Les Informations Présentées Sur Ce Site Ne Constituent Pas Un Avis Médical. Nous Ne Vendons Rien. L'Exactitude De La Traduction N'Est Pas Garantie. Clause De Non-Responsabilité

Talicia

Résumé

Qu'est-ce que Talicia?

Talicia (magnésium oméprazole amoxicilline et rifabutin) est une combinaison à trois médicaments de:

  • un inhibiteur de la pompe à proton
  • a pénicilline -class antibactérien et
  • un antibactérien de rifamycine indiqué pour le traitement de Helicobacter pylori infection chez les adultes.

Quels sont les effets secondaires de Talicia?

Talicia

  • urticaire
  • difficulté à respirer
  • gonflement de ton visage lèvres langue ou gorge
  • fièvre
  • mal de gorge
  • Burning Eyes
  • douleur cutanée
  • éruption cutanée rouge ou violet avec des cloques et des pelage
  • douleur à l'estomac sévère
  • Diarrhée qui est aqueuse ou sanglante (même si elle se produit des mois après votre dernière dose)
  • étourdissement
  • ecchymoses faciles
  • saignement inhabituel
  • taches violettes ou rouges sous votre peau
  • Douleurs oculaires ou rougeur
  • problèmes de vision
  • voir des spots
  • Vos yeux peuvent être plus sensibles à la lumière
  • frissons
  • transpiration
  • fatigue
  • Les maux de corps
  • vomissement
  • douleur thoracique
  • toux
  • essoufflement
  • uriner plus ou moins que d'habitude
  • nausée
  • sang dans votre urine
  • confusion
  • gonflement
  • gain de poids rapide
  • Douleurs musculaires ou articulaires
  • symptômes de la grippe
  • douleur thoracique et
  • Couleur de peau téméraire ou patchy qui s'aggrave en lumière du soleil

Obtenez de l'aide médicale immédiatement si vous présentez l'un des symptômes énumérés ci-dessus.



Les effets secondaires de Talicia comprennent:

Cherchez des soins médicaux ou appelez le 911 à la fois si vous avez les effets secondaires graves suivants:

  • Des symptômes oculaires graves tels que la perte de vision soudaine floue du tunnel de vision de la vision de la vision des yeux ou de l'enflure ou de voir des halos autour des lumières;
  • Symptômes cardiaques graves tels que les battements cardiaques rapides ou battants; flotter dans votre poitrine; essoufflement; et des étourdissements soudains étourdisseurs ou s'évanouissant;
  • Maux de tête sévères Confusion Slurred Speech Bras ou Ligne Proulitude Trouble de la merde Perte de coordination Sentiment des muscles très rigides très rigides Fièvre élevée Propice ou des tremblements.

Ce document ne contient pas tous les effets secondaires possibles et d'autres peuvent survenir. Vérifiez auprès de votre médecin des informations supplémentaires sur les effets secondaires.

Dosage pour Talicia

Le dosage de Talicia est de quatre (4) capsules toutes les 8 heures avec de la nourriture pendant 14 jours.

Talicia chez les enfants

La sécurité et l'efficacité de Talicia chez les patients pédiatriques de moins de 18 ans avec une infection à H. pylori n'ont pas été établies.

Quelles substances ou suppléments de médicaments interagissent avec Talicia?

Talicia peut interagir avec d'autres médicaments tels que:

  • voriconazole
  • Mur de St. John's
  • rifampin
  • Ritonavir
  • fluconazole
  • posaconazole
  • itraconazole
  • clopidogrel
  • Citalopram
  • cilostazol
  • lable
  • diazépam
  • antirétroviral
  • inhibiteurs de la protéase
  • Probénécide
  • allopurinol
  • anticoagulants oraux
  • méthotrexate
  • digoxine
  • cyclosporine
  • disulfiram et
  • contraceptifs hormonaux

Dites à votre médecin tous les médicaments et suppléments que vous utilisez.

Talicia pendant la grossesse et l'allaitement

Dites à votre médecin si vous êtes enceinte ou prévoyez de devenir enceinte avant d'utiliser Talicia; Cela peut nuire à un fœtus. Les composantes de la rifabutine et de l'amoxicilline de Talicia interagissent avec les contraceptifs hormonaux entraînant des niveaux inférieurs de ces contraceptifs. Les patientes qui prennent des contraceptifs hormonaux doivent utiliser une méthode de contraception non hormonale supplémentaire lors de la prise de talicia. L'amoxicilline passe dans le lait maternel. L'oméprazole peut passer dans le lait maternel. On ne sait pas si la rifabutine passe dans le lait maternel. Consultez votre médecin avant l'allaitement.

Informations Complémentaires

Notre talice (oméprazole magnésium amoxicilline et rifabutine) capsules à libération retardée pour le centre de médicaments à usage oral offre une vue complète des informations sur les médicaments disponibles sur les effets secondaires potentiels lors de la prise de ce médicament.

Ce n'est pas une liste complète des effets secondaires et d'autres peuvent survenir. Appelez votre médecin pour des conseils médicaux sur les effets secondaires. Vous pouvez signaler les effets secondaires à la FDA au 1-800-FDA-1088.

Informations sur les médicaments de la FDA

Description de Talicia

Les capsules à libération retardée de talia contiennent l'amoxicilline de magnésium oméprazole et la rifabutine pour l'administration orale. Le magnésium de l'oméprazole est inclus dans le composant à libération retardée de la capsule et de l'amoxicilline et de la rifabutine sont inclus dans le composant à libération immédiate de la capsule. Chaque capsule à libération retardée contient:

  • oméprazole 10 mg (équivalent à 10,3 mg de magnésium de l'oméprazole)
  • amoxicilline 250 mg (equivalent to 286.9 mg of amoxicilline trihydrate)
  • Rifabutine 12,5 mg

L'oméprazole magnésium est un inhibiteur de la pompe à protons. L'amoxicilline et la rifabutine sont des médicaments antibactériens.

Chaque capsule à libération retardée Talicia contient les ingrédients inactifs suivants: Crospovidone FD

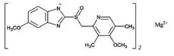
Magnésium oméprazole

L'oméprazole magnésium est une poudre blanche à blanc cassé avec un point de fusion avec une dégradation à 200 ° C. Le sel est légèrement soluble (NULL,25 mg / ml) dans l'eau à 25 ° C et il est soluble dans le méthanol. L'oméprazole magnésium est 5-méthoxy-2 - [((4-méthoxy-35-diméthyl-2-pyridyl) méthyl] sulfinyle] benzimidazole (RS) sel de magnésium (2: 1). L'oméprazole magnésium a une formule moléculaire de (c 17 H 19 N 3 O 3 S) 2 Mg et un poids moléculaire de 713,12. La formule structurelle est:

Amoxicilline

Amoxicilline is a semisynthetic antibactérien drug an analog of ampicillin. Chemically it is (2S5R6R)-6-[(R)(-)-2-amino-2-(p-hydroxyphenyl)acetamido]-33-dimethyl-7-oxo-4-thia-1-azabicyclo[3.2.0] heptane-2carboxylic acid trihydrate. Amoxicilline has a molecular formula of C 16 H 19 N 3 O 5 S • 3 h 2 O et un poids moléculaire de 419,45. La formule structurelle est:

Rifabutine

Rifabutine is a red-violet powder soluble in chloroform et methanol sparingly soluble in ethanol et very slightly soluble in water (0.19 mg/mL). Its log P value (the base 10 logarithm of the partition coefficient between n-octanol et water) is 3.2 (n-octanol/water).

Rifabutine is (9S12E14S15R16S17R18R19R20S21S22E24Z)-6-161820-tetrahydroxy-1'-isobutyl-14methoxy-791517192125-heptamethylspiro [94-(epoxypentadeca[11113]trienimino)-2Hfuro[2'3':78]naphth[12-d] imidazole-24'-piperidine]-51026-(3H9H)-trione-16-acetate. Rifabutine has a molecular formula of C 46 H 62 N 4 O 11 et a molecular weight of 847.02. The structural formula is:

Utilisations pour Talicia

Helicobacter pylori Infection

Talicia est indiqué pour le traitement de Helicobacter pylori infection chez les adultes [voir Études cliniques ].

Usage

Pour réduire le développement de bactéries résistantes aux médicaments et maintenir l'efficacité de la talice et d'autres médicaments antibactériens, les talicia ne devraient être utilisés que pour traiter ou prévenir les infections qui sont prouvées ou fortement suspectées comme causées par des bactéries sensibles. Lorsque des informations sur la culture et la sensibilité sont disponibles, elles doivent être prises en compte dans la sélection ou la modification de la thérapie antibactérienne. En l'absence de telles données, les modèles d'épidémiologie et de sensibilité locaux peuvent contribuer à la sélection empirique de la thérapie.

Dosage pour Talicia

Dosage recommandé

Administrer quatre (4) capsules Talicia trois fois par jour (au moins 4 heures d'intervalle, par exemple le matin et le soir) avec de la nourriture pendant 14 jours. Demandez aux patients d'avaler les capsules de talicia entières avec un verre d'eau complet (8 onces). Chaque dose (4 capsules) de talia comprend la rifabutine 50 mg d'amoxicilline 1000 mg et l'oméprazole 40 mg. N'écrasez pas ou ne mâchez pas les capsules Talicia. Ne prenez pas Talicia avec de l'alcool.

Doses manquées

  • Si une dose est manquée et que la dose suivante n'est pas dans les 4 heures d'administrer la dose manquée dès que possible.
  • Si une dose est manquée et que la dose suivante est dans les 4 heures d'administrer la dose manquée dès que possible et retarder la dose suivante pour s'assurer qu'il y a au moins 4 heures entre deux doses.

Comment fourni

Formes et forces posologiques

Chaque capsule à libération retardée talia contient de l'oméprazole 10 mg (équivalent à 10,3 mg de magnésium oméprazole) amoxicilline 250 mg et rifabutine 12,5 mg. Les capsules sont opaques orange avec RHB imprimé en noir sur le capuchon de capsule et 105 imprimés en noir sur la base de la capsule.

Stockage et manipulation

Talicia est fourni par une capsule opaque orange contenant de l'oméprazole 10 mg (équivalent au magnésium oméprazole 10,3 mg) amoxicilline 250 mg et à la rifabutine 12,5 mg avec du RHB imprimé en noir sur la capsule et 105 imprimés en noir sur le corps de la capsule. Les capsules talia sont fournies dans un carton contenant deux bouteilles de 84 capsules chacune.

NDC 57841-1150-1
NDC 57841-1150-2

Conserver à 20 ° C à 25 ° C (68 ° F à 77 ° F) [voir la température ambiante contrôlée par l'USP].

Stocker et dispenser dans un conteneur d'origine avec une fermeture résistante à l'enfant. Gardez la bouteille bien fermée.

Talicia is manufactured in Sweden for RedHill Biopharma Ltd. Tel Aviv Israel. Revised: May 2024

Effets secondaires for Talicia

Les réactions indésirables graves suivantes sont décrites ci-dessous et ailleurs dans l'étiquetage:

  • Réactions d'hypersensibilité [voir Avertissements et précautions ]
  • Réactions indésirables cutanées sévères [voir Avertissements et précautions ]
  • Syndrome d'entérocolite induit par le médicament (décède) [voir Avertissements et précautions ]
  • Clostridioides difficile - Diarrhée associée [voir Avertissements et précautions ]
  • Néphrite tubulo-interstitielle [voir Avertissements et précautions ]
  • Lupus érythémate cutané et systémique [voir Avertissements et précautions ]
  • Éruption cutanée chez les patients atteints de mononucléose [voir Avertissements et précautions ]
  • Uvéite [voir Avertissements et précautions ]

Expérience des essais cliniques avec Talicia

Étant donné que les essais cliniques sont menés dans des conditions de réaction indésirables très variables observées dans les essais cliniques d'un médicament ne peuvent pas être directement comparées aux taux dans les essais cliniques d'un autre médicament et ne peuvent pas refléter les taux observés dans la pratique.

