI-Q quickly et safely. Even when you are comfortable using the Trainer continue to practice using it often.

Comment utiliser l'entraîneur

Comment fonctionne l'entraîneur pour AUVI-Q

Bien que l'entraîneur n'ait pas d'aiguille et ne contient aucun médicament, il fonctionne de la même manière que le vrai AUVI-Q.

Comme pour le vrai AUVI-Q, l'entraîneur pour AUVI-Q contient un système d'instructions vocales électronique pour vous guider à travers chaque étape de votre injection. Si les instructions vocales ne fonctionnent pas pour l'entraîneur pour AUVI-Q pour une raison quelconque, vous pouvez toujours utiliser l'entraîneur pour AUVI-Q comme indiqué dans cette brochure de pratiquer.

L'entraîneur d'Auvi-Q a les mêmes lumières rouges et vertes clignotantes que le vrai AUVI-Q.

Comme pour le vrai AUVI-Q si vous pratiquez avec un jeune enfant ou un nourrisson, maintenez la jambe fermement en place tout en utilisant le formateur pour AUVI-Q. Demandez à votre fournisseur de soins de santé de vous montrer comment tenir correctement la jambe pour pratiquer afin que vous soyez préparé avant qu'une urgence allergique ne se produise.

Suivez ces étapes

1.Pulptez l'entraîneur pour AUVI-Q de la caisse extérieure. Voir la figure B

2. Tirez le gardien de sécurité rouge vers le bas et hors de l'entraîneur. Voir figure C.

Figure B

Figure C

Note: The red safety guard is made to fit tight similar to the safety guard on the real AUVI-Q. Tirez fermement pour retirer.

3. Placez l'extrémité noire contre le milieu de la cuisse extérieure (à travers les vêtements si nécessaire), puis poussez fermement jusqu'à ce que vous entendiez un clic et un sifflement et maintenir en place pendant 2 secondes. Voir la figure D.

Comme pour le vrai AUVI-Q si vous pratiquez avec un jeune enfant ou un nourrisson, maintenez la jambe fermement en place tout en utilisant le formateur pour AUVI-Q. (Voir figure E).

Figure D

Figure E

Note: In an actual emergency after the injection you would need to seek medical help right away.

Seulement Entraînez-vous en utilisant le milieu de votre cuisse extérieure. La cuisse extérieure est l'endroit où vous injecteriez avec le vrai AUVI-Q.

Note: The TRAINER for AUVI-Q makes a distinct sound (click et hiss) when you push it firmly against your outer thigh. This is the same sound that is made with the real AUVI-Q. This is normal et indicates AUVI-Q is working correctly. Ne pas pull AUVI-Q away from your leg when you hear the click et hiss sound.

4. Après avoir pratiqué réinitialiser l'entraîneur pour AUVI-Q:

un. Remplacer le gardien de sécurité rouge. Ne pas hold the black base while inserting the Red safety guard. The Black base will drop down into its original location during Red safety guard insertion. See Figure F.

né Faites glisser l'entraîneur pour AUVI-Q tout le chemin dans le boîtier extérieur gris pour réinitialiser le système vocal électronique. Voir la figure G.

Figure F

Figure G

Note: Leave the TRAINER for AUVI-Q in its outer case for at least 5 seconds between each time you practice to allow the electronic voice system to reset.

Stockage

  • Stockez l'entraîneur pour AUVI-Q à température ambiante; L'entraîneur pour AUVI-Q ne doit pas être utilisé à des températures inférieures à 50 ° F (10 ° C) ou supérieures à 104 ° F (40 ° C).
  • Stockez l'entraîneur pour AUVI-Q dans son cas extérieur.
  • Gardez l'entraîneur pour AUVI-Q à l'écart des produits chimiques de saleté et de l'eau.

Élimination

L'entraîneur pour AUVI-Q contient des batteries électroniques et de cellules de monnaie au lithium et doit être éliminé de manière correcte. Suivez vos réglementations environnementales d'État et locales pour l'élimination.

Pour la Californie uniquement: ce produit utilise des batteries contenant du matériel de perchlorate - une manipulation spéciale peut s'appliquer. Voir www.dtsc.ca.gov/hazardouswaste/perchlorate

Ces informations sur les patients ont été approuvées par la Food and Drug Administration des États-Unis.