Les Informations Présentées Sur Ce Site Ne Constituent Pas Un Avis Médical. Nous Ne Vendons Rien. L'Exactitude De La Traduction N'Est Pas Garantie. Clause De Non-Responsabilité



Monodox

Résumé

Qu'est-ce que monodox?

Monodox (monohydrate de doxycycline) est un antibiotique de tétracycline utilisé pour traiter de nombreuses infections bactériennes différentes telles que les infections des voies urinaires blennorragie et la chlamydia parodontite (maladie des gencives) et autres. Monodox est également utilisé pour traiter les imperfections et les lésions de type acné causées par la rosacée (mais ne traitera pas les rougeurs faciales causées par la rosacée). Monodox est disponible en générique formulaire.

Quels sont les effets secondaires de monodoxes?

Les effets secondaires courants du monodox comprennent:



  • maux d'estomac
  • diarrhée
  • nausée
  • vomissement
  • éruption cutanée ou démangeaisons ou
  • démangeaisons vaginales ou décharge.

Dites à votre médecin si vous avez des effets secondaires graves de monodoxes, notamment:



  • Sunburn (sensibilité au soleil)
  • avallures douloureuses ou difficiles ou
  • changements dans la quantité d'urine.

Cherchez des soins médicaux ou appelez le 911 à la fois si vous avez les effets secondaires graves suivants:

  • Des symptômes oculaires graves tels que la perte de vision soudaine floue du tunnel de vision de la vision de la vision des yeux ou de l'enflure ou de voir des halos autour des lumières;
  • Symptômes cardiaques graves tels que les battements cardiaques rapides ou battants; flotter dans votre poitrine; essoufflement; et des étourdissements soudains étourdisseurs ou s'évanouissant;
  • Maux de tête sévères Confusion Slurred Speech Bras ou Ligne Proulitude Trouble de la merde Perte de coordination Sentiment des muscles très rigides très rigides Fièvre élevée Propice ou des tremblements.

Ce document ne contient pas tous les effets secondaires possibles et d'autres peuvent survenir. Vérifiez auprès de votre médecin des informations supplémentaires sur les effets secondaires.



Baclofène 10 mg effets secondaires de comprimé

Posologie pour monodox

La dose habituelle de monodoxes adultes est de 200 mg le premier jour de traitement (100 mg toutes les 12 heures ou 50 mg toutes les 6 heures) et une dose d'entretien de 100 mg / jour. La dose de maintenance peut être prise en une dose unique ou à 50 mg toutes les 12 heures. La dose recommandée pour les patients pédiatriques pesant 100 livres ou moins est de 2 mg / lb de poids corporel divisé en deux doses le premier jour de traitement suivie de 1 mg / lb de poids corporel donné en une seule dose quotidienne ou divisée en deux doses les jours suivants.

Quelles substances ou suppléments de médicaments interagissent avec monodoxes?

Monodox peut interagir avec cholestérol -Les médicaments d'isotrétinoïne Trétinoïne antiacides subsalicylate subsalicylate (par exemple les antibiotiques ou minéraux de la pénicilline de la pénicilline tels que le magnésium de calcium en zinc en fer et les suppléments de vitamines en vente libre. Dites à votre médecin tous les médicaments et suppléments que vous prenez.

Monodox pendant la grossesse ou l'allaitement

Monodox n'est pas recommandé pour une utilisation pendant la grossesse. Cela peut nuire à un fœtus. Utilisez des formes fiables de contraception tout en prenant ce médicament. Ce médicament passe dans le lait maternel, mais il est peu probable qu'il nuise à un nourrisson infirmier. Consultez votre médecin avant l'allaitement.

Informations Complémentaires

Notre centre de médicaments sur les effets secondaires monodoxes (doxycycline monohydrate) offre une vue complète des informations sur les médicaments disponibles sur les effets secondaires potentiels lors de la prise de ce médicament.

Informations sur les médicaments de la FDA

Description du monodox

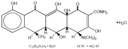
La doxycycline est un antibactérien à large spectre dérivé synthétiquement de l'oxytétracycline. Les capsules monodoxes 100 mg 75 mg et 50 mg contiennent une doxycycline monohydrate équivalente à 100 mg 75 mg ou 50 mg de doxycycline pour l'administration orale. La désignation chimique de la poudre cristalline jaune légère est l'alpha-6-désoxy-5-oxytétracycline.

Formule structurelle:

La doxycycline a un degré élevé de solubilité lipidique et une faible affinité pour la liaison au calcium. Il est très stable dans le sérum humain normal. La doxycycline ne se dégradera pas en une forme épianhydro.