La sécurité de Talicia a été évaluée chez des patients adultes qui ont été dépistés et jugés positifs pour H. pylori Infection dans un essai clinique contrôlé par actif (étude 1) et un essai clinique contrôlé par placebo (étude 2). Les patients ont reçu la talia amoxicilline et l'oméprazole ou le placebo toutes les huit heures pendant 14 jours consécutifs pris avec de la nourriture. Au total, 305 patients ont reçu des talicia dans les études 1 et 2 227 patients ont reçu de l'amoxicilline et de l'oméprazole (comme magnésium oméprazole) dans l'étude 1 et 41 patients ont reçu un placebo dans l'étude 2. Ces patients avaient un âge moyen de 46,4 ans (intervalle de 18 à 70 ans); 62,3% étaient des femmes 80,3% étaient blanches avec 64,2% hispaniques ou latinos.

Réactions indésirables conduisant à l'arrêt

L'arrêt du traitement dû à une réaction indésirable s'est produit dans 1% (4/305) des patients recevant des talicia <1% (1/227) of patients receiving amoxicilline et omeprazole et 2% (1/41) of patients receiving placebo. Adverse reactions leading to discontinuation of Talicia were nausée et vomissement nausée nasal congestion et nasopharyngitis in one patient each.

Les effets indésirables les plus courants

Des réactions indésirables sélectionnées survenant chez ≥ 1% des patients recevant des talicia dans les étude 1 et 2 sont décrites dans le tableau 1.

Tableau 1: Réactions indésirables sélectionnées survenant chez 1% ou plus des patients recevant des talices dans les études 1 et 2

Réaction indésirable Étude 1 Étude 2
Talicia
(N = 228)
n (%)
Amoxicilline et Oméprazole
(N = 227)
n (%)
Talicia
(N = 77)
n (%)
Placebo
(N = 41)
n (%)
Diarrhée 23 (10.1) 18 (7.9) 11 (14.3) 4 (9.8)
Mal de tête a 17 (NULL,5) 16 (7.0) 12 (15.6) 4 (9.8)
Nausée 11 (4.8) 12 (5.3) 3 (3.9) 1 (2.4)
Douleurs abdominales b 8 (3.5) 11 (4.8) 3 (3.9) 2 (4.9)
Chromaturie c 0 0 10 (13.0) 1 (2.4)
Éruption cutanée d 6 (2.6) 2 (NULL,9) 4 (5.2) 0
Dyspepsie e 5 (2.2) 3 (1.3) 1 (1.3) 0
Vomissement 5 (2.2) 5 (2.2) 1 (1.3) 2 (4.9)
Douleur oropharyngée 2 (NULL,9) 2 (NULL,9) 3 (3.9) 0
Candidose vulvovaginale f 5 (2.2) 5 (2.2) 0 0
a Mal de tête includes: mal de tête et migraine.
b Douleurs abdominales includes: douleurs abdominales douleurs abdominales upper et douleurs abdominales lower.
c La riboflavine a été administrée dans l'étude 1 pour éviter l'inclinaison involontaire et peut avoir contribué à la sous-déclaration de la chromaturie.
d Éruption cutanée includes: éruption cutanée éruption cutanée maculo-papular éruption cutanée morbilliform et urticaria.
e Dyspepsie includes: dyspepsia et epigastric discomfort.
f Candidose vulvovaginale includes: vulvovaginal cetidiasis vulvovaginal mycotic infection fungal infection et vaginal discharge +vulvovaginal burning sensation + vulvovaginal pruritus.

Autres réactions indésirables importantes de l'étiquetage des composantes individuelles de Talicia

Les effets indésirables supplémentaires qui se sont produits dans 1% ou plus des patients traités avec de l'oméprazole ou de la rifabutine seuls dans les essais cliniques étaient les suivants:

Oméprazole

Platulence Acid Régurgitation Infection respiratoire supérieure Constipation Vernitude Asthénie Pain de dos et toux.

Rifabutine

Flatulences asthénie poitrine poitrine paince de la poitrine de la leucopénie anémie anorexie éructation myalgie insomnie et perversion goûtée.

Les réactions indésirables sélectionnées suivantes se sont produites chez moins de 1% des patients traités par la rifabutine: syndrome de la grippe hépatite hépatite hémolyse arthralgia myosite dyspnée décoloration cutanée thrombocytopénie pancytopénie et jaunisse.

Expérience post-marketing avec des composantes de Talicia

Parce que ces réactions sont volontairement rapportées dans une population de taille incertaine, il n'est pas toujours possible d'estimer de manière fiable leur fréquence réelle ou d'établir une relation causale à l'exposition au médicament.

Oméprazole

Cardiovasculaire: poitrine de poitrine tachycardie bradycardie palpitations élevées œdème périphérique de la pression artérielle

Endocrine: gynécomastie

Gastro-intestinal: pancréatite comprenant la pancréatite mortelle anorexie irritable du côlon divoloration atrophie muqueuse de la langue stomatite gonflante abdominale de la bouche sèche microscopique colite de glande func

Hépatique: insuffisance hépatique mortelle ou nécrose encéphalopathie hépatocellulaire maladie cholestatique maladie d'hépatite mélangée

Métabolisme et troubles nutritionnels: Hypoglycémie hypomagnésémie avec ou sans hypocalcémie et / ou hypoprémie Hyponatrémie

Musculo-squelette: faiblesse musculaire myalgie crampes musculaires de la douleur articulaire Pain de la jambe osseuse Fracture.

Système nerveux / psychiatrique: Dépression Agitation Agression Hallucinations Confusion Insomnie Nervance APATHY SOMNOLENCE ANXIET

Respiratoire: épistaxis

Troubles de la peau et des tissus sous-cutanés: Cicatrice comme sjs dix robes Agep Photosensibilité urticaria prurit de petechiae purpura alopécie cutané sèche hyperhidrose

Sens spéciaux: Perversion du goût des acouphènes

Oculaire: Atrophie optique Neurite optique Syndrome de la sécheresse oculaire oculaire Oculaire Vision floue Double vision

Urogénital: Hématurie protéinurie élevée sérique créatinine microscopique pyurie infection des voies urinaires glycosurie fréquence urinaire douleur testiculaire dysfonction érectile

Hématologique: Agranulocytose Anemie hémolytique pancytopénie neutropénie anémie thrombocytopénie leucoopénie leucocytose

Amoxicilline

Gastro-intestinal: Syndrome d'entérocolite induit

Foie: dysfonction hépatique cholestatique cholestase hépatite cytolytique aiguë

Rénal: cristalluria [voir Surdosage ]

Systèmes hémiques et lymphatiques: anémie hémolytique anémie thrombocytopénie thrombocytopénique purpura eosinophilia leukopénie et agranulocytose

Système nerveux central: Hyperactivité Agitation Anxiété d'insomnie Convulsions Confusion Asseptique Méningite Asseptique Changements de comportement et / ou étourdissements

Troubles de la peau et des tissus sous-cutanés:

Rifabutine

Troubles du système sanguin et lymphatique: Agranulocytose lymphopénie

Troubles de la peau et des tissus sous-cutanés: Cicatrice comme SJS Ten Dress et Agep.

Interactions médicamenteuses for Talicia

Interactions avec d'autres médicaments et diagnostics

Les études d'interaction médicamenteuses avec Talicia n'ont pas été menées. Les informations sur l'interaction médicamenteuse décrites ici sont basées sur les informations prescriptions des composantes de Talicia individuelles: l'oméprazole amoxicilline et la rifabutine.

Rifabutine is a substrate et inducer of cytochrome P450 (CYP) 3A enzymes. Oméprazole is a substrate et an inhibitor of CYP2C19 et a substrate of CYP3A4. Co-administration of Talicia et other drugs that are substrates inhibitors or inducers of these enzymes may alter concentrations of rifabutin/omeprazole or other co-administered drugs [See Table 2 below et Pharmacologie clinique ].

métronidazole et amoxicilline ensemble effets secondaires

Oméprazole magnesium is a PPI. Refer to the prescribing information of the drugs used concomitantly with Talicia for further information on their interactions with PPIs.

Tableau 2: Interactions avec Talicia lorsqu'il est co-administré avec d'autres médicaments et diagnostics

Inducteurs CYP2C19 ou CYP3A4
Impact clinique Une diminution de l'exposition de l'oméprazole lorsqu'elle est utilisée en concomitance avec de forts inducteurs.
Prévention ou gestion Saint-John’s Wort Rifampin: Évitez une utilisation concomitante avec Talicia [voir Avertissements et précautions ].
Produits contenant du ritonavir: Voir les informations de prescription pour des médicaments spécifiques.
Inhibiteurs du CYP2C19 ou du CYP3A4
Impact clinique Augmentation des taux sanguins d'oméprazole et de rifabutine.
Prévention ou gestion Voriconazole: L'utilisation concomitante avec Talicia est contre-indiquée [voir Contre-indications ].
Fluconazole posaconazole et itraconazole: Évitez l'utilisation concomitante avec Talicia. Si la co-administration ne peut pas être évitée, surveillez les patients pour les événements indésirables associés à la rifabutine et le manque d'efficacité antifongique.
Substrats CYP2C19 (par exemple Clopidogrel Citalopram Cilostazol phénytoine diazépam)
Impact clinique Augmentation des concentrations plasmatiques de médicaments de substrat CYP2C19 ou diminution / augmentation des concentrations plasmatiques de ses métabolites actifs [voir Pharmacologie clinique ].
Prévention ou gestion Clopidogrel: Envisagez l'utilisation d'une thérapie anti-plaquettes alternative [voir Avertissements et précautions ]. Avoid concomitant use with Talicia.
Protéase antirétrovirale / inhibiteurs
Impact clinique

Les inhibiteurs antirétroviraux / protéases peuvent augmenter les taux sanguins de la rifabutine.
L'effet des IPP (comme l'oméprazole dans les talicia) sur les médicaments antirétroviraux est variable. L'importance clinique et les mécanismes derrière ces interactions ne sont pas toujours connus.

  • La diminution de l'exposition de certains médicaments antirétroviraux (par exemple le rilpivirine atazanavir et le nefinavir) lorsqu'il est utilisé en concomitance avec l'oméprazole peut réduire l'effet antiviral et favoriser le développement de la résistance aux médicaments [voir Pharmacologie clinique ].
  • Une exposition accrue d'autres médicaments antirétroviraux (par exemple le saquinavir) lorsqu'il est utilisé concomitamment avec l'oméprazole peut augmenter la toxicité [voir Pharmacologie clinique ].

Il existe d'autres médicaments antirétroviraux qui n'entraînent pas d'interactions cliniquement pertinentes avec l'oméprazole.

Prévention ou gestion t

Delavirdine: Le traitement combiné avec Talicia et Delavirdine est contre-indiqué [voir Contre-indications ].

Produits contenant du rilpiririne: L'utilisation concomitante avec Talicia est contre-indiquée [voir Contre-indications ].

Évitez l'utilisation concomitante de talicia avec l'ampprenavir indinavir lopinavir / ritonavir saquinavir / ritonavir ritonavir tipranavir / ritonavir fosamprénavir / ritonavir ou nelfinavir [voir Avertissements et précautions ]. Other antirétroviral: See prescribing information for specific antiretroviral drugs.

Probénécide
Impact clinique Augmentation des taux sanguins et prolongés d'amoxicilline.
Allopurinol
Impact clinique Une augmentation de l'incidence des éruptions cutanées est rapportée chez les patients recevant à la fois l'allopurinol et l'amoxicilline par rapport aux patients recevant de l'amoxicilline seule. On ne sait pas si cette potentialisation des éruptions cutanées d'amoxicilline est due à l'allopurinol ou à l'hyperuricémie présente chez ces patients.
Prévention ou gestion t Arrêtez l'allopurinol à la première apparition d'une éruption cutanée. Évaluer le risque de prestations du traitement continu des talicia.
Warfarine et autres anticoagulants oraux
Impact clinique

Une prolongation anormale du temps de prothrombine (augmentation du rapport normalisé international [INR]) a été signalée chez les patients recevant de l'amoxicilline et des anticoagulants oraux et chez les patients recevant des IPP, y compris l'oméprazole et la warfarine concomitante.

