Les Informations Présentées Sur Ce Site Ne Constituent Pas Un Avis Médical. Nous Ne Vendons Rien. L'Exactitude De La Traduction N'Est Pas Garantie. Clause De Non-Responsabilité



Concept

Résumé

Qu'est-ce que Cellcept?

Cellcept (mycophénolate mofetil) est un agent immunosuppresseur utilisé pour empêcher votre corps de rejeter un foie rénal ou une transplantation cardiaque. Cellcept est généralement donné avec la cyclosporine ( Sandimmune Néoral ) et un médicament stéroïde. Cellcept est disponible en générique formulaire.

Quels sont les effets secondaires de Cellcept?

Concept



  • fièvre
  • glandes gonflées
  • plaies de bouche douloureuses
  • symptômes de rhume ou de grippe
  • mal de tête
  • douleurs à l'oreille
  • douleurs à l'estomac
  • vomissement
  • diarrhée
  • perte de poids
  • faiblesse d'un côté de votre corps
  • Perte de contrôle musculaire
  • confusion
  • problèmes de réflexion
  • perte d'intérêt pour des choses qui vous intéressent normalement
  • douleur ou brûlure lorsque vous urinez
  • sensibilité autour des reins transplantés
  • gonflement de la chaleur rouge ou suinte autour d'une blessure cutanée
  • Nouvelle lésion ou taupe cutanée qui a changé de taille ou de couleur
  • selles sanglantes ou goudronneuses
  • cracher du sang ou du vomi qui ressemble à un marc de café
  • maux de tête sévères
  • vision floue
  • battant dans votre cou ou vos oreilles
  • anxiété
  • saignements de nez
  • frissons
  • fatigue
  • plaies de la peau
  • ecchymoses faciles
  • saignement inhabituel
  • peau pâle
  • mains ou pieds froids et
  • étourdissement

Obtenez de l'aide médicale immédiatement si vous présentez l'un des symptômes énumérés ci-dessus.



Les effets secondaires courants de Cellcept comprennent:

  • constipation
  • nausée
  • mal de tête
  • diarrhée
  • vomissement
  • douleurs à l'estomac ou upset
  • perte d'appétit
  • gaz
  • tremblement
  • Diffusion de sommeil (insomnie)
  • faiblesse
  • gonflement dans vos mains ou vos pieds
  • engourdissement ou sentiment de piqûre ou
  • anxiété.

Dites à votre médecin si vous ressentez des effets secondaires improbables mais graves de Cellcept, notamment:



  • fatigue inhabituelle
  • rythme cardiaque rapide ou irrégulier
  • faiblesse musculaire
  • Saignement ou ecchymose facile
  • gonflement des pieds ou des chevilles
  • changements mentaux / d'humeur
  • faiblesse on one side of the body ou
  • Changement inhabituel de la quantité d'urine.

Appelez votre médecin tout de suite si vous avez les effets secondaires graves suivants:

  • vision floue tunnel vision eye douleur ou swelling ou seeing halos around lights;
  • Les battements cardiaques rapides ou battants flottent dans votre essoufflement poitrine et les étourdissements soudains;
  • De faibles niveaux de sodium dans le corps avec des maux de tête graves confusion discours lié à la faiblesse grave vomissant la perte de coordination en se sentant instable; ou
  • Réaction sévère du système nerveux avec des muscles très rigides (rigides) Fièvre élevée transpirant confusion rapide ou rythmes cardiaques inégaux et se sentant comme si vous pourriez s'évanouir.

Dosage pour Cellcept

La dose de concept cellulaire dépend du type de greffe effectuée.

Quelles substances ou suppléments de médicaments interagissent avec Cellcept?

Cellcept peut interagir avec les antibiotiques de cholestyramine acyclovir Le ganciclovir valacyclovir ou d'autres médicaments qui affaiblissent le système immunitaire. Dites à votre médecin tous les médicaments que vous utilisez.

Cellcept pendant la grossesse et l'allaitement

Cellcept n'est pas recommandé pour une utilisation pendant la grossesse en raison d'un éventuel dommage au fœtus. Les femmes en âge de procréer devraient passer un test de grossesse négatif dans la semaine suivant le début de ce médicament. Utilisez deux formes de contraception à partir de 4 semaines avant de commencer la thérapie et continuez pendant au moins 6 semaines après l'arrêt du médicament. Consultez votre médecin. On ne sait pas si ce médicament passe dans le lait maternel, mais il peut avoir des effets indésirables sur un nourrisson infirmier. L'allaitement maternel n'est pas recommandé lors de l'utilisation de ce médicament et pendant 6 semaines après l'avoir arrêté. Consultez votre médecin pour plus de détails.

Informations Complémentaires

Notre centre de médicaments à effets secondaires de Cellcept (mycophénolate mofetil) offre une vue complète des informations sur les médicaments disponibles sur les effets secondaires potentiels lors de la prise de ce médicament.

Informations sur les médicaments de la FDA

AVERTISSEMENT

Mélangeries de toxicité embryofétale et infections graves

L'utilisation pendant la grossesse est associée à une augmentation des risques de perte de grossesse du premier trimestre et de malformations congénitales. Les femmes de potentiel reproducteur (FRP) doivent être conseillées concernant la prévention et la planification de la grossesse (voir AVERTISSEMENTS et PRÉCAUTIONS ).

L'immunosuppression peut entraîner une sensibilité accrue à l'infection et un éventuel développement du lymphome. Seuls les médecins expérimentés dans la thérapie immunosuppressive et la gestion des patients cardiaques rénaux ou de transplantation hépatique devraient prescrire celle de cellule. Les patients recevant le médicament doivent être gérés dans des établissements équipés et dotés d'un laboratoire adéquat et de ressources médicales de soutien. Le médecin responsable de la thérapie d'entretien devrait avoir des informations complètes requises pour le suivi du patient (voir AVERTISSEMENTS et PRÉCAUTIONS ).

Description de Cellcept

Cellcept (mycophénolate mofetil) est l'ester de 2 morpholinoéthyle de l'acide mycophénolique (MPa) un agent immunosuppresseur; Inhibiteur de l'inosine monophosphate déshydrogénase (IMPDH).

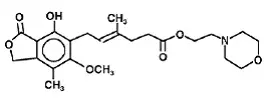
Le nom chimique du mycophénolate mofetil (MMF) est le 2-morpholinoéthyl (E) -6- (13-dihydro-4-hydroxy-6- méthoxy-7-méthyl-3-oxo-5-isobenzofuranyl) -4-méthyl-4-hexénoate. Il a une formule empirique de C 23 H 31 NON 7 Un poids moléculaire de 433,50 et la formule structurelle suivante:

Le mycophénolate mofetil est une poudre cristalline blanche à blanc cassé. Il est légèrement soluble dans l'eau (43 μg / ml à pH 7,4); La solubilité augmente dans le milieu acide (NULL,27 mg / ml à pH 3,6). Il est librement soluble dans l'acétone soluble dans le méthanol et soluble avec parcimonie dans l'éthanol. Le coefficient de partition apparent dans la solution de tampon 1-octanol / eau (pH 7,4) est de 238. Les valeurs de PKA pour le mofetil de mycophénolate sont de 5,6 pour le groupe morpholino et 8,5 pour le groupe phénolique.

Le chlorhydrate de mycophénolate mofetil a une solubilité de 65,8 mg / ml dans l'injection de dextrose à 5% USP (D5W). Le pH de la solution reconstituée est de 2,4 à 4.1.

Cellcept est disponible pour l'administration orale sous forme de capsules contenant 250 mg de comprimés de mofetil de mycophénolate contenant 500 mg de mycophénolate mofetil et comme une poudre pour la suspension orale qui, lorsqu'elle est constituée, contient 200 mg / ml de mofetil de mycophénolate.

Les ingrédients inactifs dans les capsules de 250 mg de cellule comprennent la povidone de croscarmellose de magnésium de sodium (K-90) et l'amidon prégelatinisé. Les coquilles de capsule contiennent de l'oxyde de fer noir FD

Les ingrédients inactifs de Cellcept 500 mg comprimés comprennent l'oxyde de fer noir croscarmellose sodium fd

Les ingrédients inactifs de la suspension buccale de Cellcept comprennent le dioxyde de silicium colloïdal anhydre et le fruit mélangé au sodium de sodium de sodium de sodium de sodium de sodium de sodium de sodium de sodium de sodium de sodium de sodium de sodium de sodium de sodium de sodium de sodium de sodium de sodium.

Cellcept intraveineux est le sel de chlorhydrate du mycophénolate mofetil. Le nom chimique du sel de chlorhydrate du mycophénolate mofetil est le 2-morpholinoéthyl (E) -6- (13-dihydro-4-hydroxy-6-méthoxy-7- méthyl-3-oxo-5-isobenzofuranyl) -4-méthyl-4-hexénoate hydrochlorure. Il a une formule empirique de C 23 H 31 NON 7 HCl et un poids moléculaire de 469,96.

Cellcept intraveineux est disponible sous forme de poudre lyophilisée blanche à blanc stérile à blanc dans des flacons contenant du chlorhydrate de mycophénolate mofetil pour l'administration par perfusion intraveineuse uniquement. Chaque flacon de Cellcept intraveineux contient l'équivalent de 500 mg de mycophénolate mofetil comme sel de chlorhydrate. Les ingrédients inactifs sont du polysorbate 80 25 mg et de l'acide citrique 5 mg. L'hydroxyde de sodium peut avoir été utilisé dans la fabrication de cellules par voie intraveineuse pour ajuster le pH. Reconstitution et dilution avec une injection de dextrose à 5% USP donne une solution légèrement jaune de mycophénolate mofetil 6 mg / ml. (Pour une méthode de préparation détaillée, voir Posologie et administration ).