Ingrédients inertes: dioxyde de silicium colloïdal; stéarate de magnésium; cellulose microcristalline; glycolate d'amidon de sodium; et une capsule de gélatine dure qui contient du dioxyde de titane en fer à l'oxyde de fer noir et de l'oxyde de fer jaune pour les 100 mg et 7 5 mg de dioxyde de titane et d'oxyde de fer jaune pour la résistance de 50 mg. Les capsules sont imprimées avec de l'encre comestible contenant de l'oxyde de fer rouge en fer noir et de l'oxyde de fer jaune pour les incontournables de 50 mg et 100 mg et l'oxyde de fer noir FD

Utilisations pour monodoxes

Pour réduire le développement de bactéries résistantes aux médicaments et maintenir l'efficacité des capsules de doxycycline et d'autres médicaments antibactériens, des capsules de doxycycline doivent être utilisées uniquement pour traiter ou prévenir les infections qui sont prouvées ou fortement suspectées comme causées par des bactéries sensibles. Lorsque des informations sur la culture et la sensibilité sont disponibles, elles doivent être prises en compte dans la sélection ou la modification de la thérapie antibactérienne. En l'absence de telles données, les modèles d'épidémiologie et de sensibilité locaux peuvent contribuer à la sélection empirique de la thérapie.

La doxycycline est indiquée pour le traitement des infections suivantes:

  • Rocky Mountain a repéré la fièvre de la fièvre et la fièvre du Typhus Group Q Rickettsialpox et les fièvres des ticles causées par Rickettsiae.
  • Infections des voies respiratoires causées par Mycoplasma pneumoniae.
  • Lymphogranulome vénérem causé par Chlamydia trachomatis.
  • Psittacose (ornithose) causée par Chamydophila psittaci .
  • Trachome causé par Trachomes de chlamydia Bien que l'agent infectieux ne soit pas toujours éliminé tel qu'il est jugé par immunofluorescence.
  • Inclusion conjonctivite causée par Chlamydia trachomatis.
  • Infections endocervicales ou rectales urétrales non compliquées chez les adultes causés par Trachomes de chlamydia .
  • Urétrite non -ococcique causée par Ureaplasma urealyticum .
  • De la fièvre rechute en raison de Borrelia récurrente.

La doxycycline est également indiquée pour le traitement des infections causées par les micro-organismes Gram négatifs suivants:

  • Chancreau causé par Haemophilus Ducreyi.
  • Fléau en raison de Yersinia pestis.
  • Tolamia en raison de Francisella tularensis.
  • Choléra causé par Vibrio cholerae .
  • Infections du fœtus de Campylobacter causées par Campylobacter Fetus.
  • Brucellose due à Espèces de brucella (en conjonction avec la streptomycine).
  • Bartonellose due à Bartonella bacilliformis.
  • Granulome inguinale causé par Klebsiella granulomatis .

Parce que de nombreuses souches des groupes suivantes de micro-organismes se sont révélées résistantes à la culture de la doxycycline et aux tests de sensibilité sont recommandés.

La doxycycline est indiquée pour le traitement des infections causées par les micro-organismes Gram négatifs suivants lorsque les tests bactériologiques indiquent une sensibilité appropriée au médicament:

  • Ils ont fait preuve de froid
  • Enterobacter Aerogenes
  • Espèces de Shigella
  • Espèces d'Acinetobacter
  • Infections des voies respiratoires causées par Haemophilus influenzae .
  • Infections des voies respiratoires et des voies urinaires causées par Espèces de Klebsiella .

La doxycycline est indiquée pour le traitement des infections causées par les micro-organismes Gram positifs suivants lorsque les tests bactériologiques indiquent une sensibilité appropriée au médicament:

  • Infections respiratoires supérieures causées par Streptococcus pneumoniae .
  • Anthrax en raison de Bacillus anthracis y compris l'anthrax inhalatoire (post-exposition): pour réduire l'incidence ou la progression de la maladie après l'exposition à l'aérosolique Bacillus anthracis.

Lorsque la pénicilline est contre-indiquée, la doxycycline est un médicament alternatif dans le traitement des infections suivantes:

  • Gonorrhée non compliquée causée par Neisseria gonorrhoeae.
  • Syphilis causée par Treponema pâle.
  • Faire des fesses causées par Treponème pâle sous-espèce appartient.
  • Listériose due à Listeria monocytogenes .
  • L'infection de Vincent causée par Fusobacterium fusiforme .
  • Actinomycose causée par Actinomyces israélii.
  • Infections causées par Clostridium espèces.

Dans l'amibiase intestinale aiguë, la doxycycline peut être un complément utile aux amebicides.

Dans la doxycycline à l'acné sévère, peut être une thérapie complémentaire utile.

Posologie pour monodox

La dose et la fréquence habituelles d'administration de la doxycycline diffère de celle des autres tétracyclines. Le dépassement de la dose recommandée peut entraîner une incidence accrue des effets secondaires.