Les augmentations de l'INR et du temps de prothrombine peuvent entraîner des saignements anormaux et même la mort.

Prévention ou gestion t Surveillez le temps INR et Prothrombine et ajustez la dose de warfarine ou d'autres anticoagulants oraux pour maintenir le niveau d'anticoagulation souhaité.
Méthotrexate
Impact clinique L'utilisation concomitante de l'oméprazole avec du méthotrexate (principalement à des doses élevées) peut augmenter et prolonger les taux sériques de méthotrexate et / ou son hydroxyméthoterxate de métabolite conduisant peut-être à des toxicités de méthotrexate [voir Avertissements et précautions ].
Prévention ou gestion t Évitez l'utilisation concomitante de talicia chez les patients recevant du méthotrexate à haute dose.
Digoxine
Impact clinique Potentiel d'augmentation des taux sanguins de la digoxine [voir Pharmacologie clinique ].
Prévention ou gestion t Surveiller les concentrations de digoxine. Un ajustement de la dose peut être nécessaire pour maintenir les concentrations thérapeutiques de médicaments. Voir les informations de prescription de la digoxine.
Médicaments dépendants du pH gastrique pour l'absorption (par exemple les sels de fer erlotinib dasatinib nilotinib mycophénolate mofetil kétoconazole / itraconazole)
Impact clinique Oméprazole can alter the absorption of other drugs due to its effect of reducing intragastric acidity thereby increasing gastric pH.
Prévention ou gestion t Mycophénolate mofetil (mmf): Utilisez Talicia avec prudence chez les patients transplantés recevant du MMF [voir Pharmacologie clinique ].
Voir les informations de prescription d'autres médicaments dépendants du pH gastrique pour l'absorption.
Tacrolimus
Impact clinique Potentiel d'augmentation des taux sanguins du tacrolimus, en particulier chez les patients intermédiaires ou de mauvais métaboliseurs de CYP2C19.
Prévention ou gestion t Surveillez les niveaux de sang total du tacrolimus et ajustez la dose selon les informations de prescription pour le tacrolimus.
Médicaments métabolisés via les enzymes CYP450 (par ex. Cyclosporine disulfiram))
Impact clinique Des interactions sont signalées avec l'oméprazole et d'autres médicaments métabolisés via les enzymes CYP450.
Prévention ou gestion t Surveillez les patients pour déterminer s'il est nécessaire d'ajuster le dosage de ces autres médicaments lorsqu'il est pris en même temps que Talicia.
Contraceptifs oraux
Impact clinique L'utilisation concomitante de l'amoxicilline et de la rifabutine avec des contraceptifs hormonaux peut entraîner la perte de son efficacité due à une réabsorption des œstrogènes plus faible et une diminution des concentrations de l'éthinylestradiol et de la noréthindrone respectivement [voir [voir Avertissements et précautions ].
Prévention ou gestion t Il faut conseiller aux patients d'utiliser des méthodes de contraception non hormonales supplémentaires ou alternatives.
Investigations diagnostiques pour les tumeurs neuroendocrines
Impact clinique Une diminution induite par le PPI de l'acidité gastrique peut entraîner une augmentation des niveaux de chromogranine A (CGA), ce qui peut provoquer de faux résultats positifs dans les diagnostics des tumeurs neuroendocrines [voir Avertissements et précautions ].
Prévention ou gestion t Évaluez les niveaux de CGA au moins 14 jours après l'arrêt du traitement de Talicia et envisagez de répéter le test si les niveaux de CGA initiaux sont élevés. Si des tests en série sont effectués (par exemple pour la surveillance), le même laboratoire commercial doit être utilisé pour les tests, car les plages de référence entre les tests peuvent varier.
Test de glucose d'urine
Impact clinique Des concentrations d'urine élevées d'ampicilline ou d'amoxicilline peuvent entraîner des réactions faussement positives lors de l'utilisation de tests de glucose en fonction de la réaction de réduction du cuivre de Benoît qui détermine la quantité de substances réductrices comme le glucose dans l'urine.
Prévention ou gestion t Des tests de glucose basés sur des réactions enzymatiques de glucose oxydase doivent être utilisées.
Interaction avec le test de stimulation sécrétine
Impact clinique L'hyper-réponse dans la sécrétion de gastrine en réponse au test de stimulation de la sécrétine peut suggérer faussement le gastrinome.
Prévention ou gestion t Le test doit être effectué au moins 14 jours après l'arrêt du traitement de Talicia pour permettre aux niveaux de gastrine de revenir à la ligne de base.
Tests d'urine faux positifs pour la tétrahydrocannabinol (THC)
Impact clinique Il y a eu des rapports de tests de dépistage d'urine faux positifs pour le THC chez les patients recevant des IPP.
Prévention ou gestion t Une autre méthode de confirmation doit être considérée pour vérifier les résultats positifs.
Autres tests de laboratoire
Impact clinique Après l'administration d'ampicilline ou d'amoxicilline aux femmes enceintes, une diminution transitoire de la concentration plasmatique d'oestrone conjugué à l'estriol-œstriol-œstriol-œstrone et d'estradiol est noté.

Avertissements pour Talicia

Inclus dans le cadre du 'PRÉCAUTIONS' Section

Précautions pour Talicia

Réactions d'hypersensibilité

Réactions d'hypersensibilité graves et mortelles, par ex. anaphylaxie angio-œdème érythème multiforme de dermatite exfoliative hypersensibilité vascularite néphrite tubulointerstitielle aiguë et la maladie sérique ont été signalées avec les composants de talicia: l'oméprazole amoxicilline et la rifabutine.

Les signes et symptômes de ces réactions peuvent inclure hypotension urticaire œdème de l'angio neutropénie ou syndrome de type grippe (faiblesse de la fatigue de la fatigue musculaire nausée nausées vomissements pour les maux de tête frissonneurs fait mal aux ténèbres des tétants qui démangent les étourdissements de la souffrance de la poitrine de la poitrine de la poitrine des palpitations de syncope).

Il y a eu des rapports d'individus ayant des antécédents d'hypersensibilité à la pénicilline qui ont connu des réactions graves lorsqu'ils sont traités avec des céphalosporines.

Avant de lancer une thérapie avec Talicia, renseignez-vous sur l'histoire des réactions d'hypersensibilité aux pénicillines céphalosporines rifamycines ou IPP. Arrêtez les talicia et instituent une thérapie immédiate si des réactions d'hypersensibilité se produisent.

Réactions indésirables cutanées sévères

Les réactions indésirables cutanées sévères (cicatrices) telles que le syndrome de Stevens-Johnson (SJS) Nécrolyse épidermique toxique (dix) réaction médicamenteuse avec éosinophilie et systemic symptoms (DRESS) et acute generalized exanthematous pustulosis (AGEP) have been reported with the components of Talicia: rifabutin amoxicilline et omeprazole [see Réactions d'hypersensibilité et Effets indésirables ].

L'huile de ricin est-elle sûre pour ingérer

Surveillez de près et interrompez les talicia aux premiers signes de cicatrice.

Syndrome d'entérocolite induit par médicament (mat)

Le syndrome d'entérocolite induit par médicament (mat) a été signalé avec l'utilisation de l'amoxicilline A composante de Talicia [voir Effets indésirables ] avec la plupart des cas survenant chez les patients pédiatriques ≤ 18 ans. Dies est une réaction d'hypersensibilité à médiation non IGE caractérisée par des vomissements prolongés se produisant 1 à 4 heures après l'ingestion de médicament en l'absence de symptômes cutanés ou respiratoires. Les matrices peuvent être associées à l'hypotension léthargique de la pâleur choc diarrhée within 24 hours after ingesting amoxicilline et leukocytosis with neutrophilia. If DIES occurs discontinue Talicia et institute appropriate therapy.

Diarrhée associée à la difficile

Clostridioides difficile - La diarrhée associée (CDAD) a été signalée avec l'utilisation de l'oméprazole une composante de talicia et presque tous les agents antibactériens, notamment l'amoxicilline et la rifabutine qui sont des composants de la talicia et peuvent aller de la gravité de la diarrhée légère à la colite fatale. Le traitement avec des agents antibactériens modifie la flore normale du côlon conduisant à la prolifération de C. difficile .

La CDAD doit être prise en compte chez tous les patients qui présentent une diarrhée après un inhibiteur de la pompe à protons et une utilisation antibactérienne. Des antécédents médicaux attentifs sont nécessaires car la CDAD se produirait sur deux mois après l'administration d'agents antibactériens.

Si la CDAD est confirmée, Talicia doit être interrompue. Supplémentation des protéines de fluide et d'électrolyte appropriée Traitement médicament antibactérien de C. difficile et surgical evaluation should be instituted as clinically indicated.

Réduction de l'efficacité des contraceptifs hormonaux

Talicia may reduce the efficacy of contraceptifs hormonaux. Therefore an additional non-hormonal highly effective method of contraception should be used while taking Talicia [see Interactions médicamenteuses ].

Néphrite tubulo-interstitielle

Une néphrite tubulo-interstitielle aiguë (TIN) a été observée chez les patients prenant des IPP, notamment l'oméprazole, une composante de Talicia. L'étain peut se produire à tout moment pendant le traitement PPI.

Les patients peuvent présenter des signes et symptômes variables des réactions d'hypersensibilité symptomatiques à des symptômes non spécifiques d'une diminution de la fonction rénale (par exemple, des nausées de malaise anorexie). Dans les séries de cas signalées, certains patients ont été diagnostiqués en biopsie et en l'absence de manifestations extra-rénales (par exemple, éruption cutanée ou arthralgie).

L'étain a également été observé chez les patients prenant des pénicillines telles que l'amoxicilline une composante de talicia.

Arrêter les talicia et évaluer les patients soupçonnés de l'étain aigu [voir Contre-indications ].

Risque de réactions indésirables ou de perte d'efficacité due aux interactions médicamenteuses

Les composantes de Talicia ont le potentiel d'interactions médicamenteuses cliniquement importantes [voir Contre-indications et Interactions médicamenteuses ].

Évitez l'utilisation concomitante de talicia avec d'autres inducteurs CYP2C19 ou CYP3A4 (par exemple, la rifampin de mille-pèse St. John’s) car ils peuvent considérablement diminuer les concentrations de l’oméprazole. Évitez l'utilisation concomitante de talicia avec les inhibiteurs du CYP2C19 et / ou du CYP3A4 (par exemple, le fluconazole itraconazole) car il peut augmenter considérablement la concentration plasmatique de composante (s) de talicia. Selon l'inhibiteur de la protéase, l'utilisation concomitante de talicia doit être évitée (par exemple, indinavir amplenavir) ou des ajustements de dose pour un ou des inhibiteurs de protéase administrés concomitants peut être nécessaire. L'utilisation concomitante des IPP avec du méthotrexate (principalement à une dose élevée) peut augmenter et prolonger les taux sériques de méthotrexate et / ou son métabolite conduisant peut-être à des toxicités de méthotrexate. Évitez les talicia chez les patients sous méthotrexate à forte dose. L'utilisation concomitante du clopidogrel et de l'oméprazole réduit l'activité pharmacologique du clopidogrel. Évitez les talices chez les patients sous clopidogrel. Lorsque vous utilisez Talicia, considérez une thérapie anti-plaquettaire alternative [voir Interactions médicamenteuses ].

Lupus érythémateux cutané et systémique

Cutané lupus erythematosus (cle) et Lupus érythémateux systémique ( Couvre ) ont été signalés chez des patients prenant des IPP, y compris l'oméprazole. Ces événements se sont produits à la fois comme un nouvel début et une exacerbation des maladies auto-immunes existantes. La majorité des cas de lupus érythémateux induits par le PPI étaient CLE. Si des signes ou des symptômes compatibles avec CLE ou LED se développent chez les patients recevant des talicia interrompent le médicament et évaluez le cas échéant.