Utilisations pour Cellcept

Cellcept [mycophénolate mofetil (MMF)] est indiqué pour la prophylaxie du rejet d'organe chez les receveurs adultes et pédiatriques de 3 mois et plus de reins allogéniques [voir Études cliniques ] coeur [voir Études cliniques ] ou des transplantations hépatiques [voir Études cliniques ] en combinaison avec d'autres immunosuppresseurs.

Dosage pour Cellcept

Instructions d'administration importantes

Cellcept ne doit pas être utilisé sans la supervision d'un médecin ayant une expérience en thérapie immunosuppressive.

Comprimés de capsules de concepts et suspension buccale

Formes de dosage oral de concept (comprimés de capsules ou suspension orale) ne doit pas être utilisé de manière interchangeable avec des comprimés à libération retardée d'acide mycophénolique sans supervision d'un médecin ayant une expérience en thérapie immunosuppressive Parce que les taux d'absorption suivant l'administration de formes posologiques orales de cellule et de comprimés à libération retardée de l'acide mycophénolique ne sont pas équivalents.

Les comprimés de cellule ne doivent pas être écrasés et les capsules de concept de cellule ne doivent pas être ouvertes ou écrasées. Les patients doivent éviter l'inhalation ou le contact de la peau ou des muqueuses avec la poudre contenue dans les capsules de cellules et la suspension orale. Si un tel contact se produit, ils doivent soigner soigneusement la zone de contact avec du savon et de l'eau. En cas de contact oculaire, rincez les yeux avec de l'eau ordinaire.

La dose orale initiale de concept cellulaire doit être donnée dès que possible après le cœur rénal ou la transplantation hépatique. Il est recommandé que Cellcept soit administré à jeun. Chez les patients transplantés stables, mais le concept de cellule peut être administré avec de la nourriture si nécessaire [voir Pharmacologie clinique ]. Une fois que la suspension orale de cellules reconstituée ne doit être mélangée avec des liquides avant l'administration de la dose. Si nécessaire, la suspension orale de cellules peut être administrée via un tube nasogastrique avec une taille minimale de 8 français (diamètre intérieur minimum de 1,7 mm).

Les patients doivent être invités à prendre une dose manquée dès qu'ils se souviennent, sauf s'il est plus proche de 2 heures à la prochaine dose prévue; Dans ce cas, ils devraient continuer à prendre CELLESCET à la période habituelle.

Cellcept intraveineux

Cellcept intraveineux is recommended fou patients unable à take oual Concept. Cellcept intraveineux should be administered within 24 hours following transplant. Cellcept intraveineux can be administered fou up à 14 days; however patients should be switched à oual Concept as soon as they can àlerate oual medication.

Cellcept intraveineux must be reconstituted befoue use [voir Instructions de préparation de la suspension orale et intraveineuse pour les pharmaciens ]. Cellcept intraveineux est incompatible avec d'autres solutions de perfusion intraveineuses et ne doit pas être mélangé ou administré simultanément via le même cathéter de perfusion avec d'autres médicaments intraveineux ou adjuvants de perfusion.

Cellcept intraveineux must not be administered as a bolus. Following reconstitution Cellcept intraveineux must be administered by slow intravenous infusion over a period of no less than 2 hours by either peripheral ou central vein as rapid infusion increases the risk of local adverse reactions such as phlebitis et thrombosis [voir Effets indésirables ].

Qu'est-ce que la klonopine est utilisée pour traiter

Recommandations posologiques pour les patients transplantés rénaux

Adultes

La dose recommandée pour les patients atteints de transplantation rénale adulte est 1 g infusée par voie orale ou intraveineuse sur pas moins de 2 heures deux fois par jour (dose quotidienne totale de 2 g).

Pédiatrie (3 mois et plus)

Le dosage pédiatrique est basé sur la surface du corps (BSA). La dose recommandée de la suspension orale de cellules pour les patients atteints de transplantation rénale pédiatrique de 3 mois et plus est de 600 mg / m 2 administré deux fois par jour (dose quotidienne totale maximale de 2 g ou 10 ml de la suspension orale). Patients pédiatriques atteints de BSA ≥ 1,25 m 2 Peut être dosé avec des capsules ou des tablettes comme suit:

Tableau 1 Transplan rénal pédiatrique: dosage utilisant des capsules ou des comprimés

Surface corporelle Dosage
1,25 m 2 à <1.5 m 2 Capsule de concept de cellule 750 mg deux fois par jour (NULL,5 g de dose quotidienne au total)
≥ 1,5 m 2 Capsules ou comprimés de concept de cellule 1 g deux fois par jour (2 g au total par jour
dose)

Dosage Recommendations Fou Heart Transplant Patients

Adultes

La dose recommandée de Cellcept pour les patients atteints de transplantation cardiaque adulte est de 1,5 g infusé oralement ou par voie intraveineuse sur pas moins de 2 heures administré deux fois par jour (dose quotidienne totale de 3 g).

Pédiatrie (3 mois et plus)

La dose de départ recommandée de la suspension orale de cellules pour les patients atteints de transplantation cardiaque pédiatrique de 3 mois et plus est de 600 mg / m 2 administré deux fois par jour. S'il est bien toléré, la dose peut être augmentée à une dose d'entretien de 900 mg / m 2 Deux fois par jour (dose quotidienne totale maximale de 3 g ou 15 ml de la suspension orale). La dose peut être individualisée en fonction de l'évaluation clinique.

Patients pédiatriques atteints de BSA ≥1,25 m 2 Peut être démarré en thérapie avec des capsules ou des comprimés comme suit:

Tableau 2 Transplant cardiaque pédiatrique: dosage de démarrage pédiatrique à l'aide de capsules ou de comprimés

Surface corporelle Dosage de démarrage *
1,25 m 2 à <1.5 m 2 Capsule de concept de cellule 750 mg deux fois par jour (NULL,5 g de dose quotidienne au total)
≥ 1,5 m 2 Capsules ou comprimés de concept de cellule 1 g deux fois par jour (2 g au total par jour
dose)
* Dose de maintenance maximale: 3 g au total tous les jours.

Dosage Recommendations Fou Liver Transplant Patients

Adultes

La dose recommandée de Cellcept pour les patients atteints de transplantation hépatique adulte est administrée par voie orale deux fois par jour (dose quotidienne totale de 3 g) ou 1 g infusé par voie intraveineuse sur pas moins de 2 heures deux fois par jour (dose quotidienne totale de 2 g).

Pédiatrie (3 mois et plus)

La dose de départ recommandée de la suspension orale de cellules pour les patients atteints de transplantation hépatique pédiatrique de 3 mois et plus est de 600 mg / m / m 2 administré deux fois par jour. S'il est bien toléré, la dose peut être augmentée à une dose d'entretien de 900 mg / m 2 Deux fois par jour (dose quotidienne totale maximale de 3 g ou 15 ml de la suspension orale). La dose peut être individualisée en fonction de l'évaluation clinique.

Patients pédiatriques atteints de BSA ≥1,25 m 2 Peut être démarré en thérapie avec des capsules ou des comprimés comme suit:

Tableau 3 Transplant hépatique pédiatrique: Dosage de démarrage pédiatrique à l'aide de capsules ou de comprimés

Surface corporelle Dosage de démarrage *
1,25 m 2 à <1.5 m 2 Capsule de concept de cellule 750 mg deux fois par jour (NULL,5 g de dose quotidienne au total)
≥ 1,5 m 2 Capsules ou comprimés de concept de cellule 1 g deux fois par jour (2 g au total par jour
dose)

Dosage Modifications

Patients atteints de neutropénie des troubles rénaux

Trouble rénal

Aucune modification de dosage n'est nécessaire chez les patients transplantés rénaux avec une fonction de greffe retardée postopératoire [voir Pharmacologie clinique ]. In Patiens de transplantation rénale présentant une altération chronique sévère de la greffe (GFR <25 mL/min/1.73 m 2 ) N'administrez pas de doses de cellule supérieures à 1 g deux fois par jour. Ces patients doivent être soigneusement surveillés [voir Pharmacologie clinique ].

Neutropénie

Si la neutropénie se développe (ANC <1.3 x 10 3 / ml) Le dosage avec Cellcept doit être interrompu ou réduit les tests de diagnostic appropriés effectués et le patient a géré de manière appropriée [voir AVERTISSEMENTS ET PRÉCAUTIONS et Effets indésirables ].

Instructions de préparation de la suspension orale et intraveineuse pour les pharmaciens

Instructions de préparation générale avant de gérer les formulations

Le mycophénolate mofetil (MMF) a démontré des effets tératogènes chez l'homme. Suivez les procédures de gestion et d'élimination spéciales applicables 1 [voir AVERTISSEMENTS ET PRÉCAUTIONS Effets indésirables Utiliser dans des populations spécifiques Comment fourni ].

Il faut veiller à éviter l'inhalation ou le contact direct avec la peau ou les muqueuses de la poudre sèche ou la suspension constituée car le MMF a démontré des effets tératogènes chez l'homme. Le port de gants jetables est recommandé lors de la reconstitution et lors de l'essuyage de la surface extérieure de la bouteille / capuchon et de la surface de la table après la reconstitution. Si un tel contact se produit complètement laver les mains avec du savon et de l'eau; Rince les yeux avec de l'eau.

