Les Informations Présentées Sur Ce Site Ne Constituent Pas Un Avis Médical. Nous Ne Vendons Rien. L'Exactitude De La Traduction N'Est Pas Garantie. Clause De Non-Responsabilité
Cephalosporines, 2e génération
Cefzil
Résumé
Qu'est-ce que Cefzil?
Cefzil (cefprozil) est une céphalosporine antibiotique Utilisé pour traiter de nombreux types d'infections causés par les bactéries. Cefzil est disponible en générique formulaire.
Quels sont les effets secondaires de cefzil?
Les effets secondaires courants de cefzil comprennent:
- nausée
- vomissement
- diarrhée
- douleurs à l'estomac
- vertiges
- agitation
- hyperactivité
- muscles raides ou serrés
- Taste inhabituel ou désagréable dans votre bouche
- démangeaisons ou éruption cutanée
- démangeaisons vaginales ou décharges ou
- Érythème fessier dans un nourrisson prenant du cefprozil liquide.
Dites à votre médecin si vous avez des effets secondaires improbables mais graves de Cefzil, notamment:
Qu'est-ce que le vérapamil est utilisé pour traiter
- fatigue inhabituelle ou
- faiblesse.
Dosage pour cefzil
La dose adulte recommandée de cefzil est de 250 à 500 mg deux fois par jour pendant 10 jours. La dose pédiatrique est déterminée par le poids de l'enfant.
Quelles substances ou suppléments de médicaments interagissent avec cefzil?
Cefzil peut interagir avec les antibiotiques probènes ou les diurétiques (pilules d'eau). Dites à votre médecin tous les médicaments que vous prenez.
Cefzil pendant la grossesse et l'allaitement
Le cefzil ne doit être utilisé que lorsqu'il est prescrit pendant la grossesse. Ce médicament passe dans le lait maternel. Consultez votre médecin avant l'allaitement.
Informations Complémentaires
Notre centre de médicaments à effets secondaires de Cefzil (CEFPROZIL) offre une vue complète des informations sur les médicaments disponibles sur les effets secondaires potentiels lors de la prise de ce médicament.
Informations sur les médicaments de la FDA
- Description de la drogue
- Indications
- Dosage
- Effets secondaires
- Interactions médicamenteuses
- Avertissements
- Précautions
- Surdosage
- Pharmacologie clinique
- Guide des médicaments
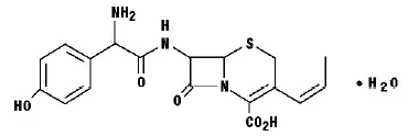
Cefzil (cefprozil) est une céphalosporine à large spectre semi-synthétique antibiotique .
Cefprozil est un mélange CIS et transsomère trans (≥ 90% cis). Le nom chimique du monohydrate est (6 R 7 R ) -7 - [( R ) -2-amino-2- ( p -hydroxyphényl) acétamido] -8-oxo-3-propényl-5-thia-1-azabicyclo [4.2.0] monohydrate d'acide oct-2-eeve-2-carboxylique et la formule structurelle est:
|
Cefprozil est une poudre blanche à jaunâtre avec une formule moléculaire pour le monohydrate de C 18 H 19 N 3 O 5 S • H. 2 O et un poids moléculaire de 407,45.
Les comprimés CEFZIL (CEFPROZIL) et CEFZIL (CEFPROZIL) pour la suspension orale sont destinés à l'administration orale.
Les comprimés de cefzil contiennent du cefprozil équivalent à 250 mg ou 500 mg de cefprozil anhydre. De plus, chaque comprimé contient les ingrédients inactifs suivants: la cellulose hypromellose magnésium stéarate méthylcellulose siméthicone étamiaire de sodium glycolate polyéthylène glycol polysorbate 80 acide sorbique et dioxyde de titane. Les comprimés de 250 mg contiennent également FD
Cefzil pour la suspension orale contient du cefprozil équivalent à 125 mg ou 250 mg de cefprozil anhydre par 5 ml constitué. De plus, la suspension orale contient les ingrédients inactifs suivants: Aspartame cellulose acide citrique colloïdal Silicone dioxyde FD
Utilisations pour Cefzil
Cefzil (CEFProzil) est indiqué pour le traitement des patients présentant des infections légères à modérées causées par des souches sensibles des micro-organismes désignés dans les conditions énumérées ci-dessous:
Voies respiratoires supérieures
Pharyngite / amygdalite causé par Streptococcus pyogenes .
Remarque: Le médicament habituel de choix dans le traitement et la prévention des infections streptococciques, y compris la prophylaxie de la fièvre rhumatismale, est la pénicilline donnée par la voie intramusculaire. Cefprozil est généralement efficace dans l'éradication de Streptococcus pyogenes du nasopharynx; Cependant, des données substantielles établissant l'efficacité du cefprozil dans la prévention subséquente de la fièvre rhumatismale ne sont pas disponibles actuellement.
Otite moyenne causé par Streptococcus pneumoniae haemophilus influenzae (y compris les souches productrices de β-lactamase) et Moraxella (Branhamella) Catarrhalis (y compris les souches productrices de β-lactamase). (Voir Études cliniques .)
NOTE: Dans le traitement de l'otite moyenne due aux organismes produisant de la β-lactamase, Cefprozil avait des taux d'éradication bactériologiques un peu inférieurs à ceux observés avec un produit contenant un inhibiteur spécifique de la β-lactamase. En considérant l'utilisation de cefprozil, les taux d'éradication globaux plus bas devraient être équilibrés avec les modèles de sensibilité des microbes communs dans une zone géographique donnée et le potentiel accru de toxicité avec des produits contenant des inhibiteurs de la β-lactamase.