Adultes

La dose habituelle de doxycycline orale est de 200 mg le premier jour de traitement (administrée 100 mg toutes les 12 heures ou 50 mg toutes les 6 heures) suivie d'une dose d'entretien de 100 mg / jour. La dose de maintenance peut être administrée sous forme de dose unique ou de 50 mg toutes les 12 heures. Dans la gestion d'infections plus graves (en particulier les infections chroniques des voies urinaires), 100 mg toutes les 12 heures sont recommandées.

Patients pédiatriques

Pour tous les patients pédiatriques pesant moins de 45 kg avec des infections sévères ou mortelles (par exemple, la fièvre tachetée de la montagne rocheuse Anthrax), le dosage recommandé est de 2,2 mg / kg de poids corporel administré toutes les 12 heures. Les enfants pesant 45 kg ou plus devraient recevoir la dose des adultes (voir Avertissements et précautions ).

Pour les patients pédiatriques atteints d'une maladie moins grave (plus de 8 ans et pesant moins de 45 kg), le calendrier posologique recommandé est de 4,4 mg par kg de poids corporel divisé en deux doses le premier jour de traitement suivi d'une dose d'entretien de 2,2 mg par kg de poids corporel (donné en une seule dose quotidienne ou divisée en deux fois doses quotidiennes). Pour les patients pédiatriques pesant plus de 45 kg, la dose habituelle de l'adulte doit être utilisée.

L'activité sérique antibactérien thérapeutique persistera généralement pendant 24 heures après le dosage recommandé.

Lorsqu'il est utilisé dans les infections streptococciques, la thérapie doit être poursuivie pendant 10 jours.

Administration of adequate amounts of fluid along with capsule and tablet forms of drugs in the tetracycline class is recommended to wash down the drugs and reduce the risk of esophageal irritation and ulceration (see Effets indésirables ).

Si une irritation gastrique se produit, il est recommandé de donner à la doxycycline avec de la nourriture ou du lait. L'absorption de la doxycycline n'est pas nettement influencée par l'ingestion simultanée de nourriture ou de lait.

À ce jour, des études ont indiqué que l'administration de doxycycline aux doses habituelles recommandées ne conduit pas à une accumulation excessive de doxycycline chez les patients souffrant de troubles rénaux.

Infections gonococciques non compliquées chez les adultes (sauf les infections anorectales chez les hommes)

100 mg par bouche deux fois par jour pendant 7 jours. Comme une autre dose de visite unique administre 300 mg de statistique a suivi en une heure par une seconde dose de 300 mg.

Épididymo-orchite aiguë causée par N. gonorrhoeae

100 mg par bouche deux fois par jour pendant au moins 10 jours.

Syphilis primaire et secondaire

300 mg par jour en doses divisées pendant au moins 10 jours.

Combien de boswellia dois-je prendre

Infection endocervicale ou rectale urétrale non compliquée chez les adultes causés par la chlamydia trachomatis

100 mg par bouche deux fois par jour pendant au moins 7 jours.

Urétrite non -ococcique causée par C. trachomatis et U. urealyticum

100 mg par bouche deux fois par jour pendant au moins 7 jours.

Épididymo-orchite aiguë causée par C. trachomatis

100 mg par bouche deux fois par jour pendant au moins 10 jours.

Anthrax inhalationnel (post-exposition)

Adultes

100 mg de doxycycline par bouche deux fois par jour pendant 60 jours.

ENFANTS

Pesant moins de 45 kg 2,2 mg / kg de poids corporel par la bouche deux fois par jour pendant 60 jours. Les enfants pesant 45 kg ou plus devraient recevoir la dose des adultes.

Comment fourni

Doxycycline Capsules USP 50 mg ont un corps opaque blanc avec un capuchon opaque en ivoire imprimé avec CE de plus de 410 à l'encre noire sur le capuchon et imprimé 50 sur Mg à l'encre noire sur le corps. Chaque capsule contient une doxycycline monohydrate équivalente à 50 mg de doxycycline.

Doxycycline Capsules USP 50 mg est disponible en:

  • Bouteilles de 100 capsules - NDC 62135-260-01

Doxycycline Capsules USP 75 mg ont un corps opaque blanc avec un capuchon opaque brun imprimé avec CE sur 412 à l'encre blanc sur capuchon et imprimé 75 sur Mg à l'encre noire sur le corps. Chaque capsule contient une doxycycline monohydrate équivalente à 75 mg de doxycycline.