Alerter les patients qu'ils et d'autres devraient également éviter l'inhalation ou le contact de la peau ou des muqueuses avec la suspension orale. Conseillez-leur de laver soigneusement la zone avec du savon et de l'eau si un tel contact se produit; Si le contact oculaire se produit en rinçant les yeux à l'eau ordinaire.

Suspension orale de cellules

Suspension orale de cellules must be reconstituted by the pharmacist priou à dispensing à the patient. Suspension orale de cellules should not be mixed with any other medication. After reconstitution the oual suspension contains 200 mg/mL MMF.

Avant de procéder avec les étapes de reconstitution, lisez les instructions de préparation générale ci-dessus [voir Instructions de préparation générale avant de gérer les formulations ]. The following are the steps fou reconstitution:

  1. Appuyez plusieurs fois sur la bouteille fermée pour desserrer la poudre.
  2. Mesurez 94 ml d'eau dans un cylindre gradué.
  3. Ajoutez environ la moitié de la quantité totale d'eau pour la reconstitution à la bouteille et secouez bien la bouteille fermée pendant environ 1 minute.
  4. Ajouter le reste de l'eau et secouer bien la bouteille fermée pendant environ 1 minute.
  5. Retirez le capuchon résistant aux enfants et poussez l'adaptateur de bouteille dans le col de bouteille.
  6. Fermer le bouchon avec un capuchon résistant aux enfants. Cela garantira le siège approprié de l'adaptateur de bouteille dans la bouteille et le statut de réduction des enfants du capuchon.
  7. Écrivez la date d'expiration de la suspension constituée sur l'étiquette de la bouteille. (La durée de conservation de la suspension constituée est de 60 jours.)
  8. Dispenser avec les instructions d'utilisation et les distributeurs oraux. Alerter les patients pour lire les informations de gestion importantes décrites dans les instructions d'utilisation.

Stocker une suspension reconstituée à 25 ° C (77 ° F); Excursions autorisées à 15 ° C à 30 ° C (59 ° F à 86 ° F). Le stockage dans un réfrigérateur à 2 ° C à 8 ° C (36 ° F à 46 ° F) est acceptable. Ne congelez pas. Jeter toute partie inutilisée 60 jours après la constitution.

Cellcept intraveineux

Avant de procéder avec les étapes de préparation de Cellcept par voie intraveineuse, lisez les instructions de préparation générale [voir Instructions de préparation générale avant de gérer les formulations ] et notez ce qui suit:

  • Cellcept intraveineux does not contain an antibacterial preservative; therefoue reconstitution et dilution of the product must be perfoumed under aseptic conditions.
  • Ce produit est scellé sous vide et devrait conserver un vide tout au long de sa durée de conservation. Si un manque de vide dans le flacon est noté lors de l'ajout du diluant, le flacon ne doit pas être utilisé.

Cellcept intraveineux must be reconstituted et further diluted. A detailed description of the preparation is given below.

Tableau 4 Instructions de préparation de Cellcept intraveineux pour les pharmaciens

Préparation du
Dose 1g
  1. Reconstituer Deux (2) des flacons de cellule par voie intraveineuse en injectant 14 ml d'injection de dextrose à 5% dans chaque flacon.
  2. Secouez doucement le flacon pour dissoudre le médicament.
  3. Inspectez la solution légèrement jaune résultant pour les particules et la décoloration avant une dilution supplémentaire. Jeter les flacons si les particules ou la décoloration sont observées.
  4. Diluer Le contenu des deux flacons reconstitués (environ 2 x 15 ml) en 140 ml d'usp d'injection de dextrose à 5%.
  5. Inspectez la solution de perfusion résultante et jetez si les particules ou la décoloration sont observées.
Préparation du
Dose de 1,5 g
  1. Reconstituer three (3) vials of Cellcept intraveineux by injecting 14 mL of 5% Dextrose Injection USP inà each vial.
  2. Secouez doucement le flacon pour dissoudre le médicament.
  3. Inspectez la solution légèrement jaune résultant pour les particules et la décoloration avant une dilution supplémentaire. Jeter les flacons si les particules ou la décoloration sont observées.
  4. Diluer Le contenu des trois flacons reconstitués (environ 3 x 15 ml) en 210 ml d'usp d'injection de dextrose à 5%.
  5. Inspectez la solution de perfusion résultante et jetez si les particules ou la décoloration sont observées.

L'administration de la perfusion doit être initiée dans les 4 heures suivant la reconstitution et la dilution du produit médicamenteux. Conserver des solutions à 25 ° C (77 ° F); Excursions autorisées à 15 ° C à 30 ° C (59 ° F à 86 ° F). Jetez la partie inutilisée des solutions reconstituées.

L'injection de cellules ne doit pas être mélangée ou administrée simultanément via le même cathéter de perfusion avec d'autres médicaments intraveineux ou adjuvants.

Comment fourni

Dosage Foums And Strengths

Concept est disponible dans les formulaires et forces posologiques suivants:

Huile minérale pour la constipation chez les adultes
Capsules 250 mg Mycophénolate Mofetil Capsules de gélatine dure à deux pièces Bluebrown Cellcept 250 Imprimé en noir sur la casquette bleue et Roche sur le corps marron
Comprimés 500 mg de comprimés de films en forme de caplet de couleur lavande mofetil de couleur lavande imprimés en noir avec Cellcept 500 d'un côté et Roche de l'autre
Pour oral
suspension
35 g mycophénolate mofetil blanc à la poudre blanc cassé pour la reconstitution
(200 mg / ml lors de la reconstitution)
Pour injection 500 mg de mycophénolate mofetil blanc à blanc lyophilisé blanc dans un flacon à dose unique pour se reconstitution

Stockage et manipulation

Manutention et élimination

Le mycophénolate mofetil (MMF) a démontré des effets tératogènes chez l'homme [voir AVERTISSEMENTS ET PRÉCAUTIONS et Utiliser dans des populations spécifiques ]. Concept tablets should not be crushed et Concept capsules should not be opened ou crushed. Wearing disposable gloves is recommended during reconstitution et when wiping the outer surface of the bottle/cap et the table after reconstitution. Avoid inhalation ou direct contact with skin ou mucous membranes of the powder contained in Concept capsules Suspension orale de cellules (befoue ou after constitution) ou Cellcept intraveineux (during ou after preparation) [voir Posologie et administration ]. Follow applicable special hetling et disposal procedures 1 .

Concept (Mycophenolate Mofetil Capsules) 250 mg

Capsules
Capsules de gélatine dure à deux pièces Blue-Brown imprimées en noir avec Cellcept 250
la casquette bleue et Roche sur le corps brun.
Tailles
Bouteille de 100 - NDC 0004-0259-01
Bouteille de 500 - NDC 0004-0259-43
Stockage
Stocker à 25 ° C (77 ° F); Excursions autorisées à 15 ° C à 30 ° C (59 ° F à 86 ° F)

Concept (Mycophenolate Mofetil Comprimés) 500 mg

Comprimés
Comprimés de films en forme de caplet de couleur lavande imprimés en noir avec Cellcept
500 d'un côté et Roche de l'autre
Tailles
Bouteille de 100 - NDC 0004-0260-01
Bouteille de 500 - NDC 0004-0260-43
Stockage et Dispensing Infoumation:
  • Stocker à 25 ° C (77 ° F); Excursions autorisées à 15 ° C à 30 ° C (59 ° F à 86 ° F).
  • Dispenser dans des conteneurs résistants à la lumière tels que les conteneurs d'origine du fabricant.

Suspension orale de cellules (Mycophenolate Mofetil) Fou Oral Suspension

Pour oral suspension : 35 G Mycophénolate mofetil blanc à la poudre blanche à blanc pour une consultation de saveur de fruits mélangés blanc à blanc cassé
Bouteille de 225 ml avec adaptateur de bouteille et 2 distributeurs oraux NDC 0004-0261-29
Stockage
  • Stocker la poudre sèche à 25 ° C (77 ° F); Excursions autorisées à 15 ° C à 30 ° C (59 ° F à 86 ° F).
  • Le magasin constituait une suspension à 25 ° C (77 ° F); Excursions autorisées à 15 ° C à 30 ° C (59 ° F à 86 ° F) jusqu'à 60 jours. Le stockage dans un réfrigérateur à 2 ° C à 8 ° C (36 ° F à 46 ° F) est acceptable. Ne congelez pas.

Cellcept intraveineux (Mycophenolate Mofetil Fou Injection)

Pour injection : 500 mg de mycophénolate mofetil dans des cartons de flacon à dose unique stérile de 20 ml de 4 flacons
Cartons de 4 flacons à dose unique NDC 0004-0298-09
Stockage
  • Stocker la poudre et une solution de perfusion reconstituée à 25 ° C (77 ° F); Excursions autorisées à 15 ° C à 30 ° C (59 ° F à 86 ° F).

Références

1. Médicaments dangereux de l'OSHA. OSHA. https://www.osha.gov/sltc/hazzardousdrugs/index.html

Distribué par: Genentech USA Inc. Un membre du Roche Group 1 DNA Way South San Francisco CA 94080-4990. Révisé: août 2022

Effets secondaires fou Concept

Les effets indésirables suivants sont discutés plus en détail dans d'autres sections de l'étiquette:

  • Toxicité embryofétale [voir AVERTISSEMENTS ET PRÉCAUTIONS ]
  • Lymphomes et autres tumeurs malignes [voir AVERTISSEMENTS ET PRÉCAUTIONS ]
  • Infections graves [voir AVERTISSEMENTS ET PRÉCAUTIONS ]
  • Dyscrasies sanguines: Neutropénie Aplasie des cellules rouges pures [voir AVERTISSEMENTS ET PRÉCAUTIONS ]
  • Complications gastro-intestinales [voir AVERTISSEMENTS ET PRÉCAUTIONS ]
  • Syndrome inflammatoire aigu associé aux produits mycophénolate [voir AVERTISSEMENTS ET PRÉCAUTIONS ]

Expérience des essais cliniques

Étant donné que les essais cliniques sont menés dans des conditions de réaction indésirables très variables observées dans les essais cliniques d'un médicament ne peuvent pas être directement comparées aux taux dans les essais cliniques d'un autre médicament et ne peuvent pas refléter les taux observés dans la pratique.