Sinusite aiguë causé par Streptococcus pneumoniae haemophilus influenzae (y compris les souches productrices de β-lactamase) et Moraxella (Branhamella) Catarrhalis (y compris les souches productrices de β-lactamase).
Tracts respiratoires inférieurs
Infection bactérienne secondaire de la bronchite aiguë et exacerbation bactérienne aiguë de la bronchite chronique causé par Streptococcus pneumoniae haemophilus influenzae (y compris les souches productrices de β-lactamase) et Moraxella (Branhamella) Catarrhalis (y compris les souches productrices de β-lactamase).
Structure de la peau et de la peau
Infections de peau et de structure cutanée simples causé par Staphylococcus aureus (y compris les souches productrices de la pénicillinase) et Streptococcus pyogenes . Les abcès nécessitent généralement un drainage chirurgical.
Pour réduire le développement de bactéries résistantes aux médicaments et maintenir l'efficacité du CEFZIL (CEFPROZIL) et d'autres médicaments antibactériens, cefzil (CEFPROZIL) doit être utilisé uniquement pour traiter ou prévenir les infections qui sont prouvées ou fortement suspectées comme causées par des bactéries susceptibles. Lorsque des informations sur la culture et la sensibilité sont disponibles, elles doivent être prises en compte dans la sélection ou la modification de la thérapie antibactérienne. En l'absence de telles données, les modèles d'épidémiologie et de sensibilité locaux peuvent contribuer à la sélection empirique de la thérapie.
Dosage pour cefzil
Cefzil (cefprozil) est administré par voie orale.
| Population / infection | Dosage(Mg) | Durée (jours) |
| Adultes (13 ans et plus) | ||
| Voies respiratoires supérieures | ||
| Pharyngite / amygdalite | 500 Q24H | 10 a |
| Sinusite aiguë | 250 Q12H ou | 10 |
| (Pour les infections modérées à sévères, la dose plus élevée doit être utilisée) | 500 Q12H | |
| Tracts respiratoires inférieurs | ||
| Infection bactérienne secondaire de la bronchite aiguë et exacerbation bactérienne aiguë de la bronchite chronique | 500 Q12H | 10 |
| Structure de la peau et de la peau | ||
| Infections non compliquées sur la peau et la structure de la peau | 250 Q12H ou 500 Q24H ou 500 Q12H | 10 |
| Enfants (2 ans à 12 ans) | ||
| Voies respiratoires supérieures b | ||
| Pharyngite / amygdalite | 7,5 mg / kg Q12H | 10 a |
| Structure de la peau et de la peau b | ||
| Infections non compliquées sur la peau et la structure de la peau | 20 mg / kg Q24H | 10 |
| Nourrissons | ||
| Voies respiratoires supérieures b | ||
| Otite moyenne (Voir Indications et utilisation et Études cliniques ) | 15 mg / kg Q12H | 10 |
| Sinusite aiguë (Pour les infections modérées à sévères, la dose plus élevée doit être utilisée) | 7,5 mg / kg Q12H ou 15 mg / kg Q12H | 10 |
| a Dans le traitement des infections en raison de Streptococcus pyogenes Cefzil (CEFProzil) doit être administré pendant au moins 10 jours. b Ne pas dépasser les doses adultes recommandées. |
Trouble rénal
Cefprozil peut être administré aux patients présentant une fonction rénale altérée. Le calendrier posologique suivant doit être utilisé.
| Créatinine (ml / min) | Dosage (Mg) | Intervalle de dosage |
| 30-120 | standard | standard |
| 0-29 * | 50% de la norme | standard |
| * Cefprozil est en partie éliminé par l'hémodialyse; Par conséquent, cefprozil doit être administré après l'achèvement de l'hémodialyse. |
Trouble hépatique
Aucun ajustement posologique n'est nécessaire pour les patients présentant une fonction hépatique altérée.
Comment fourni
Comprimés cefzil® (cefprozil)
Chaque comprimé enduit de film orange clair imprimé avec «7720» d'un côté et «250» de l'autre contient l'équivalent de 250 mg de cefprozil anhydre.
Bouteilles de 100 comprimés .......................... NDC 0087-7720-60
Chaque comprimé enduit de film blanc imprimé avec «7721» d'un côté et «500» de l'autre contient l'équivalent de 500 mg de cefprozil anhydre.
Bouteilles de 50 comprimés .......................... NDC 0087-7721-50
Bouteilles de 100 comprimés ......................... NDC 0087-7721-60
Conserver à température ambiante contrôlée 59 ° -86 ° F (15 ° -30 ° C).
CEFZIL® (CEFPROZIL) pour la suspension orale
Chaque 5 ml de suspension constituée contient l'équivalent de 125 mg de cefprozil anhydre.
Bouteille de 50 ml .......................... NDC 0087-7718-40
Bouteille de 75 ml .......................... NDC 0087-7718-62
Bouteille de 100 ml ........................ NDC 0087-7718-64
Chaque 5 ml de suspension constituée contient l'équivalent de 250 mg de cefprozil anhydre.
Bouteille de 50 ml .......................... NDC 0087-7719-40
Bouteille de 75 ml .......................... NDC 0087-7719-62
Bouteille de 100 ml ........................ NDC 0087-7719-64
Toutes les formulations de poudre pour la suspension orale contiennent du cefprozil dans un mélange aromatisé bubble-gum.