Éruption cutanée In Patients With Mononucleosis

Un pourcentage élevé de patients atteints de mononucléose qui reçoivent de l'amoxicilline développe une éruption cutanée érythémateuse. Évitez les talicia chez les patients atteints de mononucléose.

Uvéite

En raison de la possibilité d'éventuels patients atteints d'uvéite, doit être soigneusement surveillée lorsque la rifabutine Une composante de talicia est donnée en combinaison avec de la clarithromycine (ou d'autres macrolides) et / ou du fluconazole et des composés apparentés. Si l'uvéite est suspectée, reportez-vous à une évaluation ophtalmologique et si elle est considérée comme un traitement nécessaire avec la rifabutine [voir Effets indésirables ].

Interactions avec les recherches diagnostiques pour les tumeurs neuroendocrines

Les taux sériques de la chromogranine A (CGA) augmentent secondaire aux diminutions induites par le médicament de l'acidité gastrique. L'augmentation du niveau de CGA peut provoquer des résultats de faux positifs dans des investigations diagnostiques pour les tumeurs neuroendocrines. Évaluez les niveaux de CGA au moins 14 jours après le traitement de Talicia et envisagez de répéter le test si les niveaux de CGA initiaux sont élevés [voir Interactions médicamenteuses ].

Développement de bactéries résistantes aux médicaments

La prescription de talicia soit en l'absence d'une infection bactérienne prouvée ou fortement suspectée, soit une indication prophylactique ne devrait pas bénéficier au patient et augmente le risque de développement de bactéries résistantes au médicament.

Toxicologie non clinique

Carcinogenèse Mutagenèse A trouble de la fertilité

Aucune étude à long terme n'a été réalisée pour évaluer l'effet de la talicia sur la mutagenèse de la carcinogenèse ou une altération de la fertilité.

Oméprazole

Dans deux études de cancérogénicité de 24 mois chez le rat, l'oméprazole à des doses quotidiennes de 1,7 3,4 13,8 44,0 et 140,8 mg / kg / jour (environ 0,1 à 11,4 fois une dose humaine de 120 mg / jour, comme exprimée sur une surface corporelle) a produit des carcinoïdes gastriques gastriques (ECL) dans une voie pour les femmes et les femmes ECL) dans un moyen de soupes de personnes Dose dans un dossier de soupe (ECL) dans un dossier Dose-Lose-like (ECL) pour les caractéristiques des femmes; L'incidence de cet effet était nettement plus élevée chez les rats femelles qui avaient des concentrations sanguines plus élevées d'oméprazole. Les carcinoïdes gastriques se produisent rarement chez le rat non traité. De plus, une hyperplasie des cellules ECL était présente dans tous les groupes traités des deux sexes. Dans l'une de ces études, les rats femelles ont été traités avec 13,8 mg d'oméprazole / kg / jour (environ 1 fois une dose humaine de 120 mg / jour basée sur la surface du corps) pendant un an, puis suivie pendant une année supplémentaire sans médicament. Aucun carcinoïde n'a été observé chez ces rats. Une incidence accrue de l'hyperplasie des cellules ECL liée au traitement a été observée à la fin d'un an (94% traitée contre 10% de témoins). Au cours de la deuxième année, la différence entre les rats traités et témoins était beaucoup plus faible (46% contre 26%) mais a toujours montré plus d'hyperplasie dans le groupe traité. L'adénocarcinome gastrique a été observé chez un rat (2%). Aucune tumeur similaire n'a été observée chez les rats mâles ou femelles traités pendant deux ans. Pour cette souche de rat, aucune tumeur similaire n'a été notée historiquement, mais une découverte impliquant une seule tumeur est difficile à interpréter.

Dans une étude de toxicité de 52 semaines chez les rats Sprague-Dawley, les astrocytomes cérébraux ont été trouvés chez un petit nombre de mâles qui ont reçu l'oméprazole à des niveaux de dose de 0,4 2 et 16 mg / kg / jour (environ <0.1 to 1.3 times the human dose of 120 mg/day based on a body surface area basis). No astrocytomas were observed in female rats in this study. In a 2-year carcinogenicity study in Sprague-Dawley rats no astrocytomas were found in males or females at the high dose of 140.8 mg/kg/day (about 11 times the human dose of 120 mg/day on a body surface area basis). A 78-week mouse carcinogenicity study of omeprazole did not show increased tumor occurrence but the study was not conclusive. A 26-week p53 (+/–) transgenic mouse carcinogenicity study was not positive.

Oméprazole was positive for clastogenic effects in an in vitro test d'aberration chromosomique des lymphocytes humains dans l'un des deux en vain tests de micronucléus de souris et dans un en vain Dosage d'aberration chromosomique des cellules de la moelle osseuse. L'oméprazole était négatif dans le in vitro Ames tester un in vitro test de mutation vers l'avant lymphome de souris et un en vain test de dommage à l'ADN du foie de rat.

Oméprazole at oral doses up to 138 mg/kg/day in rats (about 11 times the human dose of 120 mg on a body surface area basis) was found to have no effect on fertility et reproductive performance.

Dans les études de cancérogénicité de 24 mois chez le rat, une augmentation significative liée à la dose des tumeurs carcinoïdes gastriques et de l'hyperplasie des cellules ECL a été observée chez les animaux mâles et féminins. Des tumeurs carcinoïdes ont également été observées chez des rats soumis à une fondation ou à un traitement à long terme avec d'autres inhibiteurs de la pompe à protons ou des doses élevées d'antagonistes de récepteur H2.

Amoxicilline

Des études à long terme chez les animaux n'ont pas été réalisées pour évaluer le potentiel cancérigène. Des études pour détecter le potentiel mutagène de l'amoxicilline seule n'ont pas été menées; Cependant, les informations suivantes sont disponibles à partir de tests sur un mélange 4: 1 d'amoxicilline et de clavulanate de potassium. L'amoxicilline et le clavulanate de potassium étaient non mutagènes dans le test de mutation bactérienne Ames et le test de conversion du gène de levure. L'amoxicilline et le clavulanate de potassium étaient faiblement positifs dans le test de lymphome de souris, mais la tendance à une augmentation des fréquences de mutation dans ce test s'est produite à des doses également associées à une diminution de la survie cellulaire. L'amoxicilline et le clavulanate de potassium étaient négatifs dans le test de micronucléus de souris et dans le dominant Dosage mortel chez la souris. Le clavulanate de potassium seul a été testé dans le test de mutation bactérienne Ames et dans le test de micronucléus de souris et était négatif dans chacun de ces tests. Dans une étude de reproduction multi-génération chez le rat, aucune altération de la fertilité ou d'autres effets reproducteurs indésirables n'a été observée à des doses allant jusqu'à 500 mg / kg (environ 2 fois la dose humaine de 3 g basée sur la surface corporelle).

Rifabutine

Des études de cancérogénicité à long terme ont été menées avec la rifabutine chez la souris et chez le rat. La rifabutine n'était pas cancérigène chez la souris à des doses allant jusqu'à 180 mg / kg / jour ou environ 36 fois la dose quotidienne humaine recommandée. La rifabutine n'était pas cancérigène chez le rat à des doses allant jusqu'à 60 mg / kg / jour environ 12 fois la dose humaine recommandée.

Rifabutine was not mutagenic in the bacterial mutation assay (Ames Test) using both rifabutin-susceptible et resistant strains. Rifabutine was not mutagenic in Schizosaccharomyces pombe p1 et was not genotoxic in V-79 Chinese hamster cells human lymphocytes in vitro ou cellules de moelle osseuse de souris en vain .

La fertilité a été altérée chez les rats mâles étant donné 160 mg / kg (32 fois la dose quotidienne humaine recommandée).

Utiliser dans des populations spécifiques

Grossesse

Résumé des risques

Sur la base des études de reproduction animale, les talicia peuvent causer des dommages fœtaux lorsqu'ils sont administrés aux femmes enceintes. Il n'y a pas d'études adéquates et bien contrôlées sur l'amoxicilline oméprazole ou la rifabutine (utilisée séparément ou ensemble) chez les femmes enceintes. L'utilisation de Talicia n'est généralement pas recommandée pour une utilisation pendant la grossesse. Si Talicia est utilisée pendant la grossesse, conseille aux femmes enceintes du risque potentiel pour un fœtus.

Oméprazole

Les données épidémiologiques disponibles ne démontrent pas un risque accru de malformations congénitales majeures ou d'autres résultats défavorables de grossesse avec l'utilisation de l'oméprazole du premier trimestre. Des études de reproduction chez le rat et les lapins ont entraîné une létalité de l'embryon dose-dépendante à des doses d'oméprazole qui étaient d'environ 1,13 à 11 fois une dose humaine orale de 120 mg.

Les malformations fœtales n'ont pas été observées dans des études de reproduction animale avec l'administration d'esoméprazole orale (énantiomère de l'oméprazole) magnésium chez le rat et les lapins pendant l'organogenèse avec des doses d'environ 23 fois et 14 fois respectivement d'une dose humaine orale de 120 mg ésoméprazole ou oméprazole. Des changements dans la morphologie osseuse ont été observés chez la progéniture de rats dosés par la majeure partie de la grossesse et de la lactation à des doses égales ou supérieures à environ 11 fois une dose humaine orale de 120 mg d'ésoméprazole ou d'oméprazole. Lorsque l'administration maternelle était limitée à la gestation seulement, il n'y avait aucun effet sur la morphologie de la physique osseuse dans la progéniture à tout âge [voir Données ].

Amoxicilline

Les données disponibles des études épidémiologiques publiées et des rapports de cas de pharmacovigilance au cours de plusieurs décennies avec l'utilisation de l'amoxicilline n'ont pas établi de risques associés aux médicaments de malformations congénitales ou de résultats materneaux ou fœtaux indésirables [voir [voir Données ]. No adverse developmental effects were observed in animal reproduction studies with administration of amoxicilline to pregnant mice et at doses up to 3 to 6 times an oral human dose of 3 grams.

Rifabutine

Les malformations fœtales n'ont pas été observées dans les études de reproduction de rats ou de lapins étant donné la rifabutine à des niveaux de dose allant jusqu'à 200 mg / kg (6 à 13 fois la dose humaine recommandée). Chez le rat, reçu de la rifabutine à 200 mg / kg / jour (environ 6 fois la dose quotidienne humaine recommandée), il y a eu une diminution de la viabilité fœtale. Des anomalies squelettiques accrues ont été observées chez le rat et les lapins à 40 et 80 mg / kg / jour respectivement (correspondant à environ une dose équivalente et 5 fois la dose quotidienne humaine recommandée); La toxicité maternelle a été notée à 80 mg / kg chez les lapins [voir Données ].

Les risques de fond estimés des principaux malformations congénitales et une fausse couche pour la population indiquée sont inconnues. Toutes les grossesses ont un risque de fond de délai de congédiement perte ou d'autres résultats négatifs. Dans la population générale américaine, le risque de fond estimé de malformations congénitales majeures et de fausse couche dans les grossesses cliniquement reconnues est respectivement de 2% à 4% et 15% à 20%.

Données

Données humaines

Oméprazole

Quatre études épidémiologiques publiées ont comparé la fréquence des anomalies congénitales chez les nourrissons nés de femmes qui ont utilisé l'oméprazole pendant la grossesse avec la fréquence des anomalies chez les nourrissons de femmes exposées à des antagonistes des récepteurs H2 ou à d'autres témoins.