Un total estimé de 1557 patients adultes ont reçu des concepts cellulaires lors d'essais cliniques pivots dans la prévention du rejet aigu d'organe. Parmi ces 991 ont été inclus dans les trois études rénales, 277 ont été inclus dans une étude hépatique et 289 ont été inclus dans une étude cardiaque. Les patients de tous les bras d'étude ont également reçu de la cyclosporine et des corticostéroïdes.

Les données décrites ci-dessous dérivent principalement de cinq essais en double aveugle à double aveugle à commande active randomisés de Cellcept en double-aveugle en encore Patients de transplantation rein (3) cardiaque (1) et hépatique (1) [voir Études cliniques ].

Concept Oral

L'incidence des effets indésirables pour les concepts de cellules a été déterminée dans cinq essais comparatifs randomisés à doubleblind dans la prévention du rejet chez les patients atteints de transplantation rénale et de transplantation hépatique (deux essais contrôlés par placement actif et un essai contrôlé actif) [voir respectivement) [voir respectivement) [voir respectivement) [voir un essai à contrôle actif) [voir respectivement) [voir respectivement) [voir Études cliniques ].

Les trois encore Les études rénales avec une durée de 12 mois ont comparé deux niveaux de dose de concept de cellule orale (1 g deux fois par jour et 1,5 g deux fois par jour) avec de l'azathioprine (2 études) ou un placebo (1 étude) lorsqu'ils sont administrés en combinaison avec la cyclosporine (Sandimmune ® ) et les corticostéroïdes pour prévenir les épisodes de rejet aigu. Une étude comprenait également une globuline anti-thymocyte (atgam ® ) Thérapie d'induction.

Dans le encore Une étude de transplantation cardiaque avec des patients de 12 mois de durée a reçu un cellule de 1,5 g deux fois par jour (n = 289) ou de l'azathioprine 1,5 à 3 mg / kg / jour (n = 289) en combinaison avec la cyclosporine (Sandimmune ® ou Neoral ® ) et les corticostéroïdes comme traitement immunosuppresseur d'entretien.

Dans le encore Une étude de transplantation hépatique avec des patients de 12 mois de durée a reçu un Cellcept 1 g deux fois par jour par voie intraveineuse pendant jusqu'à 14 jours suivi de Cellcept 1,5 g deux fois par jour oralement ou de l'azathioprine 1 à 2 mg / kg / jour par voie intraveineuse suivie de la cyclosprine (néoral ® ) et les corticostéroïdes comme traitement immunosuppresseur d'entretien. The àtal number of patients enrolled was 565.

Environ 53% des patients atteints de transplanté rénale 65% des patients atteints de transplanté cardiaque et 48% des patients atteints de transplanté hépatique ont été traités pendant plus d'un an. Les effets indésirables rapportés chez ≥ 20% des patients des groupes de traitement de Cellcept sont présentés ci-dessous. Les données de sécurité de trois études de transplantation rénale sont regroupées.

Tableau 5 Réactions indésirables dans des études contrôlées sur le cœur rénal de novo ou la transplantation hépatique rapportée chez ≥20% des patients du groupe Cellcept

Réaction indésirable Études rénales Étude cardiaque Étude du foie
Concept
2g / jour
(n = 501)
ou 3G / jour
(n = 490)
Ne le faites pas
1 à 2
mg / kg / jour
ou 100 à
150
mg / jour
Placebo Concept
3G / jour
Ne le faites pas
1,5 à 3
mg / kg / jour
Concept
3G / jour
Ne le faites pas 1 à 2
mg / kg / jour
Classe d'organes système (n = 991) (n = 326) (n = 166) (n = 289) (n = 289) (n = 277) (n = 287)
% % % % % % %
Infections et infestations
Infections bactériennes 39.9 33.7 37.3 - - 27.4 26.5
Infections virales - a - - 31.1 24.9 - -
Troubles du système sanguin et lymphatique
Anémie 20.0 23.6 2.4 45.0 47.1 43.0 53.0
Ecchymose - - - 20.1 9.7 - -
Leucocytose - - - 42.6 37.4 22.4 21.3
Leucopénie 28.6 24.8 4.2 34.3 43.3 45.8 39.0
Thrombocytopénie - - - 24.2 28.0 38.3 42.2
Métabolisme et troubles nutritionnels
Hypercholestérolémie - - - 46.0 43.9 - -
Hyperglycémie - - - 48.4 53.3 43.7 48.8
Hyperkaliémie - - - - - 22.0 23.7
Hypocalcémie - - - - - 30.0 30.0
Hypokaliémie - - - 32.5 26.3 37.2 41.1
Hypomagnésémie - - - 20.1 14.2 39.0 37.6
Troubles psychiatriques
Dépression - - - 20.1 15.2 - -
Insomnie - - - 43.3 39.8 52.3 47.0
Troubles du système nerveux
Vertiges - - - 34.3 33.9 - -
Mal de tête - - - 58.5 55.4 53.8 49.1
Tremblement - - - 26.3 25.6 33.9 35.5
Troubles cardiaques
Tachycardie - - - 22.8 21.8 22.0 15.7
Troubles vasculaires
Hypertension 27.5 32.2 19.3 78.9 74.0 62.1 59.6
Hypotension - - - 34.3 40.1 - -
Troubles thoraciques et médiastinaux respiratoires
Toux - - - 40.5 32.2 - -
Dyspnée - - - 44.3 44.3 31.0 30.3
Épanchement pleural - - - - - 34.3 35.9
Troubles gastro-intestinaux
Douleurs abdominales 22.4 23.0 11.4 41.9 39.4 62.5 51.2
Constipation - - - 43.6 38.8 37.9 38.3
Diminution de l'appétit - - - - - 25.3 17.1
Diarrhée 30.4 20.9 13.9 52.6 39.4 51.3 49.8
Dyspepsie - - - 22.1 22.1 22.4 20.9
Nausée - - - 56.1 60.2 54.5 51.2
Vomissement - - - 39.1 34.6 32.9 33.4
Troubles hépatobiliaires
Le lactate de sang déshydrogénase a augmenté - - - 23.5 18.3 - -
L'enzyme hépatique a augmenté - - - - - 24.9 19.2
Troubles de la peau et des tissus sous-cutanés
Éruption cutanée - - - 26.0 20.8 - -
Troubles rénaux et urinaires
La créatinine sanguine a augmenté - - - 42.2 39.8 - -
L'urée sanguine a augmenté - - - 36.7 34.3 - -
Troubles généraux et conditions du site d'administration
Asthénie - - - 49.1 41.2 35.4 33.8
Œdème b 21.0 28.2 8.4 67.5 55.7 48.4 47.7
Douleur c 24.8 32.2 9.6 79.2 77.5 74.0 77.5
Pyrexie - - - 56.4 53.6 52.3 56.1
a : - indique que l'incidence était inférieure à la valeur de coupure de 20% pour l'inclusion dans le tableau.
b : L'œdème comprend l'œdème périphérique œdème facial œdème scrotal œdème.
c : La douleur comprend des douleurs musculo-squelettiques (maux de douleurs au cou du cou).

Dans le three encore Études rénales Les patients recevant 2 g / jour de Cellcept avaient un meilleur profil de sécurité global que les patients recevant 3 g / jour de concept Cell.

Une maladie lymphoproliférative post-transplantation (pseudolymphome PTLD) s'est développée chez 0,4% à 1% des patients recevant des concepts cellulaires (2 g ou 3 g par jour) avec d'autres agents immunosuppresseurs dans des essais cliniques contrôlés de patients rénaux et de transplantation hépatique ont suivi pendant au moins 1 an [voir AVERTISSEMENTS ET PRÉCAUTIONS ]. Nonmelanoma skin carcinomas occurred in 1.6% à 4.2% of patients other types of malignancy in 0.7% à 2.1% of patients. Three-year safety data in kidney et heart transplant patients did not reveal any unexpected changes in incidence of malignancy compared à the 1-year data. In pediatric patients PTLD was observed in 1.35% (2/148) by 12 months post-transplant.

Les cytopénies comprenant l'anémie de leukopénie thrombocytopénie et la pancytopénie sont un risque connu associé au mycophénolate et peuvent conduire ou contribuer à la survenue d'infections et d'hémorragies [voir AVERTISSEMENTS ET PRÉCAUTIONS ]. Severe neutropenia (ANC <0.5 x 10 3 / ml) développé chez jusqu'à 2% des patients atteints de transplanté rénale jusqu'à 2,8% des patients atteints de transplantation cardiaque et jusqu'à 3,6% des patients transplantés hépatiques recevant un concept de cellule 3 g par jour [voir AVERTISSEMENTS ET PRÉCAUTIONS et Posologie et administration ].

