Les Informations Présentées Sur Ce Site Ne Constituent Pas Un Avis Médical. Nous Ne Vendons Rien. L'Exactitude De La Traduction N'Est Pas Garantie. Clause De Non-Responsabilité

Tussigon

Résumé

Qu'est-ce que Tussigon?

Les comprimés de tussigon (bitartrat d'hydrocodone et méthylbromide d'homatropine) est une combinaison d'un médicament contre la toux narcotique et d'un médicament qui fonctionne contre le stupéfiant pour empêcher une surdose utilisée pour traiter la toux.

Quels sont les effets secondaires de Tussigon?

Tussigon

  • urticaire
  • difficulté à respirer
  • gonflement de ton visage lèvres langue ou gorge
  • respiration interrompue pendant le sommeil
  • douleurs à l'estomac
  • changements mentaux ou d'humeur
  • agitation
  • confusion
  • hallucinations
  • Urilation difficile ou douloureuse
  • douleurs oculaires
  • gonflement ou rougeur de l'œil
  • changements de vision
  • voir des halos autour des lumières
  • vision floue
  • respiration peu profonde ou irrégulière
  • somnolence sévère
  • difficulté à se réveiller
  • crise d'épilepsie
  • évanouissement et
  • étourdissements sévères

Obtenez de l'aide médicale immédiatement si vous présentez l'un des symptômes énumérés ci-dessus.



Les effets secondaires courants du tussigon comprennent:

  • sédation
  • somnolence
  • troublant
  • léthargie
  • altération des performances mentales et physiques
  • anxiété
  • peur
  • inquiétude
  • vertiges
  • dépendance psychique
  • changements d'humeur
  • nausée
  • vomissement
  • constipation
  • rétention urinaire
  • dépression respiratoire
  • éruption cutanée et
  • démangeaison.

Cherchez des soins médicaux ou appelez le 911 à la fois si vous avez les effets secondaires graves suivants:

quel mg est-ce que vicodin entre
  • Des symptômes oculaires graves tels que la perte de vision soudaine floue du tunnel de vision de la vision de la vision des yeux ou de l'enflure ou de voir des halos autour des lumières;
  • Symptômes cardiaques graves tels que les battements cardiaques rapides ou battants; flotter dans votre poitrine; essoufflement; et des étourdissements soudains, de la légèreté ou de l'évanouissement;
  • Maux de tête sévères Confusion Slurred Speech Bras ou Ligne Proulitude Trouble de la merde Perte de coordination Sentiment des muscles très rigides très rigides Fièvre élevée Propice ou des tremblements.

Ce document ne contient pas tous les effets secondaires possibles et d'autres peuvent survenir. Vérifiez auprès de votre médecin des informations supplémentaires sur les effets secondaires.

Dosage pour le tussigon

La dose adulte de tussigon est d'une (1) comprimé toutes les 4 à 6 heures au besoin; Ne dépassez pas six (6) comprimés en 24 heures. La dose de tussigon pour les enfants de 6 à 12 ans est la moitié (1/2) comprimé toutes les 4 à 6 heures au besoin; Ne dépassez pas trois (3) comprimés en 24 heures.

Quelles substances ou suppléments de médicaments interagissent avec Tussigon?

Le tussigon peut interagir avec les narcotiques antihistaminiques anti-psychotiques agents antianxiété d'autres dépresseurs du SNC (y compris l'alcool) inhibiteurs du MAO et les antidépresseurs tricycliques. Dites à votre médecin tous les médicaments et suppléments que vous utilisez.

Tussigon pendant la grossesse ou l'allaitement

Dites à votre médecin si vous êtes enceinte ou prévoyez de tomber enceinte avant d'utiliser Tussigon; On ne sait pas comment cela affectera un fœtus. Les bébés nés de mères qui ont pris des opioïdes tels que l'hydrocodone à Tussigon régulièrement avant l'accouchement seront physiquement dépendantes. On ne sait pas si le tussigon passe dans le lait maternel. L'allaitement maternel lors de l'utilisation de Tussigon n'est pas recommandé. Des symptômes de sevrage peuvent survenir si vous arrêtez soudainement de tussigon.