Une étude épidémiologique de cohorte rétrospective basée sur la population du registre suédois des naissances médicales couvrant environ 99% des grossesses de 1995 à 99 rapportées sur 955 nourrissons (824 exposés au cours du premier trimestre avec 39 de ces exposés au-delà du premier trimestre et 131 exposés après le premier trimestre) dont les mères ont utilisé un ométrat au-delà. Le nombre de nourrissons exposés utero Pour l'oméprazole qui avait une malformation de malformation à faible poids à la naissance, un faible score d'apgar ou une hospitalisation était similaire au nombre observé dans cette population. Le nombre de nourrissons nés avec des défauts septaux ventriculaires et le nombre de nourrissons mort-né étaient légèrement plus élevés chez les nourrissons exposés à l'oméprazole que le nombre attendu dans cette population.

Une étude de cohorte rétrospective basée sur la population couvrant toutes les naissances vivantes au Danemark de 1996 à 2009 a rapporté 1800 naissances vivantes dont les mères ont utilisé l'oméprazole au cours du premier trimestre de la grossesse et 837317 naissances vivantes dont les mères n'ont utilisé aucun inhibiteur de la pompe à protons. Le taux global de malformations congénitales chez les nourrissons nés de mères ayant une exposition au premier trimestre à l'oméprazole était de 2,9% et 2,6% chez les nourrissons nés de mères non exposées à un inhibiteur de la pompe à protons au cours du premier trimestre.

Une étude de cohorte rétrospective a rapporté 689 femmes enceintes exposées à des blocs H2 ou à l'oméprazole au cours du premier trimestre (134 exposés à l'oméprazole) et 1572 femmes enceintes non exposées au cours du premier trimestre. Le taux global de malformation chez la progéniture née des mères présentant une exposition au premier trimestre à l'oméprazole un bloc H2 ou n'a pas été exposée était respectivement de 3,6% 5,5% et 4,1%.

Une petite étude de cohorte d'observation prospective a suivi 113 femmes exposées à l'oméprazole pendant la grossesse (89% avec des expositions au premier trimestre). Le taux signalé de malformations congénitales majeures était de 4% dans le groupe oméprazole 2% chez les témoins exposés aux non-teratogènes et 2,8% chez les témoins appariés par la maladie. Taux d'avortements spontanés et optionnels accouchent prématurés, l'âge gestationnel à l'accouchement et le poids moyen de la naissance était similaire parmi les groupes.

Plusieurs études n'ont signalé aucun effet défavorable apparent à court terme sur le nourrisson lorsque l'oméprazole oral ou intraveineux à dose unique a été administré à plus de 200 femmes enceintes en tant que prémédication pour une césarienne sous anesthésie générale.

Amoxicilline

Bien que les études disponibles ne puissent pas établir définitivement l'absence de données épidémiologiques publiées par le risque et les rapports de cas post-commercialisation n'ont pas signalé une association cohérente avec l'amoxicilline et les principales malformations congénitales ou les résultats indésirables maternels ou fœtaux lorsque l'amoxicilline a été utilisée pendant la grossesse. Les études disponibles ont des limitations méthodologiques, notamment la petite taille rétrospective de la taille des échantillons de collecte de données sous le capture de groupes erronés d'exposition aux naissances non en vie et les groupes de comparaison incohérents.

Rifabutine

De petites études d'observation rétrospectives ont évalué l'utilisation de la rifabutine (en combinaison avec d'autres médicaments) pour le traitement de tuberculose Pendant la grossesse. Les études disponibles n'étaient pas concluantes pour déterminer si l'utilisation de la rifabutine pendant la grossesse était associée à des effets néfastes chez la femme enceinte ou les nouveau-nés.

Données sur les animaux

Oméprazole

Des études reproductives menées avec de l'oméprazole chez le rat à des doses orales allant jusqu'à 138 mg / kg / jour (environ 11 fois une dose humaine orale de 120 mg sur une base corporelle) et chez les lapins à des doses allant jusqu'à 69,1 mg / kg / jour (environ 11 fois une dose humaine orale de 120 mg sur une base de surface corporelle) pendant l'organogenèse n'a pas montré de la dose humaine de 120 mg sur une base de surface corporelle) pendant l'organogenèse n'a pas montré de malformations fetaires. Chez les lapins, l'oméprazole dans une plage de dose de 6,9 ​​à 69,1 mg / kg / jour (environ 1 à 11 fois une dose humaine orale de 120 mg sur une surface corporelle) administrée pendant l'organogenèse a produit des augmentations liées à la dose dans les résorption fœtale de l'embryon létal et les perturbations de la grossesse. Chez le rat, la toxicité d'embryon / fœtale liée à la dose et la toxicité de développement postnatale ont été observées chez la progéniture résultant de parents traités avec de l'oméprazole à 13,8 à 138,0 mg / kg / jour (environ 1 à 11 fois une dose humaine orale de 120 mg sur une surface corporelle) administrée avant le fassoir par la période de lactation.

Esoméprazole

Les données décrites ci-dessous ont été générées à partir d'études utilisant l'ésoméprazole un énantiomère de l'oméprazole. Les multiples de dose animale à humaine sont basés sur l'hypothèse d'une exposition systémique égale à l'ésoméprazole chez l'homme après l'administration orale de 120 mg esoméprazole ou de 120 mg d'oméprazole.

No effects on embryo-fetal development were observed in reproduction studies with esomeprazole magnesium in rats at oral doses up to 280 mg/kg/day (about 23 times an oral human dose of 120 mg on a body surface area basis) or in rabbits at oral doses up to 86 mg/kg/day (about 14 times an oral human dose of 120 mg esomeprazole or omeprazole on a body Surface de surface) administrée pendant l'organogenèse.

Une étude de toxicité de développement pré-et postnatale chez le rat avec des critères d'évaluation supplémentaires pour évaluer le développement osseux a été réalisée avec du magnésium ésoméprazole à des doses orales de 14 à 280 mg / kg / jour (environ 1 à 23 fois une dose humaine orale de 120 mg ésoméprazole ou oméprazole sur une surface corporelle). La survie néonatale / postnatale précoce (naissance au sevrage) a été diminuée à des doses égales ou supérieures à 138 mg / kg / jour (environ 11 fois une dose humaine orale de 120 mg ésoméprazole ou oméprazole sur une surface corporelle). Le poids corporel et le gain de poids corporel ont été réduits et les retards de développement neuro -havioraux ou généraux dans le délai immédiat après le sevrage étaient évidents à des doses égales ou supérieures à 69 mg / kg / jour (environ 6 fois une dose humaine orale de 120 mg ésoméprazole ou oméprazole sur une surface corporelle). De plus, une diminution de la longueur de la longueur du fémur et de l'épaisseur de l'os cortical ont diminué l'épaisseur de la plaque de croissance tibiale et l'hypocellularité de la moelle osseuse minimale à légère a été notée à des doses égales ou supérieures à 14 mg / kg / jour (à peu près à la dose humaine orale de 120 mg esoméprazole ou oméprazole sur une surface corporelle). La dysplasie physique dans le fémur a été observée chez la progéniture de rats traités avec des doses orales de magnésium d'ésoméprazole à des doses égales ou supérieures à 138 mg / kg / jour (environ 11 fois une dose humaine orale de 120 mg ésoméprazole ou oméprazole sur une surface corporelle).

Des effets sur l'os maternel ont été observés chez des rats enceintes et allaitants dans l'étude pré-et postnatale de toxicité lorsque l'ésoméprazole magnésium a été administré à des doses orales de 14 à 280 mg / kg / jour (environ 1 à 23 fois une dose humaine orale de 120 mg ésoméprazole ou oméprazole sur une surface corporelle). Lorsque les rats ont été dosés à partir de la journée de gestation 7 par le sevrage le jour postnatal 21, une diminution statistiquement significative du poids du fémur maternel allant jusqu'à 14% (par rapport au traitement placebo) a été observée à des doses égales ou supérieures à 138 mg / kg / jour (environ 11 fois une dose humaine orale de 120 mg esoméprazole ou omeprazole sur une base de surface corporelle).

Une étude de développement pré-et postnatal chez le rat avec l'esoméprazole strontium (en utilisant des doses équimolaires par rapport à l'étude de magnésium de l'ésoméprazole) a produit des résultats similaires dans les barrages et les chiots comme décrit ci-dessus.

Une étude de toxicité de développement de suivi chez le rat avec d'autres points de temps pour évaluer le développement des os de chiot du jour postnatal 2 à l'âge adulte a été effectué avec du magnésium ésoméprazole à des doses orales de 280 mg / kg / jour (environ 23 fois une dose humaine orale de 120 mg sur une surface corporelle) à l'administration de la poitrine de la geste 7 ou du jour du jour du jour de la fête. Lorsque l'administration maternelle était limitée à la gestation, il n'y a eu aucun effet sur la morphologie de la physique osseuse chez la progéniture à tout âge.

Amoxicilline

Des études de reproduction ont été réalisées chez des souris et des rats à des doses allant jusqu'à 2000 mg / kg (3 et 6 fois la dose humaine de 3 g basée sur la surface corporelle). Il n'y avait aucune preuve de dommage au fœtus due à l'amoxicilline.

Rifabutine

Des études de reproduction ont été réalisées chez le rat et les lapins étant donné la rifabutine en utilisant des niveaux de dose allant jusqu'à 200 mg / kg (environ 6 à 13 fois la dose quotidienne humaine recommandée en fonction des comparaisons de surface corporelle). Aucune malformation fœtale n'a été observée dans l'une ou l'autre espèce. Chez le rat, reçu 200 mg / kg / jour (environ 6 fois la dose quotidienne humaine recommandée basée sur les comparaisons de surface corporelle), il y a eu une diminution de la viabilité fœtale. Chez le rat à 40 mg / kg / jour (approximativement équivalent à la dose quotidienne humaine recommandée basée sur des comparaisons de surface corporelle) la rifabutine a provoqué une augmentation des variations squelettiques fœtales. Chez les lapins à 80 mg / kg / jour (environ 5 fois la dose quotidienne humaine recommandée basée sur les comparaisons de surface corporelle) la rifabutine a provoqué la toxicité maternelle et l'augmentation des anomalies squelettiques fœtales.

Lactation

Résumé des risques

Données from a published clinical lactation study reports that amoxicilline is present in human milk. Published adverse effects with amoxicilline exposure in the breast-fed infant include diarrhée. There are no data on the effects of amoxicilline on milk production. Limited data suggest omeprazole may be present in human milk. There are no clinical data on the effects of omeprazole on the breast-fed infant or on milk production. There are no data on the presence of rifabutin in human milk or the effects of rifabutin on the breast-fed infant or on milk production.

Les avantages du développement et de la santé de l'allaitement doivent être pris en compte avec le besoin clinique de la mère de Talicia et tout effet négatif potentiel sur l'enfant allaité de Talicia ou de la condition sous-jacente.

Femmes et mâles de potentiel reproducteur

Contraception

Les composantes de la rifabutine et de l'amoxicilline de Talicia interagissent avec les contraceptifs hormonaux entraînant des niveaux inférieurs de ces contraceptifs. Par conséquent, les patientes qui prennent des contraceptifs hormonaux devraient utiliser une méthode de contraception très efficace non hormonale supplémentaire tout en prenant Talicia [voir Interactions médicamenteuses ].

Infertilité

Hommes

Sur la base des résultats des rongeurs, Talicia peut nuire à la fertilité chez les hommes de potentiel de reproduction [voir Toxicologie non clinique ].

Usage pédiatrique

La sécurité et l'efficacité de Talicia chez les patients pédiatriques de moins de 18 ans avec une infection à H. pylori n'ont pas été établies.

Esoméprazole an enantiomer of omeprazole was shown to decrease body weight body weight gain femur weight femur length et overall growth in juvenile rats at oral doses about 11 to 23 times a daily human dose of 120 mg esomeprazole or omeprazole based on body surface area [see Toxicologie non clinique ].

Utilisation gériatrique

Les études cliniques de Talicia n'ont pas inclus un nombre suffisant de sujets âgés de 65 ans et plus pour déterminer s'ils réagissent différemment des sujets plus jeunes. D'autres expériences cliniques signalées n'ont pas identifié de différences dans les réponses entre les patients âgés et les jeunes adultes.