Directions de reconstitution pour la suspension buccale
Préparer la suspension au moment de la distribution; Pour plus de facilité dans la préparation, ajoutez de l'eau en deux portions et secouez bien après chaque aliquote.
Quantité totale d'eau requise pour la reconstitution
| Taille de bouteille | Concentration finale 125 mg / 5 ml | Concentration finale 250 mg / 5 ml |
| 50 ml | 36 ml | 36 ml |
| 75 ml | 54 ml | 54 ml |
| 100 ml | 72 ml | 72 ml |
Après avoir mélanger le magasin dans un réfrigérateur et jeter une partie inutilisée après 14 jours. Conserver à 59 ° -77 ° F (15 ° -25 ° C) avant la constitution. Brevet américain n ° 4520022
Bristol-Myers Squibb Company Princeton New Jersey 08543. USA. Rév
Effets secondaires fou Cefzil
Les effets indésirables au cefprozil sont similaires à ceux observés avec d'autres céphalosporines administrés par voie orale. Cefprozil était généralement bien toléré dans les essais cliniques contrôlés. Environ 2% des patients ont interrompu le traitement de CEFProzil en raison d'événements indésirables.
Quand implanon est-il efficace après l'insertion
Les effets indésirables les plus courants observés chez les patients traités par cefprozil sont:
Gastro-intestinal: Diarrhée (NULL,9%) nausées (NULL,5%) vomissements (1%) et douleurs abdominales (1%).
Hépatobiliaire: élévations de l'AST (SGOT) (2%) ALT (SGPT) (2%) phosphatase alcaline (NULL,2%) et valeurs de bilirubine ( <0.1%). As with some penicillins et some other cephalospouin antibiotiques cholestatic jaundice has been repouted rarely.
Hypersensibilité: Éruption cutanée (NULL,9%) urticaire (NULL,1%). De telles réactions ont été rapportées plus fréquemment chez les enfants que chez les adultes. Les signes et symptômes se produisent généralement quelques jours après le début du traitement et se calment dans quelques jours après l'arrêt du traitement.
CNS: Les étourdissements (1%) Hyperactivité Maux de tête Nervousness Insomnie La confusion et la somnolence ont été rapportées rarement ( <1%). All were reversible.
Hématopoïétique: Une diminution du nombre de leucocytes (NULL,2%) d'éosinophilie (NULL,3%).
Rénal: Créatinine sérique élevée (NULL,1%) (NULL,1%).
Autre: Érythème fessier et surinfection (NULL,5%) Prurit génital et vaginite (NULL,6%).
Les événements indésirables suivants, quelle que soit la relation causale établie avec le CEFZIL (CEFPROZIL), ont rarement été rapportés lors de la surveillance post-commerciale: anaphylaxie angio-œdème de colite (y compris la colite pseudomembranous) Erythème Fever-Sickness Fever comme réactions Syndrome et thrombocytopénia de Stevens-John.
Cephalosporin class paragraph
In addition to the adverse reactions listed above which have been observed in patients treated with cefprozil the following adverse reactions and altered laboratory tests have been reported for cephalosporin-class antibiotics:
Anémie aplasique anémie hémorragie hémorragie dysfonctionnement rénal nécrolyse épidermique toxique néphropathie toxique prolongée du temps de prothrombine positif `` Test de coombes élevés de la pancytopénie de la pancytopénie de la pancytopénie.
Plusieurs céphalosporines ont été impliqués dans le déclenchement des crises, en particulier chez les patients atteints de troubles rénaux, lorsque le dosage n'a pas été réduit. (Voir Posologie et administration et Sur-ladosage .) If seizures associated with drug therapy occur the drug should be discontinued. Anticonvulsant therapy can be given if clinically indicated.
À quoi ressemblent les pilules de douleur
Interactions médicamenteuses fou Cefzil
Une néphrotoxicité a été signalée suite à l'administration concomitante d'antibiotiques aminoglycosides et d'antibiotiques de céphalosporine. L'administration concomitante de probénécide a doublé l'ASC pour cefprozil.
La biodisponibilité de la formulation de la capsule de cefprozil n'a pas été affectée lors de l'administration 5 minutes après un antiacide.
Interactions de test de médicament / de laboratoire
Les antibiotiques de céphalosporine peuvent produire une réaction fausse positive pour le glucose dans l'urine avec des tests de réduction de cuivre (la solution de Benoît ou de Fehling ou avec des comprimés Clinitest®) mais pas avec des tests basés sur des enzymes pour la glycosurie (par exemple Clinistix®). Une réaction fausse négative peut se produire dans le test de ferricyanure pour la glycémie. La présence de cefprozil dans le sang n'interfère pas avec le test de plasma ou de créatinine d'urine par la méthode de picrate alcalin.
Avertissements fou Cefzil
Avant que le thérapie avec cefzil (CEFProzil) ne soit institué en une enquête minutieuse pour déterminer si le patient a eu des réactions d'hypersensibilité antérieures à cefzil (CEFPROZIL) céphalosporines pénicillines ou autres médicaments. Si ce produit doit être donné aux patients sensibles à la pénicilline, la prudence doit être exercée car la sensibilité croisée entre les antibiotiques β-lactame a été clairement documentée et peut survenir chez jusqu'à 10% des patients ayant des antécédents d'allergie à la pénicilline. Si une réaction allergique au cefzil (cefprozil) se produit, arrêtez le médicament. Des réactions d'hypersensibilité aiguës graves peuvent nécessiter un traitement avec de l'épinéphrine et d'autres mesures d'urgence, notamment des fluides intraveineux d'oxygène, des corticostéroïdes intraveineux corticostéroïdes amines et la gestion des voies respiratoires comme indiqué cliniquement.