Informations Complémentaires

Nos comprimés de tussigon (bitartrat à hydrocodone et méthylbromure d'homatropine) Centre de médicaments à effet secondaire offre une vue complète des informations sur les médicaments disponibles sur les effets secondaires potentiels lors de la prise de ce médicament.

Informations sur les médicaments de la FDA

Description de Tussigon

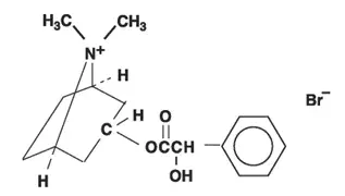
Le tussigon contient de l'hydrocodone (dihydrocodéinone) bitartrate un narcotique à action centrale semi-synthétique. Le méthylbromide d'homatropine est inclus dans un montant sous-thérapeutique pour décourager un surdosage délibéré.

Chaque comprimé de tussigon contient: bitartrat hydrocodone USP 5 mg d'homatropine méthylbromide USP 1,5 mg.

Le composant d'hydrocodone est 45 á- epoxy-3-méthoxy-17-méthylmorphinan -6-one-tartrate (1: 1) hydrate (2: 5) Une poudre de cristal blanche fin ou cristallin qui est dérivée de l'opium alcaloïde thebaine a un poids moléculaire de (NULL,50) et peut être représenté par la forme structurelle suivante:


C 18 H 21 N0 3 • C. 4 H 6 0 6 • 2 moish 2 0
Hydrocodone Bitartrate

L'homatropine méthylbromide est 8- Azoniabicyclo [3.2.1] Octane 3 - [(hydroxy phénylacétyl) oxy] -8 8- diméthyl-bromure endo- un cristal blanc ou une fine poudre cristalline blanche avec un poids moléculaire de (NULL,29).


C 17 H 24 Brn0 3
Homatropine méthylbromide

Utilisations pour Tussigon

Le tussigon est indiqué pour le soulagement symptomatique de la toux.

Dosage pour le tussigon

Adulte

Un (1) comprimé toutes les 4 à 6 heures au besoin; Ne dépassez pas six (6) comprimés en 24 heures.

Enfants de 6 à 12 ans

La moitié (1/2) comprimé toutes les 4 à 6 heures au besoin; Ne dépassez pas trois (3) comprimés en 24 heures.

endroits abordables où aller

Comment fourni

Chaque comprimé à score bleu contient 5 mg de bitartrate d'hydrocodone et 1,5 mg de méthylbromure d'homatropine et est disponible en:

Bouteilles de 100 NDC 61570-102-01

Conserver à température ambiante contrôlée de 15 ° à 30 ° C (59 ° –86 ° F). Prescription orale, là où la loi de l'État.

L'étiquette de ce produit peut avoir été mise à jour. Pour les informations de prescription complètes actuelles, veuillez visiter www.pfizer.com.

Distribué par: Pfizer Inc New Yorkny 10017.Révisé: août 2016.

Effets secondaires pour Tussigon

Système nerveux central

Sédation Drowseness Message mental Affaiblissement de léthargie des performances mentales et physiques anxiété de peur Dysphorie Dysphorie Vérification des étourdissements Dépendance psychique Changements d'humeur.

Système gastro-intestinal

Des nausées et des vomissements peuvent se produire; Ils sont plus fréquents en ambulatoire que chez les patients couchés.

L'administration prolongée de tussigon peut produire une constipation.

Système génito-urinaire

Les spasmes urétéral des sphincères vésicules et la rétention urinaire ont été signalés avec des opiacés.

Dépression respiratoire

Tussigon peut produire une dépression respiratoire liée à la dose en agissant directement sur les centres respiratoires des traits cérébraux (voir Surdosage ).

Dermatologique

Impression cutanée.

gabapentine 300 mg de capsule effets secondaires

Interactions médicamenteuses pour Tussigon

Les patients recevant des narcotiques antihistaminiques antianxiété antianxiété ou autres dépresseurs du SNC (y compris l'alcool) en même temps que le tussigon peuvent présenter une dépression additive du SNC. Lorsque la thérapie combinée est envisagée, la dose d'un ou des deux agents doit être réduite.

L'utilisation d'inhibiteurs du MAO ou d'antidépresseurs tricycliques avec des préparations d'hydrocodone peut augmenter l'effet des antidépresseurs ou de l'hydrocodone.