Doxycycline Capsules USP 75 mg est disponible en:

  • Bouteilles de 100 capsules - NDC 62135-261-01

Doxycycline Capsules USP 100 mg ont un corps opaque en ivoire avec un capuchon opaque brun imprimé avec CE de plus de 411 à l'encre blanche sur un capuchon et imprimé 100 sur Mg à l'encre noire sur le corps. Chaque capsule contient une doxycycline monohydrate équivalente à 100 mg de doxycycline.

Doxycycline Capsules USP 100 mg est disponible en:

  • Bouteilles de 20 capsules - NDC 62135-262-20
  • Bouteilles de 50 capsules - NDC 62135-262-50
  • Bouteilles de 60 capsules - NDC 62135-262-60
  • Bouteilles de 250 capsules - NDC 62135-262-25

Doxycycline Capsules USP 150 mg ont un corps opaque brun avec un capuchon opaque brun imprimé avec CE sur 413 à l'encre blanc sur capuchon et imprimé 150 sur Mg à l'encre blanche sur le corps. Chaque capsule contient une doxycycline monohydrate équivalente à 150 mg de doxycycline.

Doxycycline Capsules USP 150 mg est disponible en:

  • Bouteilles de 60 capsules - NDC 62135-263-60

Conserver à 20 ° à 25 ° C (68 ° à 77 ° F) avec des excursions autorisées à 15 ° C à 30 ° C (59 ° à 86 ° F). [Voir la température ambiante contrôlée par l'USP.]

Dispenser dans un récipient étanche résistant à la lumière telle que définie dans l'USP / NF.

Fabriqué par: Chartwell Pharmaceuticals LLC. Congers NY 10920. Révisé: mars 2025

Effets secondaires pour monodox

En raison des effets absorbants de la doxycycline orale, de la doxycycline, de l'intestin inférieur, en particulier la diarrhée, ont été peu fréquents. Les effets indésirables suivants ont été observés chez les patients recevant des tétracyclines.

Gastro-intestinal

Anorexia nausea vomiting diarrhea glossitis dysphagia enterocolitis and inflammatory lesions (with monilial overgrowth) in the anogenital region and pancreatitis. Hepatotoxicity has been reported. These reactions have been caused by both the oral and parenteral administration of tetracyclines. Rare instances of esophagitis and esophageal ulcerations have been reported in patients receiving capsule and tablet forms of drugs in the tetracycline class. Most of these patients took medications immediately before going to bed (see Posologie et administration ).

Peau

Éruptions maculopapulaires et érythémateuses Syndrome de Stevens-Johnson Nécrolyse épidermique toxique érythème multiforme et éruption de médicament fixe ont été signalées. La dermatite exfoliative a été signalée mais est rare. La photosensibilité est discutée ci-dessus (voir Avertissements ).

Toxicité rénale

Une augmentation de Bun a été signalée et est apparemment liée à la dose (voir Avertissements ).

Réactions d'hypersensibilité

Urticaire angioneurotic œdème anaphylaxie anaphylactoïde purpura stéraille sérique péricardite et exacerbation du lupus érythémateux systémique.

Sang

L'anémie hémolytique thrombocytopénie neutropénie et l'éosinophilie ont été signalées avec des tétracyclines.

Psychiatrique

Dépression Anxiété Ideat suicidale Insomnie Rêves anormaux Hallucination

Autre

L'hypertension intracrânienne (IH pseudotumor cerebri) a été associée à l'utilisation de tétracyclines (voir PRÉCAUTIONS - Général ).

Lorsqu'ils ont été indiqués sur des périodes prolongées, des tétracyclines produisaient une décoloration microscopique brune-noir de la glande thyroïde. Il n'est pas connu aucune anomalie de la fonction thyroïdienne.

Interactions médicamenteuses pour monodoxes

Parce qu'il a été démontré que les tétracyclines dépriment l'activité plasmatique de la prothrombine, les patients sous traitement anticoagulant peuvent nécessiter un ajustement à la baisse de leur dosage anticoagulant.

Comment faire une libération immédiate de Hysingla

Étant donné que les médicaments bactériostatiques peuvent interférer avec l'action bactéricide de la pénicilline, il est conseillé d'éviter de donner des tétracyclines en conjonction avec la pénicilline.

L'absorption des tétracyclines est altérée par les antiacides contenant des préparations en aluminium ou en magnésium et contenant du fer.

L'absorption des tétracyclines est altérée par le subsalicylate du bismuth.

Les barbituriques carbamazépine et la phénytoïne diminuent la demi-vie de la doxycycline.

L'utilisation concomitante de la tétracycline peut rendre les contraceptifs oraux moins efficaces.