Clostridium difficile La diarrhée associée (CDAD) a été signalée avec l'utilisation de presque tous les agents antibactériens, y compris le CEFZIL (CEFProzil) et peut aller en gravité de la diarrhée légère à la colite mortelle. Le traitement avec des agents antibactériens modifie la flore normale du côlon conduisant à la prolifération de C. difficile .
C. difficile produit des toxines A et B qui contribuent au développement de la CDAD. Des souches productrices d'hypertoxine de C. difficile provoquer une morbidité et une mortalité accrues car ces infections peuvent être réfractaires en thérapie antimicrobienne et peuvent nécessiter une colectomie. La CDAD doit être considérée chez tous les patients qui présentent une diarrhée après une utilisation antibiotique. Des antécédents médicaux attentifs sont nécessaires car la CDAD se produirait sur deux mois après l'administration d'agents antibactériens.
Si la CDAD est suspectée ou confirmée l'utilisation d'antibiotiques en cours non dirigée contre C. difficile peut avoir besoin d'être interrompu. Supplémentation des protéines de fluide et d'électrolyte appropriée Traitement antibiotique de C. difficile et surgical evaluation should be instituted as clinically indicated.
Précautions fou Cefzil
Général
La prescription de CEFZIL (CEFPROZIL) en l'absence d'une infection bactérienne prouvée ou fortement suspectée ou d'une indication prophylactique est peu susceptible de profiter au patient et augmente le risque de développement de bactéries résistantes au médicament.
Chez les patients atteints de troubles rénaux connus ou suspects (voir Posologie et administration ) Une observation clinique minutieuse et des études de laboratoire appropriées doivent être effectuées avant et pendant le traitement. La dose quotidienne totale de cefzil (CEFProzil) doit être réduite chez ces patients car des concentrations d'antibiotiques plasmatiques élevées et / ou prolongées peuvent survenir chez ces individus à partir de doses habituelles. Les céphalosporines, y compris le cefzil (CEFProzil), doivent être présentées avec la prudence aux patients recevant un traitement simultané avec de puissants diurétiques, car ces agents sont soupçonnés d'avoir affecté négativement la fonction rénale.
L'utilisation prolongée de cefzil (cefprozil) peut entraîner la prolifération d'organismes non sensibles. Une observation attentive du patient est essentielle. Si une surinfection se produit pendant la thérapie, des mesures appropriées doivent être prises.
Cefprozil doit être prescrit avec prudence chez les personnes ayant des antécédents de maladie gastro-intestinale, en particulier la colite.
Des tests de coombes directes positifs ont été signalés lors du traitement avec des antibiotiques de céphalosporine.
Mutagenèse de la carcinogenèse et altération de la fertilité
À long terme en vain Les études n'ont pas été réalisées pour évaluer le potentiel cancérigène de Cefprozil.
Cefprozil ne s'est pas révélé être mutagène dans les ames Salmonelle ou E. coli Les tests de réversion WP2 URVA ou le test de mutation du gène de gène de cellules ovariennes chinoises HGPRT et il n'a pas induit des anomalies chromosomiques dans les cellules ovaires du hamster chinois ou la synthèse d'ADN non comprise dans les hépatocytes de rat in vitro . Les aberrations chromosomiques n'ont pas été observées dans les cellules de moelle osseuse de rats dosés par voie orale avec plus de 30 fois la dose humaine recommandée la plus élevée en fonction de Mg / M 2 .
Une altération de la fertilité n'a pas été observée chez les rats mâles ou femelles étant donné des doses orales de cefprozil jusqu'à 18,5 fois la dose humaine recommandée la plus élevée en fonction de Mg / M 2 .
Grossesse
Effets tératogènes: catégorie de grossesse B
Des études de reproduction ont été réalisées chez des souris et des rats de lapins en utilisant des doses orales de cefprozil de 0,8 8,5 et 18,5 fois la dose humaine quotidienne maximale (1000 mg) basée sur Mg / m 2 et have revealed no harm to the fetus. There are however no adequate et well-controlled studies in pregnant women. Because animal reproduction studies are not always predictive of human response this drug should be used during pregnancy only if clearly needed.
Travail et accouchement
Cefprozil n'a pas été étudié pour une utilisation pendant le travail et l'accouchement. Le traitement ne doit être administré que s'il est clairement nécessaire.
Mères qui allaitent
Petites quantités de cefprozil ( <0.3% of dose) have been detected in human milk following administration of a single 1 gram dose to lactating women. The average levels over 24 hours ranged from 0.25 to 3.3 µg/mL. Caution should be exercised when CEFZIL (cefprozil) is administered to a nursing woman since the effect of cefprozil on nursing infants is unknown.
Usage pédiatrique
(Voir Indications et utilisation et Posologie et administration .)
La sécurité et l'efficacité du cefprozil dans le traitement de l'otite moyenne ont été établies dans les groupes d'âge de 6 mois à 12 ans. L'utilisation de cefzil (CEFProzil) pour le traitement de l'otite moyenne est étayée par des preuves d'études adéquates et bien contrôlées sur le CEFProzil chez les patients pédiatriques. (Voir Études cliniques . )
L'innocuité et l'efficacité du céfprozil dans le traitement de la pharyngite / amygdalite ou des infections cutanées et de structure cutanée non compliquées ont été établies dans les groupes d'âge de 2 à 12 ans. L'utilisation de cefzil (CEFProzil) pour le traitement de ces infections est étayée par des preuves d'études adéquates et bien contrôlées sur le CEFProzil chez les patients pédiatriques.