Oméprazole

Oméprazole was administered to over 2000 elderly individuals (≥ 65 years of age) in clinical trials in the U.S. et Europe. There were no differences in safety et effectiveness between the elderly et younger subjects. Other reported clinical experience has not identified differences in response between the elderly et younger subjects but greater sensitivity of some older individuals cannot be ruled out.

Amoxicilline

Une analyse des études cliniques de l'amoxicilline a été menée pour déterminer si les sujets âgés de 65 ans et plus réagissent différemment des sujets plus jeunes. Ces analyses n'ont pas identifié de différences dans les réponses entre les patients âgés et les patients plus jeunes, mais une plus grande sensibilité de certaines personnes âgées ne peut pas être exclue.

Ce médicament est connu pour être considérablement excrété par le rein et le risque de réactions toxiques à ce médicament peut être plus élevé chez les patients présentant une fonction rénale altérée. Étant donné que les patients âgés sont plus susceptibles d'avoir une diminution de la fonction rénale, il peut être utile de surveiller la fonction rénale chez les patients âgés prenant des talices.

Rifabutine

Les études cliniques de la rifabutine n'ont pas inclus un nombre suffisant de sujets âgés de 65 ans et plus pour déterminer s'ils réagissent différemment des sujets plus jeunes. D'autres expériences cliniques signalées n'ont pas identifié de différences dans les réponses entre les patients âgés et les patients plus jeunes.

Trouble rénal

Il est recommandé d'éviter l'utilisation de Talicia chez les patients souffrant de troubles rénaux sévères (DFG <30 mL/min). Amoxicilline is primarily eliminated by the kidney [see Pharmacologie clinique ].

Trouble hépatique

Il est recommandé d'éviter l'utilisation de Talicia chez les patients souffrant de troubles hépatiques. Chez les patients souffrant de troubles hépatiques (Child-Pugh classe A B ou C), l'exposition à l'oméprazole a considérablement augmenté par rapport aux sujets sains [voir Pharmacologie clinique ].

Surdosage Information for Talicia

Talicia

Aucune information n'est disponible sur le surdosage accidentel de Talicia chez l'homme. En cas de surdose, les patients doivent contacter un centre de contrôle du poison ou une salle d'urgence. Les informations de surdosage disponibles pour chacune des composantes individuelles de Talicia (oméprazole amoxicilline et rifabutine) sont résumées ci-dessous:

Oméprazole

Il y a eu des rapports de surdosage avec l'oméprazole chez l'homme. Les doses variaient jusqu'à 2400 mg (120 fois la dose clinique recommandée habituelle). Les manifestations étaient variables mais incluaient la somnolence de confusion vision floue tachycardie nausée nausée diaphorèse rinçage maux de tête bouche sèche et autres réactions indésirables similaires à celles observées dans une expérience clinique normale [voir Effets indésirables ]. Symptoms were transient et no serious clinical outcome has been reported when omeprazole was taken alone. No specific antidote for omeprazole overdosage is known. Oméprazole is extensively protein bound et is therefore not readily dialyzable. In the event of overdosage treatment should be symptomatic et supportive.

Amoxicilline

En cas de surdosage, interrompez les médicaments, traitez les mesures de soutien symptomatiquement et instituent au besoin. Une étude prospective de 51 patients pédiatriques dans un centre de contrôle du poison a suggéré que les surdosages de moins de 250 mg / kg d'amoxicilline ne sont pas associés à des symptômes cliniques significatifs.

Les cristalluria dans certains cas conduisant à une insuffisance rénale ont également été signalées après un surdosage de l'amoxicilline. En cas de surdosage, un apport et une diurèse adéquats doivent être maintenus pour réduire le risque d'amoxicilline cristallurie.

La déficience rénale semble être réversible avec l'arrêt de l'administration du médicament. Des concentrations de sang élevées peuvent se produire plus facilement chez les patients présentant une fonction rénale altérée en raison d'une diminution de la clairance rénale de l'amoxicilline. L'amoxicilline peut être retirée de la circulation par l'hémodialyse.

Rifabutine

Aucune information n'est disponible sur le surdosage accidentel de la rifabutine chez l'homme.

Bien qu'il n'y ait aucune expérience dans le traitement de la surdose avec des capsules de rifabutine, l'expérience clinique avec les rifamycines suggère que le lavage gastrique pour évacuer le contenu gastrique (en quelques heures suivant la surdose) suivi d'un instillation d'un libellé activé dans l'estomac peut aider à adsorber tout médicament restant dans le tractus gastronitif.

Rifabutine is 85% protein bound et distributed extensively into tissues (volume of distribution at steady state: 8 to 9 L/kg). It is not primarily excreted via the urinary route (less than 10% as unchanged drug); therefore neither hemodialysis nor forced diuresis is expected to enhance the systemic elimination of unchanged rifabutin from the body in a patient with an overdose of rifabutin.

Contre-indications for Talicia

Réactions d'hypersensibilité

Talicia is contraindicated in patients with known hypersensitivity to the components of Talicia: amoxicilline [or other β-lactam antibactérien drugs (e.g. pénicillines et cephalosporins)] omeprazole (or other benzimidazoles [e.g. proton pump inhibitors (PPIs) et anthelmintics]) rifabutin (or any other rifamycins) or to any other component of Talicia. Hypersensitivity reactions may include anaphylaxis or Stevens Johnson Syndrome anaphylactic choc angioedema bronchospasm acute tubulointerstitial nephritis éruption cutanée et urticaria [see Avertissements et précautions Effets indésirables ].

Produits contenant du rilpiririne

Les inhibiteurs de la pompe à protons (IPP), y compris l'oméprazole (une composante de Talicia), sont contre-indiqués chez les patients recevant des produits contenant du rilpivirine [voir Interactions médicamenteuses ].

Delavirdine

L'utilisation de la rifabutine (une composante de Talicia) est contre-indiquée chez les patients recevant de la delavirdine [voir Interactions médicamenteuses ].

Voriconazole

L'utilisation de la rifabutine (une composante de Talicia) est contre-indiquée chez les patients recevant du voriconazole [voir Interactions médicamenteuses ].

Pharmacologie clinique for Talicia

Mécanisme d'action

Talicia is a combination of antibactérien drugs (rifabutin amoxicilline) et un inhibiteur de la pompe à proton (omeprazole as omeprazole magnesium) an antisecretory drug [see Microbiologie ].

Pharmacodynamique

Après l'administration orale, le début de l'effet antisecrétoriel de l'oméprazole se produit dans une heure avec l'effet maximum se produisant dans les deux heures. L'effet antisecrétoire dure plus longtemps que ce qui devrait être prévu de la demi-vie de plasma courte (environ une heure) apparemment en raison d'une liaison prolongée à l'enzyme pariétale H / K ATPase. Lorsque le médicament est interrompu, l'activité sécrétoire revient progressivement sur 3 à 5 jours. L'effet inhibiteur de l'oméprazole sur la sécrétion d'acide augmente avec le dosage quotidien répété.

Pharmacocinétique

Les paramètres pharmacocinétiques des composants de Talicia sont résumés dans le tableau 3.

Tableau 3: Paramètres pharmacocinétiques moyens (écart-type) des composants de Talicia

Paramètres pharmacocinétiques a Amoxicilline Oméprazole Rifabutine
Cmax (ng / ml) 15860 (3340) 1281 (518) 88 (21)
AUC24 (de * hr / ml) 145788 (29846) 7161 (3533) 1320 (307)
CMAX = concentration plasmatique maximale Auc24 = zone sous la concentration par rapport à la courbe de temps 24 heures sur 24
a Les estimations CMAX et AUC24 dérivées de 15 sujets sains après l'administration de quatre capsules de talicia trois fois par jour (8 heures d'intervalle), ce qui a entraîné des doses orales quotidiennes totales de 150 mg de rifabutine 3000 mg d'amoxicilline et 120 mg d'oméprazole.

La distribution d'absorption et l'élimination liées aux informations pharmacocinétiques sur les composantes de Talicia sont fournies dans le tableau 4.

Tableau 4: Propriétés pharmacocinétiques des composantes de Talicia

Paramètres pharmacocinétiques Amoxicilline Oméprazole Rifabutine
Absorption
Tmax (H) médian (plage) a 2 (1.25-3) 1,25 (NULL,75-1,77) 3 (2-6)
Effet de la nourriture: avec un repas riche en gras a (par rapport au jeûne) ↓ 30% dans CMAX
↔ Aucuit
↑ Tmax par 1,5 h
↓ 92% dans CMAX
↓ 83% dans Auc∞
↑ Tmax à 3 heures
↑ 14% dans CMAX
↑ 23% dans Auc∞
↑ Tmax en 2 heures
Distribution
Liaison des protéines 20% 95% 85%
Élimination
t 1/2 (h) moyenne (écart-type) 1,4 (NULL,2) 1 (NULL,3) 34 (25)
Voies métaboliques Pas de manière significative métabolisée
  • Largement métabolisé
  • CYP2C19 (Major) responsable de la formation de l'hydroxyomeprazole
  • CYP3A4 (mineur) responsable de la formation de l'oméprazole-sulphone
  • Ces métabolites ont très peu ou pas d'activité antisecrétorale
  • Des cinq métabolites qui ont été identifiés 25-O-désacétyle et 31-hydroxy sont les plus prédominants avec un rapport métabolite de plasma: parent AUC de 0,10 et 0,07 respectivement
  • Le 25-O-Desacétylrifabutine a une activité égale au médicament parent avec jusqu'à 10% de l'activité antimicrobienne totale
Voie d'élimination majeure 60% de la dose orale excrétée dans l'urine en 6 à 8 heures (principalement comme médicament inchangé) 77% de la dose excrétée dans l'urine sous forme de métabolites et le reste de la dose récupérée dans les excréments
  • 53% de la dose orale a été excrétée dans l'urine principalement sous forme de métabolites
  • Environ 30% de la dose est excrétée dans les excréments
  • La clairance rénale et biliaire du médicament inchangé contribue chacun environ 5% à la clairance orale apparente
Tmax = temps pour atteindre cmax auc∞ = zone sous la concentration par rapport au profil temporel extrapolé à l'infini t 1/2 = La demi-vie d'élimination ↑ indique l'augmentation ↓ indique la diminution ↔ n'indique aucun changement significatif.
a Changements dans les estimations de CMAX AUC∞ et Tmax rapportées à partir d'une étude d'effets alimentaires croisés chez 18 sujets sains après l'administration de quatre capsules talices administrées une fois avec un repas riche en calories riches en graisses composé d'environ 1000 kcal (14% de protéines 53% à partir de graisse et 33% de glucides) par rapport au moment où quatre capsules talicia ont été administrées sans aliments. Signalé Tmax et T 1/2 Les estimations proviennent de la même étude de 18 sujets (pour la rifabutine de 17 sujets) qui ont reçu des capsules de talicia sans nourriture.
Trouble rénal

Pour l'oméprazole, aucun changement cliniquement significatif de la biodisponibilité n'a été signalé chez les patients atteints d'une insuffisance rénale chronique (CLCR entre 10-62 ml / min / 1,73 m 2 ).

Amoxicilline is primarily eliminated by the kidney [see Utiliser dans des populations spécifiques ].

Pour la rifabutine, la disposition a été étudiée après une dose de 300 mg chez 18 patients ayant divers degrés de fonction rénale. La superficie de la courbe de temps de concentration plasmatique (ASC) de la rifabutine a augmenté d'environ 71% chez les patients atteints d'une déficience rénale grave (CLCR <30 mL/min) compared to patients with creatinine clearance (CLcr) between 61-74 mL/min. In patients with mild to moderate renal impairment (CLcr between 30-61 mL/min) the AUC of rifabutin increased by about 41%.

Trouble hépatique

La pharmacocinétique de l'amoxicilline et de la rifabutine chez les patients présentant une déficience hépatique modérée et sévère n'est pas connue.