Avertissements for Monodox

The use of drugs of the tetracycline class including doxycycline during tooth development (last half of pregnancy infancy and childhood to the age of 8 years) may cause permanent discoloration of the teeth (yellow-gray-brown). This adverse reaction is more common during long-term use of the drugs but it has been observed following repeated short-term courses. Enamel hypoplasia has also been reported. Use of doxycycline in pediatric patients 8 years of age or less only when the potential benefits are expected to outweigh the risks in severe or life-threatening conditions (e.g. anthrax Rocky Mountain spotted fever) particularly when there are no alternative therapies.

Clostridium difficile La diarrhée associée (CDAD) a été signalée avec l'utilisation de presque tous les agents antibactériens, y compris les capsules de doxycycline et peut aller en gravité de la diarrhée légère à la colite mortelle. Le traitement avec des agents antibactériens modifie la flore normale du côlon conduisant à la prolifération de C. difficile .

Comment Belviq vous fait-il ressentir

C. difficile produit des toxines A et B qui contribuent au développement de la CDAD. Hypertoxine produisant des souches de C. difficile provoquer une morbidité et une mortalité accrues car ces infections peuvent être réfractaires en thérapie antimicrobienne et peuvent nécessiter une colectomie. La CDAD doit être considérée chez tous les patients qui présentent une diarrhée après une utilisation antibiotique. Des antécédents médicaux attentifs sont nécessaires car la CDAD se produirait sur deux mois après l'administration d'agents antibactériens.

Si la CDAD est suspectée ou confirmée l'utilisation d'antibiotiques en cours non dirigée contre C. difficile peut avoir besoin d'être interrompu. Supplémentation des protéines de fluide et d'électrolyte appropriée Traitement antibiotique de C. difficile et l'évaluation chirurgicale doit être instituée comme indiqué cliniquement.

L'hypertension intracrânienne (IH pseudotumor cerebri) a été associée à l'utilisation de tétracyclines, y compris des capsules de doxycycline. Les manifestations cliniques de l'IH incluent les maux de tête de la vision floue diplopie et la perte de vision; Papouleda peut être trouvé sur la fundoscopie. Les femmes d'âge de la prodionation de la poussée qui sont en surpoids ou qui ont des antécédents de l'IH sont plus à risque de développer une ih associée à la tétracycline. L'utilisation concomitante des capsules d'isotrétinoïne et de doxycycline doit être évitée car l'isotrétinoïne est également connue pour provoquer un cerébri pseudotumor.

Bien que IH résout généralement après l'arrêt du traitement, la possibilité de perte visuelle permanente existe. Si une perturbation visuelle se produit pendant le traitement, une évaluation ophtalmologique est justifiée. Étant donné que la pression intracrânienne peut rester élevée pendant des semaines après l'arrêt du médicament, les patients doivent être surveillés jusqu'à ce qu'ils se stabilisent.

Toutes les tétracyclines forment un complexe de calcium stable dans tout tissu formant osseux. Une diminution du taux de croissance du péroné a été observée dans les prématures étant donné la tétracycline orale à des doses de 25 mg / kg toutes les six heures. Cette réaction s'est avérée réversible lorsque le médicament a été interrompu.

Les résultats des études animales indiquent que les tétracyclines traversent le placenta dans les tissus fœtaux et peuvent avoir des effets toxiques sur le fœtus en développement (souvent lié au retard du développement squelettique). Des preuves de toxicité de l'embryon ont été notées chez les animaux traités au début de la grossesse. Si une tétracycline est utilisée pendant la grossesse ou si le patient tombe enceinte tout en prenant ces médicaments, le patient doit être informé du risque potentiel pour le fœtus.

L'action antianabolique des tétracyclines peut provoquer une augmentation du BUN. À ce jour, les études indiquent que cela ne se produit pas avec l'utilisation de la doxycycline chez les patients présentant une fonction rénale altérée.

La photosensibilité manifestée par une réaction de coups de soleil exagérée a été observée chez certaines personnes prenant des tétracyclines. Les patients susceptibles d'être exposés à la lumière directe du soleil ou à la lumière ultraviolette doivent être informés que cette réaction peut se produire avec des médicaments de tétracycline et que le traitement devrait être interrompu à la première preuve de l'érythème cutané.

Des éruptions de médicaments fixes se sont produites avec la doxycycline et ont été associées à l'aggravation de la gravité lors des administrations ultérieures, notamment une éruption de médicament fixe bulle généralisée (voir les effets indésirables). Si des réactions cutanées graves se produisent, arrêtez immédiatement les capsules de doxycycline et instituent un traitement approprié.

Précautions for Monodox

Général

Comme pour les autres préparations antibactériennes, l'utilisation de ce médicament peut entraîner une prolifération d'organismes non sensibles, y compris des champignons. Si la surinfection se produit des capsules de doxycycline doit être interrompue et une thérapie appropriée instituée.

L'incision et le drainage ou d'autres procédures chirurgicales doivent être effectuées conjointement avec un traitement antibactérien lorsque vous êtes indiqué.