La sécurité et l'efficacité du cefprozil dans le traitement de la sinusite aiguë ont été établies dans les groupes d'âge de 6 mois à 12 ans. L'utilisation de cefzil (CEFProzil) dans ces groupes d'âge est étayée par des preuves d'études adéquates et bien contrôlées sur CEFProzil chez les adultes.
Que se passe-t-il si vous reniflez l'ibuprofène
La sécurité et l'efficacité chez les patients pédiatriques de moins de 6 mois n'ont pas été établies pour le traitement de l'otite moyenne ou de la sinusite aiguë ou en dessous de l'âge de 2 ans pour le traitement de la pharyngite / amygdalite ou des infections cutanées et de structure cutanée non compliquées. Cependant, l'accumulation d'autres antibiotiques de céphalosporine chez les nouveau-nés (résultant d'une demi-vie médicamenteuse prolongée dans ce groupe d'âge) a été signalée.
Utilisation gériatrique
Sur les plus de 4500 adultes traités par cefzil (CEFProzil) dans des études cliniques, 14% étaient de 65 ans et plus tandis que 5% étaient de 75 ans et plus. Lorsque les patients gériatriques ont reçu les doses habituelles des adultes recommandées, leur efficacité clinique et leur sécurité étaient comparables à l'efficacité et à la sécurité cliniques chez les patients adultes non gériatriques. D'autres expériences cliniques rapportées n'ont pas identifié de différences dans les réponses entre les patients âgés et les patients plus jeunes, mais une plus grande sensibilité de certaines personnes âgées aux effets du CEFZIL ne peut pas être exclue (voir Pharmacologie clinique ).
Cefzil (CEFProzil) est connu pour être considérablement excrété par le rein et le risque de réactions toxiques à ce médicament peut être plus élevé chez les patients présentant une fonction rénale altérée. Étant donné que les patients âgés sont plus susceptibles d'avoir une diminution des soins de fonction rénale devraient être pris dans la sélection de la dose et il peut être utile de surveiller la fonction rénale. Voir Posologie et administration Pour les recommandations de dosage pour les patients présentant une fonction rénale altérée.
Informations sur la surdose pour cefzil
Les doses orales de CEFProzil de 5000 mg / kg de 5000 ne provoquaient aucune mortalité ni signe de toxicité chez le sevrage adulte ou les rats néonatals ou les souris adultes. Une seule dose orale de 3000 mg / kg a provoqué une diarrhée et une perte d'appétit chez les singes de Cynomolgus mais pas de mortalité.
Cefprozil est éliminé principalement par les reins. En cas de surdosage grave, en particulier chez les patients présentant une fonction rénale compromise, l'hémodialyse aidera à l'élimination du CEFProzil du corps.
Contre-indications pour cefzil
CEFZIL (cefprozil) is contraindicated in patients with known allergy to the cephalosporin class of antibiotics.
Pharmacologie clinique fou Cefzil
Les données pharmacocinétiques ont été dérivées de la formulation de la capsule; Cependant, la bioéquivalence a été démontrée pour les formulations de comprimés de capsule de solution orale et de suspension dans des conditions de jeûne.
Après l'administration orale de cefprozil aux sujets à jeun, environ 95% de la dose a été absorbée. La demi-vie plasmatique moyenne chez les sujets normaux était de 1,3 heures tandis que le volume de distribution à l'état d'équilibre était estimé à 0,23 L / kg. La clairance corporelle totale et les taux de clairance rénale étaient respectivement d'environ 3 ml / min / kg et 2,3 ml / min / kg.
Les concentrations maximales moyennes plasmatiques après administration de 250 mg de 500 mg ou 1 g de CEFProzil aux sujets à jeun étaient respectivement de 6,1 10,5 et 18,3 µg / ml et ont été obtenues dans les 1,5 heures suivant la dosage. La récupération urinaire représentait environ 60% de la dose administrée. (Voir Tableau.)
| Dosage (Mg) | Plasma moyen Cefprozil Concentrations (µg / ml) * | 8 heures urinaire Excrétion (%) | ||
| Pic appx. 1,5 h | 4 h | 8 h | ||
| 250 mg | 6.1 | 1.7 | 0.2 | 60% |
| 500 mg | 10.5 | 3.2 | 0.4 | 62% |
| 1000 mg | 18.3 | 8.4 | 1.0 | 54% |
| * Les données représentent des valeurs moyennes de 12 volontaires sains. |
Au cours de la première période de 4 heures après l'administration du médicament, les concentrations moyennes d'urine après 250 mg 500 mg et 1 g étaient environ 700 µg / ml de 1000 µg / ml et 2900 µg / ml respectivement.
L'administration de la formulation de comprimés de CEFZIL (CEFPROZIL) ou de suspension avec des aliments n'a pas affecté l'étendue de l'absorption (AUC) ou la concentration plasmatique maximale (CMAX) de CEFProzil. Cependant, il y a eu une augmentation de 0,25 à 0,75 heures dans le temps jusqu'à la concentration plasmatique maximale de cefprozil (TMAX).
La biodisponibilité de la formulation de la capsule de cefprozil n'a pas été affectée lors de l'administration 5 minutes après un antiacide.