Effets secondaires de la vytorine 10 40

Pour l'oméprazole chez les patients atteints de maladie hépatique chronique classés comme Child-Pugh classe A (n = 3) B (n = 4) et C (n = 1), la biodisponibilité a augmenté à environ 100% par rapport aux sujets sains reflétant une diminution de l'effet passe-bas et la demi-vie plasmatique du médicament a augmenté à près de 3 heures par rapport à la demi-vie dans des sujets sains de 0,5 à 1 heure. Le dégagement du plasma était en moyenne de 70 ml / min par rapport à une valeur de 500 à 600 ml / min chez des sujets sains [voir Utiliser dans des populations spécifiques ].

Interactions médicamenteuses

Les études d'interaction médicamenteuses avec Talicia n'ont pas été menées. Les informations sur l'interaction médicamenteuse décrites ici sont basées sur les informations prescrivantes des composantes individuelles de Talicia: le magnésium de la rifabutine oméprazole et l'amoxicilline [voir Interactions médicamenteuses ].

Effet de l'oméprazole sur d'autres médicaments

Oméprazole is a time-dependent inhibitor of CYP2C19 et can increase the systemic exposure of co-administered drugs that are CYP2C19 substrates. In addition administration of omeprazole increases intragastric pH et can alter the systemic exposure of certain drugs that exhibit pH-dependent solubility [see Interactions médicamenteuses ].

Effet de la rifabutine sur d'autres médicaments

Le dosage multiple de rifabutine a été associé à l'induction des enzymes métaboliques hépatiques de la sous-famille CYP3A. Le métabolite prédominant de la rifabutine (25-désacétyl rifabutine) peut également contribuer à cet effet. L'induction métabolique due à la rifabutine est susceptible de produire une diminution des concentrations plasmatiques de médicaments administrés concomitants qui sont principalement métabolisés par les enzymes CYP3A. Des médicaments concomitants similaires qui inhibent de manière compétitive l'activité du CYP3A peuvent augmenter les concentrations plasmatiques de rifabutine [voir Interactions médicamenteuses ].

Interactions médicamenteuses Between Talicia Components

Les enzymes CYP sont impliquées dans le métabolisme de l'oméprazole; Par conséquent, l'induction médiée par la rifabutine des enzymes CYP devrait réduire l'exposition systémique à l'oméprazole.

Le tableau 5 et le tableau 6 résument les informations sur les interactions médicamenteuses des informations de prescription de l'oméprazole et de la rifabutine respectivement.

Tableau 5: Résumé des études d'interaction médicamenteuse avec l'oméprazole

Drogue à co-administration Règlement de dosage du médicament co-administré Régime de dosage de l'oméprazole Résultats
Rilpivirine Doses multiples de 150 mg / jour Des doses multiples de 20 mg / jour Rilpivirine: ↓40% AUC ↓40% Cmax et ↓33% Cmin
Netfinavir Doses multiples de 1250 mg deux fois par jour Doses multiples de 40 mg / jour Netfinavir: ↓36% AUC ↓37% Cmax et ↓39% Cmin M8: ↓92% in AUC ↓89% Cmax et ↓75% Cmin
Atazanavir Doses multiples de 400 mg / jour Doses multiples de 40 mg / jour Atazanavir: ↓94% AUC ↓96% Cmax et ↓95% Cmin
Saquinavir Saquinavir/Ritonavir (1000/100 mg) twice daily for 15 days 40 mg / jour les jours 11 à 15 Saquinavir: ↑82% AUC ↑75% Cmax et ↑106% Cmin
Clopidogrel Trois études distinctes avec une dose de chargement de 300 mg 75 mg / jour 80 mg / jour en même temps que le clopidogrel dans deux études et 12 heures d'intervalle dans les troisième études

Résumé des résultats de trois études:

  • ↓ 41% à 46% dans l'exposition au métabolite actif du clopidogrel à partir du jour 1.
  • L'administration de clopidogrel et d'oméprazole à différents moments n'empêche pas l'interaction
Mycophénolate mofetil (mmf) 1000 mg de dose après la dernière dose d'oméprazole 20 mg deux fois par jour pendant quatre jours Métabolite actif de l'acide mycophénolique (MPA) de MMF: ↓ 23% AUC et ↓ 52% CMAX
Cilostazol Nd 40 mg / jour pendant une semaine Cilostazol: ↑26% AUC et ↑18% Cmax 34-dihydro-cilostazol : ↑ 69% AUC et ↑ 29% CMAX
Diazépam 0,1 mg / kg donné par voie intraveineuse 20 mg / jour concomitamment Diazépam: ↓27% clearance et ↑36% half-life
Digoxine Nd 20 mg / jour concomitamment Digoxine: Up to ↑30% bioavailability
Voriconazole 400 mg deux fois par jour pour un jour 200 mg / jour pendant 6 jours 40 mg / jour pendant une semaine Voriconazole: Four-fold ↑ in AUC et two-fold ↑in Cmax
↑ indique l'augmentation ↓ indique la diminution de Nd = aucune donnée UC = zone sous la concentration par rapport à la courbe de temps CMAX = concentrations maximales sériques / plasmatiques CMIN = concentrations minimales sériques / plasmatiques.
34-dihydro-cilostazol a 4 à 7 fois l'activité du cilostazol

Tableau 6: Résumé des études d'interaction médicamenteuse avec la rifabutine

Drogue à co-administration Règlement de dosage du médicament co-administré Dossing régime de rifabutine Population d'étude (N) L'effet est rifabut Effet sur le médicament à co-administration
Antiviraux
Empreinte digitale 1200 mg deux fois par jour x 10 jours 300 mg une fois par jour x 10 jours Sujets masculins en bonne santé (6) 193% ↑ AUC 119% ↑ CMAX
Delavirdine 400 mg de temps 300 mg une fois par jour Patients infectés par le VIH (7) 230% ↑ AUC 128% ↑ CMAX 80% ↓ AUC 75% ↓ CMAX 17% ↓ CMIN
Didanosine 167 ou 250 mg deux fois par jour x 12 jours 300 ou 600 mg une fois par jour x 1 Patients infectés par le VIH (11)
Fosamprenavir / ritonavir 700 mg deux fois par jour plus du ritonavir 100 mg deux fois par jour x 2 semaines 150 mg tous les deux jours x 2 semaines Sujets sains (15) ↔ AUC a 15% ↓ CMAX 35% ↑ AUC b 36% ↑ CMAX 36% ↑ CMIN
Indinavir 800 mg Tid x 10 jours 300 mg une fois par jour x 10 jours Sujets sains (10) 173% ↑ AUC 134% ↑ CMAX 34% ↓ AUC 25% ↓ CMAX 39% ↓ CMIN
Lopinavir / ritonavir 400/100 mg deux fois par jour x 20 jours 150 mg une fois par jour x 10 jours Sujets sains (14) 203% c ↑ AUC 112% ↓ CMAX
Saquinavir/ Ritonavir 1000/100 mg deux fois par jour x 14 ou 22 jours 150 mg tous les 3 jours x 21-22 jours Sujets sains 53% ↑ AUC d 88% ↑ Cmax (n = 11) 13% ↓ AUC 15% ↓ CMAX (n = 19)
Ritonavir 500 mg deux fois par jour x 10 jours 150 mg une fois par jour x 16 jours Sujets sains (5) 300% ↑ AUC 150% ↑ CMAX Nd
Tipranavir / ritonavir 500/200 mg deux fois par jour x 15 doses 150 mg de dose unique Sujets sains (20) 190% ↑ AUC 70% ↑ CMAX
Netfinavir 1250 mg deux fois par jour x 78 jours 150 mg une fois par jour x 8 jours Patients infectés par le VIH (11) 83% ↑ AUC e 19% ↑ cmax
Zidovudine 100 ou 200 mg Q4H 300 ou 450 mg une fois par jour Patients infectés par le VIH (16) 32% ↓ AUC 48% ↓ CMAX
Antifongiques
Fluconazole 200 mg une fois par jour x 2 semaines 300 mg une fois par jour x 2 weeks Patients infectés par le VIH (12) 82% ↑ AUC 88% ↑ CMAX
Posaconazole 200 mg une fois par jour x 10 jours 300 mg une fois par jour x 17 days Sujets sains (8) 72% ↑ AUC 31% ↑ CMAX 49% ↓ AUC 43% ↓ CMAX
Itraconazole 200 mg une fois par jour 300 mg une fois par jour Patients infectés par le VIH (6) f 70% ↓ AUC 75% ↓ CMAX
Voriconazole 400 mg deux fois par jour x 7 jours (dose d'entretien) 300 mg une fois par jour x 7 days Sujets masculins en bonne santé (12) 331% ↑ AUC 195% ↑ CMAX ~ 100% ↑ AUC ~ 100% ↑ cmax g
Anti-PCP (pneumocystis carinii pneumonie)
Dapsone 50 mg une fois par jour 300 mg une fois par jour Patients infectés par le VIH (16) Nd 27-40% ↓ AUC
Sulfaméthoxazol e-triméthoprime 800/160 mg 300 mg une fois par jour Patients infectés par le VIH (12) 15-20% ↓ AUC
Anti-Mac (Mycobacterium avium intracellulare complexe)
Azithromycine 500 mg une fois par jour x 1 jour puis 250 mg une fois par jour x 9 jours 300 mg une fois par jour Sujets sains (6)
Clarithromycine 500 mg deux fois par jour 300 mg une fois par jour Patients infectés par le VIH (12) 75% ↑ AUC 50% ↓ AUC
Anti-TB (tuberculose)
Éthambutol 1200 mg 300 mg une fois par jour x 7 days Sujets sains (10) Nd
Isoniazide 300 mg 300 mg une fois par jour x 7 days Sujets sains (6) Nd
AUTRE
Méthadone 20-100 mg une fois par jour 300 mg une fois par jour x 13 days Patients infectés par le VIH (24) Nd
Éthinylestradiol (EE) / Norethindrone (NE) 35 mg ee / 1 mg ne x 21 jours 300 mg une fois par jour x 10 jours Sujets féminins en bonne santé (22) Nd EE: 35% ↓ AUC 20% ↓ CMAX NE: 46% AUC
Théophylline 5 mg / kg 300 mg x 14 days Sujets sains (11) Nd
↑ indique l'augmentation ↓ indique la diminution ↔ n'indique aucun changement significatif nd = pas de données USC = zone sous la concentration par rapport à la courbe de temps CMAX = concentrations maximales sériques / plasmatiques CMIN = concentrations minimales sériques / plasmatiques.
a Comparé à la rifabutine 300 mg une fois par jour seul
b Comparé au contrôle historique (Fosamprenavir / Ritonavir 700/100 mg deux fois par jour)
c Prenant également de la zidovudine 500 mg une fois par jour
d Comparé à la rifabutine 150 mg une fois par jour seul
e Comparé à la rifabutine 300 mg une fois par jour seul
f Données from a case report
g Par rapport au voriconazole 200 mg deux fois par jour seul

Microbiologie

Mécanisme d'action

Amoxicilline acts through the inhibition of cell wall biosynthesis that leads to the death of bacteria.

Rifabutine inhibits DNA-dependent RNA polymerase in susceptible microorganisms but not in mammalian cells.

Mécanisme de résistance

La résistance à l'amoxicilline est médiée principalement par des bêta-lactamases qui clivent l'anneau bêta-lactame d'amoxicilline le rendant inactif.

La résistance à la rifabutine se produit par des mutations dans l'ARN polymérase dépendante de l'ADN.

Activité antimicrobienne

Talicia therapy has been shown to be active against most clinical isolates of H. pylori . Dans les essais cliniques, 6,4% des isolats de prétraitement avaient des valeurs de micro d'amoxicilline> 0,125 mcg / ml; 17,4% avaient des valeurs de micro de clarithromycine ≥1 mcg / ml; 43,6% avaient des valeurs de micro métronidazole> 8 mcg / ml. Tous les isolats avaient des valeurs de micro de rifabutine de <1 mcg/mL. The clinical significance of these MIC values is unknown.