La prescription de capsules de doxycycline en l'absence d'une infection bactérienne éprouvée ou fortement suspectée ou d'une indication prophylactique ne profite pas au patient et augmente le risque de développement de bactéries résistantes au médicament.

Tests de laboratoire

Dans la maladie vénérienne, lorsque la syphilis coexistante est suspectée, un examen en champ noir doit être effectué avant le début du traitement et la sérologie sanguine se répétait mensuellement pendant au moins quatre mois.

Dans la thérapie à long terme, les évaluations périodiques de laboratoire des systèmes d'organes, y compris des études rénales et hépatiques hématopoïétiques, doivent être effectuées.

Interactions de test de médicament / de laboratoire

De fausses élévations des niveaux de catécholamine urinaire peuvent se produire en raison de l'interférence avec le test de fluorescence.

Carcinogenèse Mutagenèse A trouble de la fertilité

Des études à long terme chez les animaux pour évaluer le potentiel cancérigène de la doxycycline n'ont pas été menées. Cependant, il y a eu des preuves d'activité oncogène chez le rat dans des études avec une oxytétracycline antibactérienne (tumeurs surrénales et hypophysaires) et de la minocycline (tumeurs thyroïdiennes). De même, bien que les études de mutagénicité de la doxycycline n'aient pas été menées à des résultats positifs en in vitro Des tests de cellules de mammifères ont été signalés pour des antibactériens apparentés (oxytétracycline de tétracycline). La doxycycline administrée par voie orale à des niveaux de dosage aussi élevés que 250 mg / kg / jour n'a eu aucun effet apparent sur la fertilité des rats femelles. L'effet sur la fertilité masculine n'a pas été étudié.

Grossesse

Effets tératogènes

Grossesse Category D

Il n'y a pas d'études adéquates et bien contrôlées sur l'utilisation de la doxycycline dans l'exposition enceinte du premier trimestre à court terme. Il n'y a pas de données humaines disponibles pour évaluer les effets de la thérapie à long terme de la doxycycline chez les femmes enceintes telles que celles proposées pour le traitement de l'exposition à l'anthrax. Une revue d'experts des données publiées sur les expériences avec l'utilisation de la doxycycline pendant la grossesse par Teris - le système d'information tératogène - a conclu que les doses thérapeutiques pendant la grossesse ne représentent pas un risque tératogène substantiel (la quantité et la qualité des données ont été évaluées comme étant limitées), mais les données sont insuffisantes pour indiquer qu'il n'y a aucun risque. 1

Une étude cas-témoins (18515 mères de nourrissons atteints d'anomalies congénitales et 32804 mères de nourrissons sans anomalies congénitales) montre une association faible mais marginalement statistiquement significative avec des malformations totales et l'utilisation de la doxycycline à tout moment pendant la grossesse. (Soixante-trois [0,19%] des témoins et 56 [0,30%] des cas ont été traités avec une doxycycline.) Cette association n'a pas été observée lorsque l'analyse a été limitée au traitement maternel pendant la période d'organogenèse (c'est-à-dire dans les deuxième et troisième mois de gestation) à l'exception d'une relation marginale avec un défaut de tube neural basé sur deux cas exposés. 2

Une petite étude prospective de 81 grossesses décrit 43 femmes enceintes traitées pendant 10 jours avec de la doxycycline au début du premier trimestre. Toutes les mères ont déclaré que leurs nourrissons exposés étaient normaux à un an. 3

Travail et accouchement

L'effet des tétracyclines sur le travail et l'accouchement est inconnu.

Mères qui allaitent

Les tétracyclines sont excrétées dans le lait maternel, mais l'étendue de l'absorption des tétracyclines, y compris la doxycycline par le nourrisson allaité, n'est pas connue. L'utilisation à court terme par les femmes allaitantes n'est pas nécessairement contre-indiquée; Cependant, les effets d'une exposition prolongée à la doxycycline dans le lait maternel sont inconnus. 4 En raison du potentiel de réactions indésirables chez les nourrissons en soins infirmiers de la doxycycline, une décision doit être prise de cesser les soins infirmiers ou d'arrêter le médicament en tenant compte de l'importance du médicament pour la mère (voir Avertissements ).

Usage pédiatrique

Because of the effects of drugs of the tetracycline –class on tooth development and growth use doxycycline in pediatric patients 8 years of age or less only when the potential benefits are expected to outweigh the risks in severe or life-threatening conditions (e.g. anthrax Rocky Mountain spotted fever) particularly when there are no alternative therapies (see Avertissements et Posologie et administration ).

Références

1. Friedman JM et Polifka l'est. Effets tératogènes of Drugs. A Resource for Clinicians (Teris). Baltimore MD: The Johns Hopkins University Press: 2000: 149-195.