La liaison aux protéines plasmatiques est d'environ 36% et est indépendante de la concentration dans la plage de 2 µg / ml à 20 µg / ml.
Il n'y avait aucune preuve d'accumulation de cefprozil dans le plasma chez les personnes ayant une fonction rénale normale après plusieurs doses orales allant jusqu'à 1000 mg toutes les 8 heures pendant 10 jours.
Chez les patients présentant une fonction rénale réduite, la demi-vie plasmatique peut être prolongée jusqu'à 5,2 heures selon le degré de dysfonctionnement rénal. Chez les patients ayant une absence complète de fonction rénale, la demi-vie plasmatique de cefprozil s'est avérée être jusqu'à 5,9 heures. La demi-vie est raccourcie pendant l'hémodialyse. Les voies d'excrétion chez les patients présentant une fonction rénale nettement altérée n'ont pas été déterminées. (Voir PRÉCAUTIONS et Posologie et administration .)
Chez les patients atteints de fonction hépatique altérée, la demi-vie augmente à environ 2 heures. L'ampleur des changements ne justifie pas un ajustement posologique pour les patients présentant une fonction hépatique altérée.
Des volontaires gériatriques en bonne santé (≥ 65 ans) qui ont reçu une seule dose de CEFProzil 1-G avaient 35% à 60% de l'ASC plus élevée et 40% de valeurs de dégagement rénales plus faibles par rapport aux volontaires pour adultes en bonne santé de 20 à 40 ans. L'AUC moyen chez les jeunes et les femmes âgées était d'environ 15% à 20% plus élevée que chez les jeunes et les personnes âgées. L'ampleur de ces changements liés à l'âge et au sexe dans la pharmacocinétique de cefprozil n'est pas suffisante pour nécessiter des ajustements posologiques.
Des données adéquates sur les niveaux de CSF de CEFProzil ne sont pas disponibles.
Des paramètres pharmacocinétiques comparables de cefprozil sont observés entre les patients pédiatriques (6 mois à 12 ans) et les adultes après l'administration orale de doses appariées sélectionnées. Les concentrations maximales sont obtenues à 1 à 2 heures après le dosage. La demi-vie d'élimination du plasma est d'environ 1,5 heure. En général, les concentrations plasmatiques observées de cefprozil chez les patients pédiatriques aux doses de 7,5 15 et 30 mg / kg sont similaires à celles observées dans le même laps de temps chez des sujets adultes normaux aux doses de 250 500 et 1000 mg respectivement. Les concentrations plasmatiques comparatives de cefprozil chez les patients pédiatriques et les sujets adultes au niveau de la dose équivalent sont présentés dans le tableau ci-dessous.
| Concentrations moyennes de cefprozil plasmatiques (SD) (µg / ml) | ||||||
| Population | Dose | 1 h | 2 h | 4 h | 6 h | T1 / 2 (H) |
| Enfants (n = 18) | 7,5 mg / kg | 4.70 (NULL,57) | 3,99 (NULL,24) | 0,91 (NULL,30) | 0.23 a (NULL,13) | 0,94 (NULL,32) |
| adultes (n = 12) | 250 mg | 4.82 (2.13) | 4.92 (1.13) | 1.70 b (NULL,53) | 0.53 (NULL,17) | 1,28 (NULL,34) |
| Enfants (n = 19) | 15 mg / kg | 10,86 (NULL,55) | 8.47 (2.03) | 2,75 (1.07) | 0.61 c (NULL,27) | 1,24 (NULL,43) |
| adultes (n = 12) | 500 mg | 8.39 (NULL,95) | 9,42 (NULL,98) | 3.18 d (NULL,76) | 1.00 d (NULL,24) | 1,29 (NULL,14) |
| Enfants (n = 10) | 30 mg / kg | 16,69 (4.26) | 17.61 (6.39) | 8.66 (NULL,70) | - | 2,06 (NULL,21) |
| adultes (n = 12) | 1000 mg | 11.99 (4.67) | 16,95 (4.07) | 8.36 (4.13) | 2.79 (1.77) | 1,27 (NULL,12) |
| a n = 11; b n = 5; c n = 9; d n = 11. |
Microbiologie
Cefprozil a in vitro Activité contre un large éventail de bactéries Gram-positives et Gram négatives. L'action bactéricide du cefprozil résulte de l'inhibition de la synthèse de la paroi cellulaire. Cefprozil s'est avéré actif contre la plupart des souches des micro-organismes suivants in vitro et in clinical infections as described in the Indications et utilisation section.
| Micro-organismes à Gram positif aérobie: Staphylococcus aureus (y compris les souches productrices de β-lactamase) NOTE: Cefprozil est inactif contre les staphylocoques résistants à la méthicilline. Streptococcus pneumoniae Streptococcus pyogenes | Micro-organismes à Gram négatifs aérobies: Haemophilus influenzae (y compris les souches productrices de β-lactamase) Moraxella (Branhamella) Catarrhalis ( y compris les souches productrices de β-lactamase) |
Ce qui suit in vitro Les données sont disponibles; Cependant, leur signification clinique est inconnue. Expositions de cefprozil in vitro Des concentrations inhibiteurs minimales (CMI) de 8 µg / ml ou moins contre la plupart des souches (≥ 90%) des micro-organismes suivants; Cependant, la sécurité et l'efficacité du CEFProzil dans le traitement des infections cliniques en raison de ces micro-organismes n'ont pas été établies dans des essais cliniques adéquats et bien contrôlés.