Abus de drogues et dépendance

Tussigon est un stupéfiant de l'annexe II. Dépendance psychique La dépendance physique et la tolérance peuvent se développer sur l'administration répétée de stupéfiants; Par conséquent, Tussigon doit être prescrit et administré avec prudence. Cependant, il est peu probable que la dépendance psychique se développe lorsque Tussigon est utilisé pendant une courte période pour le traitement de la toux. Dépendance physique La condition dans laquelle l'administration continue du médicament est nécessaire pour empêcher l'apparition d'un syndrome de sevrage supposent des proportions cliniquement significatives qu'après plusieurs semaines d'utilisation continue de stupéfiants oraux, bien qu'un degré léger de dépendance physique puisse se développer après quelques jours de thérapie de stupéfiants.

Avertissements for Tussigon

L'hydrocodone peut produire une dépendance médicamenteuse du type de morphine et a donc le potentiel d'être maltraité. Dépendance psychique La dépendance physique et la tolérance peuvent se développer sur l'administration répétée de Tussigon et il doit être prescrit et administré avec le même degré de prudence approprié à l'utilisation d'autres drogues narcotiques (voir Abus de drogues et dépendance ).

Dépression respiratoire

Tussigon produit une dépression respiratoire liée à la dose en agissant directement sur les centres respiratoires du tronc cérébral. Si la dépression respiratoire se produit, elle peut être antagonisée par l'utilisation de chlorhydrate de naloxone et d'autres mesures de soutien lorsque cela est indiqué.

Traumatisme crânien et augmentation de la pression intracrânienne

Les propriétés de dépression respiratoire des stupéfiants et leur capacité à élever la pression du liquide céphalorachidien peuvent être nettement exagérées en présence d'une blessure à la tête d'autres lésions intracrâniennes ou une augmentation préexistante de la pression intracrânienne. De plus, les stupéfiants produisent des effets indésirables qui peuvent obscurcir l'évolution clinique des patients souffrant de traumatismes crâniens.

Conditions abdominales aiguës

L'administration de tussigon ou d'autres stupéfiants peut obscurcir le diagnostic ou l'évolution clinique des patients souffrant de maladies abdominales aiguës.

Usage pédiatrique

Chez les jeunes enfants ainsi que les adultes, le centre respiratoire est sensible à l'action dépressive des suppresseurs contre la toux narcotique d'une manière dépendante de la dose. Le rapport bénéfice au risque doit être soigneusement pris en compte, en particulier chez les enfants souffrant d'embarras respiratoire (par exemple, croup).

Précautions for Tussigon

Général

Avant de prescrire des médicaments pour supprimer ou modifier la toux, il est important de déterminer que la cause sous-jacente de la toux est identifié que la modification de la toux n'augmente pas le risque de complications cliniques ou physiologiques et qu'une thérapie appropriée pour la maladie primaire est fournie.

Patients à risque spécial

Le tussigon doit être accordé avec prudence à certains patients tels que les personnes âgées ou affaiblies et ceux qui ont une sévère altération des fonctions hépatiques ou rénales Hypothyroïdie de l'hypothyroïdie de l'hypothyroïdie de la maladie de la maladie de l'addison ou de la sténose urétrale et de l'asthme étroit et à l'angle étroit glaucome .

Carcinogenèse Mutagenèse A trouble de la fertilité

Des études sur le tussigon chez les animaux pour évaluer le potentiel cancérigène et mutagène et l'effet sur la fertilité n'ont pas été menés.

Grossesse

Effets tératogènes

Des études de reproduction animale n'ont pas été menées avec Tussigon. On ne sait pas non plus si le tussigon peut causer un dommage fœtal lorsqu'il est administré à une femme enceinte ou peut affecter la capacité de reproduction. Tussigon ne doit être donné à une femme enceinte que si elle est clairement nécessaire.

Qu'est-ce que le supplément DIM utilisé pour
Effets non teratogènes

Les bébés nés de mères qui ont pris des opioïdes régulièrement avant l'accouchement seront physiquement dépendantes. Les signes de sevrage comprennent: l'irritabilité et les tremblements de pleurs excessifs réflexes hyperactifs augmentent la fréquence respiratoire accrue des selles augmentées en éternuement des vomissements de bâillement et de la fièvre. L'intensité du syndrome n'est pas toujours en corrélation avec la durée de l'utilisation ou de la dose d'opioïdes maternelles.