2. Cziezel AE et Rockenbauer M. Étude tératogène de la doxycycline. Obstet Gynecol 1997; 89: 524-528.

3. Horne Hw Jr. et Kundsin RB. Le rôle du mycoplasma chez 81 grossesses consécutives: une étude prospective. Int J Fertil 1980; 25: 315-317.

4. Hale T. Médicaments et lait mères . 9e édition. Amarillo TX: Pharmasoft Publishing 2000; 225-226.

Informations sur la surdose pour monodox

En cas de surdosage, interrompez les médicaments, traitez les mesures de soutien symptomatiquement et institut. La dialyse ne modifie pas la demi-vie sérique et il ne serait pas avantageux dans le traitement des cas de surdosage.

Contre-indications pour monodoxes

Ce médicament est contre-indiqué chez les personnes qui ont montré une hypersensibilité à l'une des tétracyclines.

Pharmacologie clinique for Monodox

Les tétracyclines sont facilement absorbées et sont liées aux protéines plasmatiques à des degrés divers. Ils sont concentrés par le foie dans la bile et excrétés dans l'urine et les excréments à des concentrations élevées sous une forme biologiquement active. La doxycycline est pratiquement complètement absorbée après l'administration orale.

Après une dose de 200 mg de monohydrate de doxycycline 24 volontaires adultes normaux, en moyenne les valeurs de concentration sérique suivantes:

Temps (HR): 0.5 1.0 1.5 2.0 3.0 4.0 8.0 12.0 24.0 48.0 72.0
Concurrence 1.02 2.26 2.67 3.01 3.16 3.03 2.03 1.62 0.95 0.37 0,15 (μg / ml)
Valeurs observées moyennes
Concentration maximale 3,61 μg / ml (± 0,9 SD)
Temps de concentration maximale 2,60 h (± 1,10 ET)
Taux d'élimination constante 0,049 via HR (± 0,030 SD)
Demi-vie 16,33 heures (± 4,53 ET)

L'excrétion de la doxycycline par le rein est d'environ 40% / 72 heures chez les personnes ayant une fonction normale (autorisation de créatinine d'environ 75 ml / min). Ce pourcentage d'excrétion peut baisser aussi bas que 1 à 5% / 72 heures chez les personnes présentant une insuffisance rénale sévère (autorisation de créatinine inférieure à 10 ml / min). Des études n'ont montré aucune différence significative dans la demi-vie sérique de la doxycycline (plage de 18 à 22 heures) chez les personnes ayant une fonction rénale normale et gravement altérée.

L'hémodialyse ne modifie pas la demi-vie sérique.

Les résultats des études animales indiquent que les tétracyclines traversent le placenta et se trouvent dans les tissus fœtaux.

Analyse pharmacocinétique de la population des données de concentration clairsemées de la doxycycline à la suite de la norme de soins intraveineux et orale chez 44 patients pédiatriques (2-18 ans) ont montré que la clairance à l'échelle allométrique (CL) de la doxycycline chez les patients pédiatriques ≥2 à ≤ 8 ans de l'âge (plage] 3.58 [2,27-10-10,82] n'a pas différé de manière significative des patients pédiatriques> 8 à 18 ans (NULL,27 [1,11-8,12] L / H / 70 kg N = 33). Pour les patients pédiatriques pesant ≤45 kg de poids corporel Doxycycline Cl dans ceux ≥2 à ≤8 ans (médiane [plage] 0,071 [0,041-0,202] L / kg / h n = 10) n'a pas différé de manière significative de celles> 8 à 18 ans (NULL,081 [0,035-0.126] l / kg / h n = 8). Chez les patients pédiatriques pesant> 45 kg, aucune différence cliniquement significative dans le poids corporel de la doxycycline normalisée CL a été observée entre celles ≥2 à ≤8 ans (NULL,050 L / kg / h n = 1) et celles> 8 à 18 ans (NULL,044 [0,014-0,121] l / kg / h n = 25). Aucune différence cliniquement significative en CL entre le dosage oral et IV n'a été observée dans la petite cohorte de patients pédiatriques qui ont reçu la formulation orale (n = 19) ou IV (n = 21) seule.

Microbiologie

Mécanisme d'action

Doxycycline inhibits bacterial protein synthesis by binding to the 30S ribosomal subunit. Doxycycline has bacteriostatic activity against a broad range of Gram-positive et Gram-negative bacteria.

Résistance

La résistance croisée avec d'autres tétracyclines est courante.

L arginine 5 grammes par jour
Activité antimicrobienne

Doxycycline has been shown to be active against most isolates of the following microorganisms both in vitro et in clinical infections (see Indications ).