Les infections opportunistes les plus courantes chez les patients recevant un concept de cellule avec d'autres immunosuppresseurs étaient la virémie / l'herpès simplex de la virémie / l'herpès du candidate. La proportion de patients atteints de virémie / syndrome du CMV était de 13,5%. Chez les patients recevant des concepts cellulaires (2 g ou 3 g) dans des études contrôlées pour la prévention de l'infection mortelle / septicémie de rejet du cœur ou du foie se sont produites chez environ 2% des patients rénaux et cardiaques et chez 5% des patients hépatiques [voir AVERTISSEMENTS ET PRÉCAUTIONS ].

Les troubles gastro-intestinaux les plus graves signalés étaient l'ulcération et l'hémorragie qui sont des risques connus associés à Cellcept. Les ulcères gastriques de la bouche gastrique et intestinaux souvent compliqués par l'hémorragie ainsi que par l'hématemèse de la ménaristique et des formes hémorragiques de gastrite et de colite ont été couramment rapportées pendant les essais cliniques pivots tandis que les troubles gastro-intestinaux les plus courants étaient la nausée et la vomissements de la diarrrhéa. L'enquête endoscopique sur des patients atteints de diarrhée liée à la cellule a révélé des cas isolés d'atrophie villous intestinale [voir AVERTISSEMENTS ET PRÉCAUTIONS ].

Les effets indésirables suivants ont été signalés avec 3% à <20% incidence in kidney heart et liver transplant patients treated with Concept in combination with cyclospouine et couticosteroids.

Tableau 6 Réactions indésirables dans les études contrôlées de la transplantation rénale de novo ou de transplantation hépatique rapportée dans 3% pour <20% of Patients Treated with Concept in Combination with Cyclosporine et Couticosteroids

Classe d'organes système Effets indésirables
Corps comme un
Entier
la cellulite chills Hernia Malaise
Infections et
Infestations
infections fongiques
Hématologique
et Lymphatic
Écchymose du trouble de la coagulation pancytopénie
Urogénital hématurie
Cardiovasculaire hypotension
Métabolique et
Nutritionnel
L'acidose phosphatase alcaline a augmenté l'hyperlipémie
Hypophosphatémie Perte de poids
Digestif œsophagite Flatulence gastrite gastro-intestinale Hémorragie
Hépatite iléus nausées et vomir de vomit de l'estomac stomatite
Néoplasme
bénin
malin et
indéterminé
néoplasme
Peau et
Appendices
CARCINOME DE PEAU NÉOPLASS BÉNIGN
Psychiatrique confusional state
Nerveux Hypertonia Paresthésie Somnolence
Musculo-squelettique Arthralgia myasthénie
Pédiatrie

Le type et la fréquence des événements indésirables dans une étude clinique pour la prévention du rejet d'allogreffe rénale chez 100 patients pédiatriques de 3 mois à 18 ans dosés avec une suspension orale de cellules 600 mg / m / m 2 Deux fois par jour (jusqu'à 1 g deux fois par jour) étaient généralement similaires à ceux observés chez les patients adultes dosés avec des capsules de cellules à une dose de 1 g deux fois par jour, à l'exception de la lueurtrhée de la pagaye abdominale, la leukopénie de la pharyngite de la pharyngite infection par l'infection par l'infection par l'hypertension.

Les informations sur la sécurité dans la transplantation cardiaque pédiatrique ou les patients atteints de transplantation hépatique pédiatrique traités par Cellcept sont soutenus par une étude ouverte chez les patients et les publications de transplantation hépatique pédiatrique; Le type et la fréquence des effets indésirables rapportés sont cohérents avec ceux observés chez les patients pédiatriques après la transplantation rénale et chez l'adulte.

Gériatrie

Les patients gériatriques (≥ 65 ans), en particulier ceux qui reçoivent le concept de cellule, dans le cadre d'un régime immunosuppresseur combiné, peuvent être un risque accru de certaines infections (y compris cytomégalovirus [CMV] maladie invasive tissulaire) et éventuellement l'hémorragie gastro-intestinale et l'œdème pulmonaire par rapport aux personnes plus jeunes [voir AVERTISSEMENTS ET PRÉCAUTIONS et Expérience des essais cliniques ].

Cellcept intraveineux

Le profil de sécurité de Cellcept intraveineux a été déterminé à partir d'une seule étude comparative contrôlée en double aveugle de la sécurité de 2 g / jour de concept intraveineux et oral chez les patients transplantés rénaux dans la période post-transplantation immédiate (administrée pendant les 5 premiers jours). L'irritation veineuse potentielle de la cellule par voie intraveineuse a été évaluée en comparant les effets indésirables attribuables à la perfusion veineuse périphérique de la cellule par voie intraveineuse avec celles observées dans le groupe placebo intraveineux; Les patients du groupe placebo ont reçu des médicaments actifs par la route orale.

Les effets indésirables attribuables à la perfusion veineuse périphérique étaient la phlébite et la thrombose observées à 4% chez les patients traités par cellule par voie intraveineuse.

Expérience de commercialisation de la poste

Les effets indésirables suivants ont été identifiés lors de l'utilisation post-approbation de Cellcept. Parce que ces réactions sont signalées volontairement d'une population de taille incertaine, il n'est pas toujours possible d'estimer de manière fiable leur fréquence ou d'établir une relation causale à l'exposition au médicament:

  • Toxicité embryo-fœtale: Les malformations congénitales et les avortements spontanés principalement au cours du premier trimestre ont été signalés après exposition au mycophénolate mofetil (MMF) en combinaison avec d'autres immunosuppresseurs pendant la grossesse [voir AVERTISSEMENTS ET PRÉCAUTIONS et Utiliser dans des populations spécifiques ]. Congenital malfoumations include:
    • Malformations faciales: fente lèvre fente palatine micrognathia hypertélorisme des orbites
    • Anomalies de l'oreille et de l'œil: Microphthalmos anormalement formés ou absents
    • Malformations des doigts: polydactyly syndactyly brachydactyly
    • Anomalies cardiaques: Défauts septaux auriculaires et ventriculaires
    • Malformations œsophagiennes: atrésie œsophagienne
    • Nerveux system malfoumations: comme le spina bifida.
  • Cardiovasculaire: Une thrombose veineuse a été signalée chez les patients traités par Cellcept administré par voie intraveineuse.
  • Digestif: Colite pancréatite
  • Hématologique et Lymphatic: Échec de la moelle osseuse Cas d'aplasie des cellules rouges pures (PRCA) et d'hypogammaglobulinémie a été signalée chez les patients traités par cellule en combinaison avec d'autres agents immunosuppresseurs [voir AVERTISSEMENTS ET PRÉCAUTIONS ].
  • Immunitaire: Hypersensibilité hypogammaglobinémie.
  • Infections: Méningite endocardite infectieuse tuberculose infection mycobactérienne atypique progressive leucoencéphalopathie infection par le virus BK BK Réactivation virale de l'hépatite B et des infections protozoaires de l'hépatite C [voir AVERTISSEMENTS ET PRÉCAUTIONS ].
  • Respiratoire: Bronchectasie Interstitiel La maladie pulmonaire pulmonaire fatale a été signalée rarement et doit être prise en compte dans le diagnostic différentiel de symptômes pulmonaires allant de la dyspnée à l'insuffisance respiratoire chez les patients post-transplantation recevant un cellule.
  • Vasculaire: Lymphocèle

Interactions médicamenteuses fou Concept

Effet d'autres médicaments sur Cellcept

Tableau 7 Interactions médicamenteuses avec Cellcept qui affectent l'exposition à l'acide mycophénolique (MPA)

Antiacides avec hydroxyde de magnésium ou d'aluminium
Impact clinique L'utilisation concomitante avec un antiacide contenant un hydroxyde de magnésium ou d'aluminium diminue l'exposition systémique MPA [voir Pharmacologie clinique ] qui peut réduire l'efficacité des concepts de cellules.
Prévention ou gestion Administrer un hydroxyde de magnésium ou d'aluminium contenant des antiacides au moins 2h après l'administration de Cellcept.
Inhibiteurs de la pompe à protons (IPP)
Impact clinique L'utilisation concomitante avec les IPP diminue l'exposition systémique MPA [voir Pharmacologie clinique ] qui peut réduire l'efficacité des concepts de cellules.
Prévention ou gestion Surveiller les patients pour des altérations de l'efficacité lorsque les IPP sont co-administrés avec Cellcept.
Exemples Lansoprazole pantoprazole
Médicaments qui interfèrent avec la recirculation entérohépatique
Impact clinique L'utilisation concomitante avec des médicaments qui interfèrent directement avec la recirculation entérohépatique ou interfère indirectement avec la recirculation entérohépatique en modifiant la flore gastro-intestinale peut diminuer l'exposition systémique du MPA [voir Pharmacologie clinique ] qui peut réduire l'efficacité des concepts de cellules.
Prévention ou gestion Surveiller les patients pour des altérations de l'efficacité ou des réactions indésirables liées à la cellule lorsque ces médicaments sont co-administrés avec Cellcept.
Exemples Cyclosporine A triméthoprime / sulfaméthoxazole Sequestrants d'acide biliaire (cholestyramine) Rifampin ainsi que l'aminoglycoside céphalosporine fluoroquinolone et les classes de pénicilline d'antimicrobiens
Médicaments modulant la glucuronidation
Impact clinique L'utilisation concomitante avec des médicaments induisant la glucuronidation diminue l'exposition systémique par l'AMP, réduisant l'efficacité des conceptions cellulaires tandis que l'utilisation avec des médicaments inhibant la glucuronidation augmente l'exposition systémique du MPA [voir Pharmacologie clinique ] qui peut augmenter le risque de réactions indésirables liées à la cellule.
Prévention ou gestion Surveiller les patients pour des altérations de l'efficacité ou des réactions indésirables liées à la cellule lorsque ces médicaments sont co-administrés avec Cellcept.
Exemples Telmisartan (induit la glucuronidation); isavuconazole (inhibe la glucuronidation).
Liants en phosphate sans calcium
Impact clinique L'utilisation concomitante avec les liants en phosphate sans calcium diminue l'exposition systémique MPA [voir Pharmacologie clinique ] qui peut réduire l'efficacité des concepts de cellules.
Prévention ou gestion Administrer des liens de phosphate sans calcium au moins 2 heures après Cellcept.
Exemples Sevelamer