| Micro-organismes à Gram positif aérobie: | |
| Enterococcus Durans Enterococcus faecalis Listeria monocytogenes Staphylococcus epidermidis Staphylococcus saprophyticus | Staphylococcus warneri Streptococcus agalactiae Streptocoques (Groupes C D F et G) Streptocoque du groupe Viridans |
| NOTE: Cefprozil est inactif contre Enterococcus faecium. | |
| Micro-organismes à Gram négatifs aérobies: | |
| Citrobacter différent Ils ont fait preuve de froid Klebsiella pneumoniae Neisseria gonorrhoeae (y compris les souches productrices de β-lactamase) | Proteus merveilleux Salmonelle spp. Shigella spp. Vibrio spp. |
| NOTE: Cefprozil est inactif contre la plupart des souches de Acinetobacter Enterobacter Morganella Morganii Proteus vulgaris Providencia Pseudomonas et Serratia. | |
| Micro-organismes anaérobies: | |
| Prevotella (bacteroides) melaninogèneicus Clostridium difficile Clostridium perfringens | Fusobacterium spp. Peptostreptococcus spp. Propionibacterium acnes |
| NOTE: La plupart des souches du Bacteroides fragilis Le groupe est résistant au cefprozil. |
Tests de sensibilité
Techniques de dilution: Des méthodes quantitatives sont utilisées pour déterminer les concentrations inhibiteurs minimales antimicrobiennes (CMI). Ces CMI fournissent des estimations de la sensibilité des bactéries aux composés antimicrobiens. Les micros doivent être déterminés à l'aide d'une procédure standardisée. Les procédures standardisées sont basées sur une méthode de dilution 12 (bouillon ou gélose) ou équivalent avec des concentrations standardisées d'inoculum et des concentrations standardisées de poudre de cefprozil. Les valeurs du CMI doivent être interprétées selon les critères suivants:
| Micro (µg / ml) | Interprétation |
| ≤ 8 | Susceptible (s) |
| 16 | Intermédiaire (i) |
| ≥ 32 | Résistant (R) |
Un rapport de «sensible» indique que l'agent pathogène est susceptible d'être inhibé si le composé antimicrobien dans le sang atteint les concentrations généralement réalisables. Un rapport de «intermédiaire» indique que le résultat doit être considéré comme équivoque et si le micro-organisme n'est pas entièrement sensible aux alternatives de médicaments cliniquement possibles, le test doit être répété. Cette catégorie implique une applicabilité clinique possible dans les sites corporels où le médicament est physiologiquement concentré ou dans des situations où une dose élevée de médicament peut être utilisée. Cette catégorie fournit également une zone tampon qui empêche de petits facteurs techniques incontrôlés de provoquer des écarts majeurs dans l'interprétation. Un rapport de «résistant» indique que l'agent pathogène est peu susceptible d'être inhibé si le composé antimicrobien dans le sang atteint les concentrations généralement réalisables; Une autre thérapie doit être sélectionnée.
Les procédures de test de sensibilité normalisées nécessitent l'utilisation de micro-organismes de contrôle de laboratoire pour contrôler les aspects techniques des procédures de laboratoire. La poudre de cefprozil standard devrait fournir les valeurs de micro suivantes:
| Micro-organisme | Micro (µg / ml) |
| Enterococcus faecalis ATCC 29212 | 4-16 |
| Ils ont fait preuve de froid ATCC 25922 | 1-4 |
| Haemophilus influenzae ATCC 49766 | 1-4 |
| Staphylococcus aureus ATCC 29213 | 0,25-1 |
| Streptococcus pneumoniae ATCC 49619 | 0,25-1 |
Diffusion Techniques: Les méthodes quantitatives qui nécessitent la mesure des diamètres de zone fournissent également des estimations reproductibles de la sensibilité des bactéries aux composés antimicrobiens. Une telle procédure standardisée 3 nécessite l'utilisation de concentrations d'inoculum standardisées. Cette procédure utilise des disques papier imprégnés de 30 µg de cefprozil pour tester la sensibilité des micro-organismes à cefprozil.
Les rapports du laboratoire fournissant les résultats du test de sensibilité à disque unique standard avec un disque CEFProzil de 30 µg doivent être interprétés selon les critères suivants:
| Diamètre de la zone (mm) | Interprétation |
| ≥ 18 | Susceptible (s) |
| 15-17 | Intermédiaire (i) |
| ≤ 14 | Résistant (R) |
Interprétation should be as stated above fou results using dilution techniques. Interprétation involves courelation of the diameter obtained in the disk test with the MIC fou cefprozil.
Comme pour les techniques de dilution standardisées, les méthodes de diffusion nécessitent l'utilisation de micro-organismes de contrôle de laboratoire qui sont utilisés pour contrôler les aspects techniques des procédures de laboratoire. Pour la technique de diffusion, le disque de CEFProzil de 30 µg doit fournir les diamètres de zone suivants dans ces souches de contrôle de la qualité de test de laboratoire.
| Micro-organisme | Diamètre de la zone (mm) |
| Ils ont fait preuve de froid ATCC 25922 | 21-27 |
| Haemophilus influenzae ATCC 49766 | 20-27 |
| Staphylococcus aureus ATCC 25923 | 27-33 |
| Streptococcus pneumoniae ATCC 49619 | 25-32 |
Études cliniques
Étude un
Dans une étude clinique contrôlée de Otite moyenne aiguë effectué aux États-Unis où des taux significatifs d'organismes producteurs de β-lactamase ont été trouvés du CEFPROZIL ont été comparés à un agent antimicrobien oral qui contenait un inhibiteur spécifique de la β-lactamase. Dans cette étude utilisant des critères d'évaluation très stricts et des critères de réponse microbiologique et clinique aux 10 à 16 jours après le suivi après l'éradication bactérienne / les résultats cliniques (c.-à-d.