Test de sensibilité

Pour des informations spécifiques concernant les critères d'interprétation des tests de sensibilité et les méthodes de test associées et les normes de contrôle de la qualité reconnues par la FDA pour ce médicament, veuillez consulter: https://www.fda.gov/stic.

Effets sur l'écologie microbienne gastro-intestinale

La diminution de l'acidité gastrique due à tout moyen, y compris les inhibiteurs de la pompe à protons, augmente le nombre de bactéries gastriques normalement présentes dans le tractus gastro-intestinal. Le traitement avec des inhibiteurs de la pompe à protons peut entraîner un risque légèrement accru d'infections gastro-intestinales en raison d'agents pathogènes tels que Salmonelle et Campylobacter et in hospitalized patients possibly also due to Clostridioides difficile .

Pharmacogénomique

CYP2C19 Une enzyme polymorphe est impliquée dans le métabolisme de l'oméprazole. L'allèle CYP2C19 * 1 est entièrement fonctionnel tandis que les allèles CYP2C19 * 2 et * 3 sont non fonctionnels. Il existe d'autres allèles associés à la fonction CYP2C19 non ou diminuée. Les patients portant deux allèles entièrement fonctionnels sont des métaboliseurs normaux et ceux qui transportent deux allèles non fonctionnels sont de mauvais métaboliseurs. L'exposition systémique à l'oméprazole varie selon le statut de métabolisme d'un patient: Métaboliseurs pauvres> Métaboliseurs intermédiaires> Métabolieurs normaux. Environ 3% des Caucasiens et 15 à 20% des Asiatiques sont des métaboliseurs pauvres du CYP2C19.

Dans une étude pharmacocinétique de la dose d'oméprazole unique de 20 mg, l'ASC de l'oméprazole chez les sujets asiatiques était environ quatre fois plus élevé que chez les Caucasiens. Dans l'étude 1, la sécurité et la tolérabilité des talicia n'étaient pas sensiblement différentes dans les métaboliseurs pauvres du CYP2C19 (n = 5) et les métaboliseurs intermédiaires (n = 48) par rapport aux métaboliseurs normaux (n = 114).

Toxicologie et / ou pharmacologie animale

Une étude de toxicité de 28 jours avec une phase de récupération de 14 jours a été réalisée chez des rats juvéniles avec du magnésium ésoméprazole à des doses de 70 à 280 mg / kg / jour (environ 6 à 23 fois une dose humaine orale quotidienne de 120 mg esoméprazole ou oméprazole sur une surface corporelle). Une augmentation du nombre de décès à une dose élevée de 280 mg / kg / jour a été observée lorsque des rats juvéniles ont reçu le magnésium d'ésoméprazole du jour postnatal 7 à la journée postnatale 35. En outre, des doses égales ou supérieures à 140 mg / kg / jour (environ 11 fois une dose bodal de 120 mg sur une surface bodal-prazole ou une surface bodyprazole ou une surface bodal-adente sur une surface corporelle) sur une surface body-ralenti ou un omepraole sur une surface corporelle) sur une surface corporelle) Une diminution du poids corporel (environ 14%) et du gain de poids corporel diminue du poids du fémur et de la longueur du fémur et a affecté la croissance globale. Des résultats comparables décrits ci-dessus ont également été observés dans cette étude avec un autre ésoméprazole du sel d'ésoméprazole à des doses équimolaires d'ésoméprazole.

Études cliniques

L'efficacité et la sécurité de Talicia ont été évaluées dans une étude randomisée contrôlée en double aveugle de Talicia dans le traitement H. pylori -Les patients adultes positifs se plaignant de douleurs / malaises épigastriques (étude 1 NCT03198507). H. pylori L'infection au départ a été définie comme positive par 13 C Test de respiration de l'urée (UBT) et endoscopie supérieure de suivi (histologie de la culture ou Campylobacter - Test d'organisme de type). Les patients ont été randomisés 1: 1 à Talicia ou au contrôle (dose quotidienne totale d'amoxicilline 3000 mg et d'oméprazole 120 mg) administré pendant 14 jours consécutifs. L'essai a été réalisé aux États-Unis et conçu pour évaluer la contribution supplémentaire de la rifabutine à la combinaison Talicia Triple.

H. pylori L'éradication a été confirmée avec un négatif 13 Le test d'antigène C UBT ou fécal a effectué ≥ 28 jours après la thérapie. Les patients avec des résultats de test négatifs ont été considérés comme des succès au traitement. Les patients qui ont été testés positifs H. pylori L'infection a été considérée comme des défaillances du traitement et les patients présentant des résultats indéterminés non évaluables ou manquants du test des visites de guérison ont subi une répétition 13 Test c ubt. Résultats indéterminés persistants et patients sans aucun 13 Le test d'antigène C UBT ou fécal après la base de référence a été considéré comme des défaillances du traitement.

H. pylori Les taux d'éradication sont indiqués dans le tableau 7. La différence des taux de réponse entre Talicia et le contrôle était de 26,1% (IC à 95%; 18,0 34,1).

Tableau 7. Taux d'éradication de H. pylori Dans l'étude 1

H. pylori
Éradication
Population itt a
Talicia
N = 228 (%)
Contrôle
N = 227 (%)
Succès 191 (NULL,8) 131 (NULL,7)
Échec 37 (16.2) b 96 (42.3)
Valeur p <0.0001
a L'intention de traiter la population (ITT) comprenait tous les patients randomisés qui ont reçu au moins une dose de médicament d'étude.
b De ces sujets classés comme des échecs de traitement, tous les sujets sauf un dans le groupe Talicia étaient positifs par 13 C ubt; Ce seul sujet a été classé comme une défaillance du traitement en raison d'un résultat de test post-bascule manquant.

Une étude randomisée en double aveugle contrôlée par placebo de Talicia en H. pylori - Des patients adultes positifs se plaignant de douleurs / inconfort épigastriques (étude 2 NCT01980095) ont été réalisés aux États-Unis et ont fourni des preuves de soutien de l'efficacité de la talice pour le traitement du traitement du traitement du traitement du traitement du traitement du traitement du traitement du traitement du traitement du traitement du traitement du traitement H. pylori infection; 77 patients prenant des talices et 41 patients prenant un placebo ont été inclus dans la population ITT avec un taux d'éradication de 76,6% (IC à 95%; 66,0% 84,7%) pour les patients traités par Talicia contre 2,4% pour les patients traités par placebo. Onze patients du bras Talicia et quatre patients du bras placebo ont été classés comme des défaillances du traitement en raison de la manquante 13 Résultats de C ubt lors de la visite de test de la ville.

Informations sur les patients pour Talicia

Réactions d'hypersensibilité

Conseiller au patient d'appeler ses soins de santé fournis immédiatement s'ils développent de nouvelles lésions cutanées éruptions musclées ou des douleurs articulaires gonflant des symptômes de la grippe sévère difficulté à respirer ou à des symptômes visuels [voir Avertissements et précautions ].

Réactions indésirables cutanées sévères

Conseillez les patients sur les signes et symptômes de manifestations de la peau graves. Demandez aux patients de cesser de prendre Talicia immédiatement et de signaler rapidement les premiers signes ou symptômes de lésions muqueuses éruptions cutanées ou tout autre signe d'hypersensibilité [voir Avertissements et précautions ].

Diarrhée

Conseiller les patients que la diarrhée est un problème courant causé par les antibiotiques et qu'il se termine généralement lorsque antibiotique est abandonné. Parfois, après avoir commencé le traitement avec des antibiotiques, les patients peuvent développer des selles aqueuses et sanglantes même jusqu'à 2 mois ou plus après avoir pris leur dernière dose d'antibiotique. Les patients doivent contacter leur médecin dès que possible s'ils souffrent de diarrhée sanglante diarrhée de la douleur abdominale persistante ou de la diarrhée chronique qui ne résout pas [voir Avertissements et précautions ].

Décoloration brune-orange

Les excréments d'urine Salive Sputation Tecuments et la peau peuvent être colorés brun-orange en raison de la composante de rifabutine de Talicia et de certains de ses métabolites. Les lentilles de contact souple peuvent être colorées en permanence. Conseiller aux patients d'être traités avec Talicia de ces possibilités et conseiller au patient que ceux-ci devraient résoudre une fois le traitement terminé.

Interactions médicamenteuses

Conseiller aux patients de ne pas prendre de l'amoxicilline de millepertuis de St. John ou d'autres produits de la pénicilline rifabutine ou autres rifamycines sur-le comptoir (OTC) oméprazole ou d'autres IPP pendant le traitement par talicia. Conseiller aux patients qu'ils ne devraient pas commencer de nouveaux médicaments tout en prenant Talicia sans d'abord parler avec leur fournisseur de soins de santé [voir Avertissements et précautions ].

Contraception Counsel females of reproductive potential who are taking oral or other forms of hormonal birth-control medications to use an additional non-hormonal highly effective method of contraception while taking Talicia [see Avertissements et précautions ].

Toxicité embryo-fœtale

Conseiller les femmes enceintes et les femmes de potentiel reproducteur selon lesquelles la talice n'est pas recommandée pendant la grossesse en raison du risque potentiel pour un fœtus. Conseiller les femmes d'informer leur fournisseur de soins de santé d'une grossesse connue ou suspectée.

Cutané Or Systemic Lupus

Conseiller aux patients de signaler tout symptôme associé au lupus érythémateux cutané ou systémique [voir Avertissements et précautions ].

Néphrite tubulo-interstitielle

Conseillez au patient ou au soignant d'appeler immédiatement le fournisseur de soins de santé du patient s'il ressent des signes et / ou des symptômes associés à une néphrite tubulo-interstitielle aiguë [voir Avertissements et précautions ].

Instructions d'administration importantes pour Talicia

  • Conseiller aux patients de prendre quatre (4) capsules de talicia trois fois par jour (au moins 4 heures d'intervalle, par exemple le matin et le soir) avec de la nourriture pendant 14 jours. Ils ne devraient pas écraser ou mâcher des capsules.
  • Conseiller aux patients d'avaler des talicia avec au moins 8 onces d'eau.
  • Conseiller aux patients de ne pas prendre Talicia avec de l'alcool.
  • Doses manquées: Informez les patients que si une dose est manquée et que la dose suivante n'est pas dans les 4 heures d'administrer dès que possible. Cependant, si une dose est manquée et que la dose suivante est dans les 4 heures d'administrer la dose manquée dès que possible et de retarder la dose suivante pour s'assurer qu'il y a au moins 4 heures entre deux doses. Il est important pour les patients de terminer l'ensemble du traitement du traitement.
  • Conseiller les patients selon lesquels les antiacides peuvent être utilisés concomitamment avec Talicia.
  • Conseiller les patients pour poursuivre le cours complet de Talicia, que leurs symptômes s'améliorent ou non. Bien que le changement dans les symptômes de la dyspepsie puisse se produire (amélioration ou aggravation), il est peu probable qu'il soit lié à la H. pylori infection. Conseiller les patients ce traitement de H. pylori L'infection est importante en raison de son association avec les ulcères de l'estomac gastrite atrophique et un risque accru de cancer gastrique.

Résistance antibactérienne

Les patients doivent être informés que les médicaments antibactériens, y compris les talicia, ne doivent être utilisés que pour traiter les infections bactériennes. Ils ne traitent pas les infections virales (par exemple le rhume). Lorsque Talicia est prescrit pour traiter une infection bactérienne, les patients doivent être informés que, bien qu'il soit courant de se sentir mieux au début du traitement, le médicament doit être pris exactement comme indiqué. Sauter les doses ou ne pas terminer le cours complet du traitement peut (1) diminuer l'efficacité du traitement immédiat et (2) augmenter la probabilité que les bactéries développent une résistance et ne seront pas traitées par Talicia ou d'autres médicaments antibactériens à l'avenir [voir Avertissements et précautions ].