Bactéries à Gram négatif

Acinetobacter espèces
Bartonella bacilliformis
Brucella espèces
Fœtus de Campylobacter
Enterobacter Aerogenes
Ils ont fait preuve de froid
Francisella tularensis
Haemophilus Ducreyi
Haemophilus influenzae
Klebsiella granulomatis
Klebsiella espèces
Neisseria gonorrhoeae
Shigella espèces
Vibrio cholerae
Yersinia pestis

Bactéries à Gram positif

Bacillus anthracis
Listeria monocytogenes
Streptococcus pneumoniae

Bactéries anaérobies

Clostridium espèces
Fusobacterium fusiforme
Propionibacterium acnes

Autre Bacteria

Nocardiae et other Actinomyces espèces
Borrelia récurrente
Chamydophila psittaci
Trachomes de chlamydia
Mycoplasma pneumoniae
Rickettsiae
Treponème pâle
Treponème pâle sous-espèce appartenance
Ureaplasma urealyticum

Parasites

Balantidium coli
Entamoeba espèces

Test de sensibilité

Pour des informations spécifiques concernant les critères d'interprétation des tests de sensibilité et les méthodes de test associées et les normes de contrôle de la qualité reconnues par la FDA pour ce médicament, veuillez consulter: https://www.fda.gov/stic.

Pharmacologie des animaux et toxicologie animale

Hyperpigmentation of the thyroid has been produced by members of the tetracycline class in the following species: in rats by oxytetracycline doxycycline tetracycline PO4 and methacycline; in minipigs by doxycycline minocycline tetracycline PO4 and methacycline; in dogs by doxycycline and minocycline; in monkeys by minocycline.

Minocycline tétracycline PO4 méthacycline doxycycline base de tétracycline oxytéétracycline HCl et hCl de tétracycline étaient gonsrogéniques chez le rat nourri d'un régime à faible iodine. Cet effet goitrogénique s'est accompagné d'une forte absorption d'iode radioactive. L'administration de minocycline a également produit un grand goitre avec une absorption élevée de radiodine chez le rat nourri d'un régime d'iode relativement élevé.

Treatment of various animal species with this class of drugs has also resulted in the induction of thyroid hyperplasia in the following: in rats and dogs (minocycline) in chickens (chlortetracycline) and in rats and mice (oxytetracycline). Adrenal gland hyperplasia has been observed in goats and rats treated with oxytetracycline.

Informations sur les patients pour monodox

Tous les patients prenant de la doxycycline doivent être informés:

  • Pour éviter la lumière du soleil excessive ou la lumière ultraviolette artificielle tout en recevant de la doxycycline et pour interrompre la thérapie si la phototoxicité (par exemple, les éruptions cutanées, etc.) se produit. L'écran solaire ou le bloc solaire doit être pris en compte (voir Avertissements ).
  • boire des liquides généreusement avec la doxycycline pour réduire le risque d'irritation et d'ulcération œsophagiennes (voir Effets indésirables ).
  • que l'absorption des tétracyclines est réduite lorsqu'elle est prise avec des aliments, en particulier celles qui contiennent du calcium. Cependant, l'absorption de la doxycycline n'est pas nettement influencée par l'ingestion simultanée de nourriture ou de lait (voir Interactions médicamenteuses ).
  • que l'absorption des tétracyclines est réduite lors de la prise de subsalicylate de bismuth (voir Interactions médicamenteuses ).
  • ne pas utiliser la doxycycline obsolète ou mal stockée.
  • que l'utilisation de la doxycycline pourrait augmenter l'incidence de la candidose vaginale.

La diarrhée est un problème courant causé par les antibiotiques qui se termine généralement lorsque l'antibiotique est interrompu. Parfois, après avoir commencé le traitement avec des antibiotiques, les patients peuvent développer des selles aqueuses et sanglantes (avec ou sans crampes d'estomac et fièvre) même aussi tard que deux mois ou plus après avoir pris la dernière dose de l'antibiotique. Si cela se produit, les patients doivent contacter leur médecin dès que possible.

Les patients doivent être informés que les médicaments antibactériens, y compris les capsules de doxycycline, ne doivent être utilisés que pour traiter les infections bactériennes. Ils ne traitent pas les infections virales (par exemple le rhume). Lorsque des capsules de doxycycline sont prescrites pour traiter une infection bactérienne, les patients doivent être informés que, bien qu'il soit courant de se sentir mieux au début du traitement, le médicament doit être pris exactement comme indiqué. Sauter les doses ou ne pas terminer le cours complet du traitement peut (1) diminuer l'efficacité du traitement immédiat et (2) augmenter la probabilité que les bactéries développent une résistance et ne seront pas traitables par des capsules de doxycycline ou d'autres médicaments antibactériens à l'avenir.