Étude de l'otite moyenne aiguë des États-Unis Cefprozil vs médicament témoin contenant de l'inhibiteur de la β-lactamase
| EFFICACITÉ: | ||
| Pathogène | % des cas de pathogène (n = 155) | Résultat |
| Saint-Pneumoniae | 48,4% | Taux de réussite de Cefprozil 5% mieux que le contrôle |
| H. grippe | 35,5% | Taux de réussite de Cefprozil 17% inférieurs au contrôle |
| M. catarrhalis | 13,5% | Taux de réussite de Cefprozil 12% inférieur au contrôle |
| S. pyogenes | 2,6% | Cefprozil équivalent au contrôle |
| Dans l'ensemble | 100,0% | Taux de réussite de Cefprozil 5% de moins que le contrôle |
Sécurité
Les incidences d'événements indésirables principalement diarrhée et éruption cutanée * étaient cliniquement et statistiquement significativement plus élevées dans le bras témoin par rapport au bras de Cefprozil.
| Groupe d'âge | Cefprozil | Contrôle |
| 6 mois à 2 ans | 21% | 41% |
| 3-12 ans | 10% | 19% |
| * La majorité d'entre eux impliquaient la zone des couches chez les jeunes enfants. |
Étude deux
Dans une étude clinique contrôlée de Otite moyenne aiguë effectué en Europe Cefprozil a été comparé à un agent antimicrobien oral qui contenait un inhibiteur spécifique de la β-lactamase. Comme prévu dans une population européenne, cette population d'étude avait une incidence plus faible d'organismes produisant de la β-lactamase que d'habitude dans les essais américains. Dans cette étude utilisant des critères d'évaluation très stricts et des critères de réponse microbiologique et clinique aux 10 à 16 jours après le suivi du suivi suivant de l'éradication bactérienne / guérison clinique (c'est-à-dire un succès clinique): c'est obtenu:
Étude européenne de l'otite moyenne aiguë CEFProzil vs médicament témoin contenant de l'inhibiteur de la β-lactamase
| EFFICACITÉ | ||
| Pathogène | % des cas de pathogène (n=47) | Résultat |
| Saint-Pneumoniae | 51,0% | Cefprozil équivalent au contrôle |
| H. grippe | 29,8% | Cefprozil équivalent au contrôle |
| M. catarrhalis | 6,4% | Cefprozil équivalent au contrôle |
| S. pyogenes | 12,8% | Cefprozil équivalent au contrôle |
| Dans l'ensemble | 100,0% | Cefprozil équivalent au contrôle |
Sécurité
L'incidence des événements indésirables dans le bras de Cefprozil était comparable à l'incidence des événements indésirables dans le bras témoin (agent qui contenait un inhibiteur spécifique de la β-lactamase).
Références
Tri Sprintec Effets secondaires Gain de poids
1. Comité national pour les normes de laboratoire clinique. Méthodes de dilution Tests de sensibilité aux antimicrobiens pour les bactéries qui se développent aérobie -Tième édition. Document NCCLS standard approuvé M7-A3 Vol. 13 n ° 25 NCCLS Villanova PA décembre
2. Comité national pour les normes de laboratoire clinique. Méthodes de test de sensibilité aux antimicrobiens des bactéries anaérobies -Tième édition. Document standard NCCLS approuvé M11-A3 Vol. 13 n ° 26 NCCLS Villanova PA décembre
3. Comité national pour les normes de laboratoire clinique. Normes de performance pour les tests de sensibilité aux disques antimicrobiens -Fifth Edition. Document NCCLS standard approuvé M2-A5 Vol. 13 No. 24 NCCLS Villanova PA Décembre 1993.
Informations sur les patients pour Cefzil
Phénylketonurics: Cefzil (cefprozil) pour la suspension orale contient de la phénylalanine 28 mg par 5 ml (1 cuillère à café) constituée par la suspension pour les formes de dosage de 125 mg / 5 ml et 250 mg / 5 ml.
Les patients doivent être informés que les médicaments antibactériens, y compris le CEFZIL (CEFProzil), ne doivent être utilisés que pour traiter les infections bactériennes. Ils ne traitent pas les infections virales (par exemple, le rhume). Lorsque cefzil (cefprozil) est prescrit pour traiter une infection bactérienne, il faut dire que, bien qu'il soit courant de se sentir mieux au début de la thérapie, le médicament doit être pris exactement comme indiqué. Sauter les doses ou ne pas terminer le cours complet du traitement peut (1) diminuer l'efficacité du traitement immédiat et (2) augmenter la probabilité que les bactéries développent une résistance et ne seront pas traitées par Cefzil (Cefprozil) ou d'autres médicaments antibactériens à l'avenir.
La diarrhée est un problème courant causé par les antibiotiques qui se termine généralement lorsque l'antibiotique est interrompu. Parfois, après avoir commencé le traitement avec des antibiotiques, les patients peuvent développer des selles aqueuses et sanglantes (avec ou sans crampes d'estomac et fièvre) même aussi tard que deux mois ou plus après avoir pris la dernière dose de l'antibiotique. Si cela se produit, les patients doivent contacter leur médecin dès que possible.