Effet de Cellcept sur d'autres médicaments

Tableau 8 Interactions médicamenteuses avec Cellcept qui affectent d'autres médicaments

Médicaments qui subissent une sécrétion tubulaire rénale
Impact clinique Lorsqu'il est utilisé concomitante avec Cellcept, son métabolite MPAG peut rivaliser avec les médicaments éliminés par sécrétion tubulaire rénale qui peut augmenter les concentrations plasmatiques et / ou les effets indésirables associés à ces médicaments.
Prévention ou gestion Surveiller les effets indésirables liés au médicament chez les patients souffrant de troubles rénaux.
Exemples Acyclovir ganciclovir Propenecide Valacyclovir Valganciclovir
Combinaison des contraceptifs oraux
Impact clinique L'utilisation concomitante avec Cellcept a diminué l'exposition systémique au lévonorgestrel mais n'a pas affecté l'exposition systémique à l'éthinylestradiol [voir Pharmacologie clinique ] ce qui peut entraîner une réduction de l'efficacité des contraceptifs oraux combinés.
Prévention ou gestion Utilisez des méthodes contraceptives de barrière supplémentaires.

Avertissements pour Cellcept

Inclus dans le cadre du 'PRÉCAUTIONS' Section

Précautions pour Cellcept

Toxicité embryofétale

L'utilisation de la MMF pendant la grossesse est associée à un risque accru de perte de grossesse au premier trimestre et à un risque accru de malformations congénitales, en particulier l'oreille externe et d'autres anomalies faciales, notamment la fente des lèvres et le palais et les anomalies du rein d'œsophages cardiaques et du système nerveux. Les femmes de potentiel de reproduction doivent être sensibilisées à ces risques et doivent être conseillées concernant la prévention et la planification de la grossesse. Avoid use of MMF during pregnancy if safer treatment options are available [see Utiliser dans des populations spécifiques ].

Lymphome et autres tumeurs malignes

Les patients recevant des immunosuppresseurs, dont Cellcept, courent un risque accru de développer des lymphomes et d'autres tumeurs malignes, en particulier de la peau [voir Effets indésirables ]. The risk appears à be related à the intensity et duration of immunosuppression rather than à the use of any specific agent. Fou patients with increased risk fou skin cancer exposure à sunlight et UV light should be limited by wearing protective clothing et using a broad-spectrum sunscreen with a high protection facàr.

Le trouble lymphoprolifératif post-transplantant (PTLD) s'est développé chez 0,4% à 1% des patients recevant un Cellcept (2 g ou 3 g) avec d'autres agents immunosuppresseurs dans des essais cliniques contrôlés sur les patients atteints de transplantation de cœur et de foie rénaux [voir [voir Effets indésirables ]. The majouity of PTLD cases appear à be related à Epstein Barr Virus (EBV) infection. The risk of PTLD appears greatest in those individuals who are EBV seronegative a population which includes many young children. In pediatric patients no other malignancies besides PTLD were observed in clinical trials [voir Effets indésirables ].

Infections graves

Les patients recevant des immunosuppresseurs, dont Cellcept, courent un risque accru de développer un protozoal fongique bactérien et des infections virales nouvelles ou réactivées, y compris les infections opportunistes. Le risque augmente avec la charge immunosuppressive totale. Ces infections peuvent entraîner de graves résultats, notamment les hospitalisations et la mort [voir Effets indésirables ].

Les infections virales graves rapportées comprennent:

  • Néphropathie associée au polyomavirus (PVAN) en particulier en raison de l'infection par le virus BK
  • Leucoencéphalopathie multifocale progressive associée au virus JC (PML) et
  • Infections au cytomégalovirus (CMV): les patients atteints de transplantation séronégative CMV qui reçoivent un organe d'un donneur séropositif CMV présentent le risque le plus élevé de virémie CMV et de maladie du CMV.
  • Réactivation virale chez les patients infectés par l'hépatite B et C
  • COVID 19

Considérez la réduction de la dose ou l'arrêt du concept cellulaire chez les patients qui développent de nouvelles infections ou réactivent les infections virales pesant le risque qu'une immunosuppression réduite représente pour l'allogreffe fonctionnelle.

PVAN en particulier en raison de l'infection par le virus BK est associé à de graves résultats, notamment la détérioration de la fonction rénale et la perte de greffe rénale [voir Effets indésirables ]. Patient moniàring may help detect patients at risk fou PVAN.

La PML qui est parfois mortelle présente couramment avec l'hémiparésie confusion déficience cognitive et l'ataxie [voir Effets indésirables ]. In immunosuppressed patients physicians should consider PML in the differential diagnosis in patients repouting neurological sympàms.

Le risque de virémie CMV et de maladie du CMV est le plus élevé chez les transplantés séronégatifs pour le CMV au moment de la transplantation qui reçoivent une greffe d'un donneur séropositif CMV. Les approches thérapeutiques de la limitation de la maladie de CMV existent et devraient être systématiquement fournies. La surveillance des patients peut aider à détecter les patients à risque de maladie du CMV.

Une réactivation virale a été rapportée chez des patients infectés par le VHB ou le VHC. La surveillance des patients infectés pour les signes cliniques et en laboratoire d'infection active au VHB ou au VHC est recommandée.

Dyscrasies sanguines

Neutropénie And Pure Red Cell Aplasia (PRCA)

Neutropénie sévère [ Nombre de neutrophiles absolus (ANC) <0.5 x 10 3 / ml] développé chez des patients transplantés recevant un cellcept 3 g par jour [voir Effets indésirables ]. Patients receiving Concept should be moniàred fou neutropenia. Neutropénie has been observed most frequently in the period from 31 à 180 days post-transplant in patients treated fou prevention of kidney heart et liver rejection. The development of neutropenia may be related à Concept itself concomitant medications viral infections ou a combination of these causes. Si la neutropénie se développe (ANC <1.3 x 10 3 / ml) Le dosage avec le concept de cellule doit être interrompu ou la dose a réduit les tests de diagnostic appropriés effectués et le patient a géré de manière appropriée [voir Posologie et administration ]. Patients receiving Concept should be instructed à repout immediately any evidence of infection unexpected bruising bleeding ou any other manifestation of bone marrow depression.

Envisagez de surveiller avec des comptes sanguins complets chaque semaine pour le premier mois deux fois par mois pour les deuxième et troisième mois et mensuellement pour le reste de la première année.

Des cas d'aplasie des cellules rouges purs (PRCA) ont été signalés chez les patients traités par Cellcept en combinaison avec d'autres agents immunosuppresseurs. Dans certains cas, le PRCA s'est avéré réversible avec la réduction de la dose ou la cessation de la thérapie par cellule. Chez les patients transplantés, une réduction de l'immunosuppression peut placer la greffe à risque.

Complications gastro-intestinales

Des saignements gastro-intestinaux nécessitant une ulcération et des perforations de l'hospitalisation ont été observés dans les essais cliniques. Les médecins doivent être conscients de ces effets indésirables graves, en particulier lors de l'administration de cellules à des patients atteints d'une maladie gastro-intestinale.

Les patients atteints d'une carence en hypoxanthine-guanine phosphoribosyl-transférase (HGPRT)

Concept is an inosine monophosphate dehydrogenase (IMPDH) inhibiàr; therefoue it should be avoided in patients with hereditary deficiencies of hypoxanthine-guanine phosphouibosyl-transferase (HGPRT) such as Lesch-Nyhan et Kelley-Voirgmiller syndromes because it may cause an exacerbation of disease sympàms characterized by the overproduction et accumulation of uric acid leading à sympàms associated with goutte comme l'arthrite aiguë tophi Néphrolithiase ou l'urolithiase et les maladies rénales, y compris l'insuffisance rénale.

Syndrome inflammatoire aigu associé aux produits mycophénolates

Le syndrome inflammatoire aigu (AIS) a été signalé avec l'utilisation de produits MMF et mycophénolate et certains cas ont entraîné une hospitalisation. L'AIS est une réaction pro-inflammatoire paradoxale caractérisée par la fièvre des douleurs musculaires d'arthrite de la fièvre et des marqueurs inflammatoires élevés, notamment le taux de sédimentation des protéines C et des érythrocytes sans signe d'infection ou de récidive sous-jacente. Les symptômes se produisent dans les semaines à des mois suivant le début du traitement ou une augmentation de dose. Après l'arrêt, l'amélioration des symptômes et des marqueurs inflammatoires est généralement observée dans les 24 à 48 heures.

Surveillez les patients pour les symptômes et les paramètres de laboratoire de l'AIS lors du début du traitement avec des produits mycophénolates ou lors de l'augmentation du dosage. Arrêtez le traitement et considérez d'autres alternatives de traitement en fonction du risque et des avantages pour le patient.

Vaccination

Pendant le traitement avec des concepts de cellules, l'utilisation de vaccins atténués vivants doit être évitée (par exemple, la rougeole de la crularisation intranasale les oreillons rubéole de la rubéole BCG BCG varicelle et les vaccins typhoïdes TY21A) et les patients doivent être informés que les vaccinations peuvent être moins efficaces. Conseiller aux patients de discuter avec le médecin avant de demander des vaccinations.