Travail et accouchement

Comme pour toute l'administration de stupéfiants de Tussigon à la mère peu de temps avant que l'accouchement puisse entraîner un certain degré de dépression respiratoire chez le nouveau-né, en particulier si des doses plus élevées sont utilisées.

Mères qui allaitent

On ne sait pas si ce médicament est excrété dans le lait maternel. Étant donné que de nombreux médicaments sont excrétés dans le lait maternel et en raison du potentiel de réactions indésirables graves chez les nourrissons en soins infirmiers de Tussigon, une décision devrait être prise de cesser les soins infirmiers ou d'arrêter le médicament en tenant compte de l'importance du médicament pour la mère.

Usage pédiatrique

La sécurité et l'efficacité du tussigon chez les enfants de moins de six ans n'ont pas été établies.

Informations sur la surdose pour Tussigon

Signes et symptômes

Un surdosage grave avec l'hydrocodone est caractérisé par une dépression respiratoire (une diminution de la fréquence respiratoire et / ou du volume de marée de la cyanose respiration de Cheyne-Stokes) Somnolence extrême en progressant vers la stupeur ou l'hypotension des muscles squelettiques de la stupeur ou du coma. Dans un surdosage sévère d'apnée d'apnée circulatoire, un arrêt cardiaque et une mort peuvent survenir. L'ingestion de très grandes quantités de tussigon peut en outre entraîner une intoxication aiguë à l'homatropine.

Traitement

Une attention primaire doit être accordée au rétablissement d'un échange respiratoire adéquat par la fourniture d'une voie aérienne de brevet et de l'institution d'une ventilation assistée ou contrôlée. Le chlorhydrate de naloxone antagoniste narcotique est un antidote spécifique pour la dépression respiratoire qui peut résulter d'un surdosage ou d'une sensibilité inhabituelle aux stupéfiants, y compris l'hydrocodone. Par conséquent, une dose appropriée de chlorhydrate de naloxone doit être administrée de préférence par la voie intraveineuse simultanément avec des efforts de réanimation respiratoire. Pour plus d'informations, voir les informations de prescription complètes pour le chlorhydrate de naloxone. Un antagoniste ne doit pas être administré en l'absence de dépression respiratoire cliniquement significative. Oxygène Les liquides intraveineux, les vasopresseurs et autres mesures de soutien doivent être utilisés comme indiqué. La vidange gastrique peut être utile pour éliminer le médicament non absorbé.

meilleures auberges à New York

Contre-indications pour Tussigon

Le tussigon ne doit pas être administré à des patients hypersensibles à l'hydrocodone ou à l'homatropine méthylbromide.

Pharmacologie clinique for Tussigon

L'hydrocodone est un narcotique semi-synthétique antitussif et analgésique avec plusieurs actions qualitativement similaires à celles de la codéine. Le mécanisme précis d'action de l'hydrocodone et d'autres opiacés n'est pas connu; Cependant, l'hydrocodone agit directement sur le centre de toux. En doses excessives, l'hydrocodone comme d'autres dérivés d'opium déprimera la respiration. Les effets de l'hydrocodone dans les doses thérapeutiques sur le système cardiovasculaire sont insignifiants. L'hydrocodone peut produire de la Miosis Euphoria, dépendance physique et psychologique.

Après une dose orale de 10 mg d'hydrocodone administrée à cinq sujets mâles adultes, la concentration de pic moyenne était de 23,6 ± 5,2 ng / ml. Des taux sériques maximaux ont été atteints à 1,3 ± 0,3 heures et la demi-vie a été déterminée à 3,8 ± 0,3 heures. L'hydrocodone présente un schéma complexe de métabolisme, notamment la déméthylation de 0 dééméthylation et la réduction des 6-céto aux 6-á et 6-hydroxymétabolites 6-° correspondants.

Informations sur les patients pour Tussigon

L'hydrocodone peut altérer les capacités mentales et / ou physiques requises pour l'exécution de tâches potentiellement dangereuses telles que la conduite d'une voiture ou d'une machinerie d'exploitation. Le patient utilisant Tussigon doit être mis en garde en conséquence.