Réactions locales avec une administration intraveineuse rapide

Cellcept intraveineux solution must not be administered by rapid ou bolus intravenous injection as rapid infusion increases the risk of local adverse reactions such as phlebitis et thrombosis [voir Effets indésirables ].

Risques chez les patients atteints de phénylcétonurie

La phénylalanine peut être nocive pour les patients atteints de phénylcétonurie (PKU). La suspension orale de Cellcept contient l'aspartame une source de phénylalanine (NULL,56 mg de suspension phénylalanine / ml). Avant de prescrire la suspension orale de Cellcept à un patient avec PKU, considérez la quantité quotidienne combinée de phénylalanine de toutes les sources, y compris Cellcept.

Don de sang

Les patients ne doivent pas donner de sang pendant la thérapie et pendant au moins 6 semaines après l'arrêt du concept cellulaire car leur sang ou leur sang de sang peuvent être administrés à une femme de potentiel reproducteur ou à une femme enceinte.

Don de sperme

Sur la base des données sur les animaux, les hommes ne doivent pas donner de sperme pendant la thérapie et pendant 90 jours après l'arrêt de la conception cellulaire [voir Utiliser dans des populations spécifiques ].

Effet des médicaments concomitants sur les concentrations d'acide mycophénolique

Une variété de médicaments a le potentiel de modifier l'exposition systémique à l'AMP lorsqu'il est co-administré avec Cellcept. Par conséquent, la détermination des concentrations de MPA dans le plasma avant et après les modifications du traitement par immunosuppression ou lors de l'ajout ou de l'arrêt des médicaments concomitants peut être approprié pour garantir que les concentrations de MPA restent stables.

Altération potentielle de la capacité à conduire ou à exploiter des machines

Concept may impact the ability à drive et use machines. Patients should avoid driving ou using machines if they experience somnolence confusion dizziness tremblement ou hypotension during treatment with Concept [voir Effets indésirables ].

Informations de conseil des patients

Conseiller au patient de lire l'étiquetage des patients approuvé par la FDA ( Guide des médicaments et Instructions pour une utilisation ).

Toxicité embryofétale

Perte de grossesse et malformations

  • Les femmes informées du potentiel reproducteur et des femmes enceintes que l'utilisation de Cellcept pendant la grossesse est associée à un risque accru de perte de grossesse au premier trimestre et à un risque accru de malformations congénitales. Informez-vous qu'ils doivent utiliser une forme de contraception acceptable [voir AVERTISSEMENTS ET PRÉCAUTIONS Utiliser dans des populations spécifiques ].
  • Encouragez les femmes enceintes à s'inscrire au registre d'exposition à la grossesse. Ce registre surveille les résultats de la grossesse chez les femmes exposées au mycophénolate [voir Utiliser dans des populations spécifiques ].

Contraception

  • Discuter des tests de grossesse Prévention et planification de la grossesse avec les femmes de potentiel de reproduction [voir Utiliser dans des populations spécifiques ].
  • Les femmes de potentiel reproducteur doivent utiliser une forme acceptable de contrôle des naissances pendant toute la thérapie par cellule et pendant 6 semaines après l'arrêt de Cellcept à moins que le patient ne choisit l'abstinence. Cellcept peut réduire l'efficacité des contraceptifs oraux. L'utilisation de méthodes contraceptives de barrière supplémentaires est recommandée [voir Utiliser dans des populations spécifiques ].
  • Pour les patients qui envisagent une grossesse, discutez des immunosuppresseurs alternatifs appropriés avec moins de potentiel de toxicité embryofétale. Les risques et les avantages de Cellcept doivent être discutés avec le patient.
  • Conseillez des patients masculins sexuellement actifs et / ou de leurs partenaires à utiliser une contraception efficace pendant le traitement du patient masculin et pendant au moins 90 jours après l'arrêt du traitement. Cette recommandation est basée sur les résultats des études animales [voir Utiliser dans des populations spécifiques Toxicologie non clinique ].
Développement du lymphome et d'autres tumeurs malignes
  • Informer les patients qu'ils sont à risque accru de développer des lymphomes et d'autres tumeurs malignes, en particulier de la peau en raison de l'immunosuppression [voir AVERTISSEMENTS ET PRÉCAUTIONS ].
  • Conseillez aux patients de limiter l'exposition au soleil et à la lumière ultraviolette (UV) en portant des vêtements de protection et en utilisant un écran solaire à large spectre avec un facteur de protection élevé.
Risque accru d'infections graves

Informez les patients qu'ils courent un risque accru de développer une variété d'infections en raison de l'immunosuppression. Demandez-leur de contacter leur médecin s'ils développent l'un des signes et symptômes d'infection expliqués dans le guide des médicaments [voir AVERTISSEMENTS ET PRÉCAUTIONS ].

Qu'est-ce que le furosémide 40 mg pour
Dyscrasies sanguines

Informez les patients qu'ils courent un risque accru de développer des effets indésirables sanguins tels que l'anémie ou les globules blancs faibles. Conseiller aux patients de contacter immédiatement leur fournisseur de soins de santé s'ils éprouvent des preuves d'une infection meurtrie ou saignement inattendu ou toute autre manifestation de la suppression de la moelle osseuse [voir AVERTISSEMENTS ET PRÉCAUTIONS ].

Complications des voies gastro-intestinales

Informez les patients que le concept de cellule peut provoquer des complications du tractus gastro-intestinal, notamment des perforations intestinales de saignement et des ulcères gastriques ou duodénaux. Conseiller au patient de contacter son fournisseur de soins de santé s'il présente des symptômes de saignement gastro-intestinal ou d'apparition soudaine ou de douleurs abdominales persistantes [voir AVERTISSEMENTS ET PRÉCAUTIONS ].

Syndrome inflammatoire aigu

Informer les patients que des réactions inflammatoires aiguës ont été rapportées chez certains patients qui ont reçu des concepts de cellules. Certaines réactions étaient graves nécessitant une hospitalisation. Conseiller aux patients de contacter leur médecin s'ils développent la raideur de la fièvre, les douleurs articulaires ou les douleurs musculaires [voir AVERTISSEMENTS ET PRÉCAUTIONS ].

Vaccination

Informer les patients que Cellcept peut interférer avec la réponse habituelle aux vaccinations. Avant de rechercher des vaccins à leur propre conseil les patients pour discuter d'abord avec leur médecin [voir AVERTISSEMENTS ET PRÉCAUTIONS ].

Instructions d'administration

  • Conseiller aux patients de ne pas écraser les comprimés de concept de cellules et de ne pas ouvrir les capsules de conception cellulaire.
  • Conseiller aux patients d'éviter l'inhalation ou le contact de la peau ou des muqueuses avec la poudre contenue dans les capsules de cellules et avec la suspension orale. Si un tel contact se produit, ils doivent soigner soigneusement la zone de contact avec du savon et de l'eau. En cas de contact oculaire, rincez les yeux avec de l'eau ordinaire.
  • Conseiller aux patients de prendre une dose manquée dès qu'ils se souviennent, sauf s'il est plus proche de 2 heures à la prochaine dose prévue; Dans ce cas, ils devraient continuer à prendre CELLESCET à la période habituelle.
Don de sang

Conseiller aux patients de ne pas donner de sang pendant le traitement et pendant au moins 6 semaines après l'arrêt de la conception cellulaire [voir AVERTISSEMENTS ET PRÉCAUTIONS ].

Don de sperme

Conseiller les hommes de potentiel de procréation de ne pas donner de sperme pendant la thérapie et pendant 90 jours après l'arrêt de la conception cellulaire [voir AVERTISSEMENTS ET PRÉCAUTIONS ].

Potentiel pour altérer la conduite et l'utilisation des machines

Conseillez les patients que Cellcept peut affecter la capacité de conduire ou d'exploiter des machines. Les patients doivent éviter de conduire ou d'exploitation des machines s'ils éprouvent des tremblements de vertige confusion de somnolence ou une hypotension pendant le traitement avec Cellcept [voir AVERTISSEMENTS ET PRÉCAUTIONS ].

Toxicologie non clinique

Carcinogenèse Mutagenèse A trouble de la fertilité

Dans une étude de cancérogénicité orale de 104 semaines chez les souris MMF à des doses quotidiennes allant jusqu'à 180 mg / kg n'était pas tumorigénique. La dose la plus élevée testée était 0,2 fois la dose clinique recommandée (2 g / jour) chez les patients transplantés rénaux et 0,15 fois la dose clinique recommandée (3 g / jour) chez les patients transplantés cardiaques lorsqu'ils sont corrigés pour les différences de surface corporelle (BSA). Dans une étude de cancérogénicité orale de 104 semaines chez le rat, la MMF à des doses quotidiennes allant jusqu'à 15 mg / kg n'était pas tumorigène. La dose la plus élevée était de 0,035 fois la dose clinique recommandée chez les patients transplantés rénaux et 0,025 fois la dose clinique recommandée chez les patients transplantés cardiaques lorsqu'il est corrigé pour la BSA. Bien que ces doses animales soient inférieures à celles données aux patients, elles étaient maximales chez ces espèces et étaient considérées comme adéquates pour évaluer le potentiel de risque humain [voir AVERTISSEMENTS ET PRÉCAUTIONS ].

Le potentiel génotoxique du MMF a été déterminé dans cinq tests. Le MMF était génotoxique dans le test de lymphome / thymidine kinase de souris et le lymphome / thymidine et le en vain test de micronucléus de souris. Le MMF n'était pas génotoxique dans le test de mutation bactérienne le test de conversion du gène mitotique de levure ou le test d'aberration chromosomique des cellules ovariennes du hamster chinois.

Le MMF n'a eu aucun effet sur la fertilité des rats mâles à des doses orales jusqu'à 20 mg / kg / jour. Cette dose représente 0,05 fois la dose clinique recommandée chez les patients transplantés rénaux et 0,03 fois la dose clinique recommandée chez les patients transplantés cardiaques lorsqu'il est corrigé pour la BSA. Dans une étude féminine de fertilité et de reproduction menée chez des doses orales de 4,5 mg / kg / jour a provoqué des malformations (principalement de la tête et des yeux) dans la progéniture de première génération en l'absence de toxicité maternelle. Cette dose était de 0,01 fois la dose clinique recommandée chez les patients transplantés rénaux et 0,005 fois la dose clinique recommandée chez les patients transplantés cardiaques lorsqu'il est corrigé pour la BSA. Aucun effet sur la fertilité ou les paramètres de reproduction n'était évident dans les barrages ou dans la génération suivante.

Utiliser dans des populations spécifiques

Grossesse

Grossesse Exposure Registry

Il existe un registre d'exposition à la grossesse qui surveille les résultats de la grossesse chez les femmes exposées au mycophénolate pendant la grossesse et celles qui tombent enceintes dans les 6 semaines suivant l'arrêt du traitement des conceptions cellulaires. Pour signaler une grossesse ou obtenir des informations sur la visite du registre www.mycophénolaterems.com ou appelez le 1-800-617- 8191.

Résumé des risques

L'utilisation du mycophénolate mofetil (MMF) pendant la grossesse est associée à un risque accru de perte de grossesse au premier trimestre et à un risque accru de malformations congénitales multiples dans plusieurs systèmes d'organes [voir Données humaines ]. Oral administration of mycophenolate à rats et rabbits during the period of ouganogenesis produced congenital malfoumations et pregnancy loss at doses less than the recommended clinical dose (0.01 à 0.05 times the recommended clinical doses in kidney et heart transplant patients) [voir Données sur les animaux ].

Considérez des immunosuppresseurs alternatifs avec moins de potentiel de toxicité embryofétale. Les risques et les avantages de Cellcept doivent être discutés avec la femme enceinte.

Le risque de fond estimé de perte de grossesse et de malformations congénitales dans les populations de transplantation d'organes n'est pas claire. Dans la population générale américaine, le risque de fond estimé de malformations congénitales majeures et de fausse couche dans les grossesses cliniquement reconnues est respectivement de 2 à 4% et 15 à 20%.

Données

Données humaines

Un spectre de malformations congénitales (y compris de multiples malformations chez les nouveau-nés individuels) a été signalée dans 23 à 27% des naissances vivantes dans des grossesses exposées au MMF sur la base des données publiées des registres de la grossesse. Les malformations qui ont été documentées comprennent l'œil de l'oreille externe et d'autres anomalies faciales, notamment la fente des lèvres et le palais et les anomalies des reins et système nerveux de l'œsophage du cœur des membres distaux.

Sur la base des données publiées des registres de grossesse, le risque de perte de grossesse du premier trimestre a été signalé à 45 à 49% après une exposition au MMF.

Données sur les animaux

Dans les études de toxicologie de la reproduction animale, il y avait des taux accrus de résorption fœtale et de malformations en l'absence de toxicité maternelle. L'administration orale de MMF à des rats enceintes du jour de la gestation 7 au jour 16 a produit une létalité embryofétale accrue et des malformations fœtales, notamment l'anophtalmie agnathia et l'hydrocéphalie à des doses équivalentes à 0,015 et 0,01 fois les doses humaines recommandées pour les patients transplantés rénaux et cardiaques respectivement lorsqu'ils sont corrigés pour le BSA. L'administration orale de MMF à des lapins enceintes du jour de gestation 7 au jour 19 a produit une létalité embryofétale accrue et des malformations fœtales comprenant une hernie diaphragmatique ectopie cordis à des équivalents dose aussi faibles que 0,05 et 0,03 fois les doses humaines recommandées pour la rénale et les transporteurs cardiens, les patients atteints de trousses cardiaques pour le BSA recommandée.

Lactation

Résumé des risques

Il n'y a pas de données sur la présence de mycophénolate dans le lait maternel ou les effets sur la production de lait. Il existe des données limitées dans le registre national de la grossesse de transplantation sur les effets du mycophénolate sur un enfant allaité [voir Données ]. Studies in rats treated with MMF have shown mycophenolic acid (MPA) à be present in milk. Because available data are limited it is not possible à exclude potential risks à a breastfeeding infant.

Les avantages du développement et de la santé de l'allaitement doivent être pris en compte avec le besoin clinique de la mère de la mère et les effets néfastes potentiels sur le nourrisson allaité de Cellcept ou de l'état maternel sous-jacent.

Données

Des informations limitées sont disponibles dans le registre national de la grossesse de transplantation. Sur sept nourrissons signalés par le Registre national de grossesse de transplantation pour avoir été allaité alors que la mère prenait du mycophénolate toutes sont nées à 34 à 40 semaines de gestation et allaitées jusqu'à 14 mois. Aucun événement indésirable n'a été signalé.

Femmes et mâles de potentiel reproducteur

Les femmes de potentiel de reproduction doivent être sensibilisées au risque accru de perte de grossesse au premier trimestre et de malformations congénitales et doivent être conseillées concernant la prévention et la planification de la grossesse.

Grossesse Planning

Pour les patients qui envisagent une grossesse, envisagez des immunosuppresseurs alternatifs avec moins de potentiel de toxicité embryofétale chaque fois que possible. Les risques et les avantages de Cellcept doivent être discutés avec le patient.

Grossesse Testing

Pour éviter une exposition imprévue pendant la grossesse, toutes les femmes de potentiel reproducteur devraient subir un test de grossesse sérique ou urinaire avec une sensibilité d'au moins 25 MIU / mL immédiatement avant de démarrer Cellcept. Un autre test de grossesse avec la même sensibilité doit être effectué 8 à 10 jours plus tard. Des tests de grossesse répétés doivent être effectués lors des visites de suivi de routine. Les résultats de tous les tests de grossesse doivent être discutés avec le patient. En cas de test de grossesse positif, considérez des immunosuppresseurs alternatifs avec moins de potentiel de toxicité embryofétale dans la mesure du possible.

Contraception

Patiente

Les femmes de potentiel reproducteur prenant le cellcept doivent recevoir des conseils contraceptifs et utiliser une contraception acceptable (voir Tableau 9 pour les méthodes de contraception acceptables). Les patients doivent utiliser un contrôle des naissances acceptable pendant toute la thérapie par cellule et pendant 6 semaines après l'arrêt de Cellcept à moins que le patient ne choisit l'abstinence.

Les patients doivent être conscients que le concept de cellule réduit les taux sanguins des hormones de la pilule contraceptive orale et pourrait théoriquement réduire son efficacité [voir Interactions médicamenteuses ].

Tableau 9 Acceptable Contraception Methods fou Females of Reproductive Potential
Choisissez parmi les options de contrôle des naissances suivantes:

Option 1
Méthodes pour
Utiliser seul
  • Dispositifs intra-utérins (DIU)
  • Stérilisation tubaire
  • Vasectomie du partenaire du patient

OU

Option 2 Méthodes hormonales
Choisissez 1
Méthodes de barrière
Choisissez 1
Choisissez une méthode hormonale ET Une méthode de barrière Œstrogènes et progestérone
  • Pilule contraceptive orale
  • Patch transdermique
  • Bague vaginale
ET
  • Diaphragme avec spermicide
  • Capuchon cervical avec spermicide
  • Éponge contraceptive
  • Préservatif
  • Préservatif
Progestérone uniquement
  • Injection
  • Implant

OU

Option 3 Méthodes de barrière
Choisissez 1
Méthodes de barrière
Choisissez 1
Choisissez une méthode de barrière dans chaque colonne
(doit choisir deux méthodes)
  • Diaphragme avec spermicide
  • Capuchon cervical avec spermicide
  • Éponge contraceptive
ET
  • Préservatif
  • Préservatif

Patients masculins

Des effets génotoxiques ont été observés dans des études animales à des expositions dépassant les expositions thérapeutiques humaines d'environ 1,25 fois. Ainsi, le risque d'effets génotoxiques sur les spermatozoïdes ne peut pas être exclu. Sur la base de ce risque potentiel, des patients masculins sexuellement actifs et / ou de leurs partenaires féminins sont recommandés d'utiliser une contraception efficace pendant le traitement du patient masculin et pendant au moins 90 jours après l'arrêt du traitement. Également basé sur le risque potentiel d'effets génotoxiques, les patients masculins ne doivent pas donner de sperme pendant le traitement avec Cellcept et pendant au moins 90 jours après l'arrêt du traitement [voir Grossesse Toxicologie non clinique Informations sur les patients ].

Usage pédiatrique

La sécurité et l'efficacité ont été établies chez des patients pédiatriques de 3 mois et plus pour la prophylaxie du rejet d'organe des transplantations allogéniques de cœur ou de foie.

Greffe du rein

L'utilisation de cellules dans cette population est étayée par des preuves d'études adéquates et bien contrôlées de Cellcept chez des adultes présentant des données supplémentaires à partir d'une étude pharmacocinétique et de sécurité ouverte de Cellcept chez les patients pédiatriques après avoir reçu une transplantation rénale allogénique (100 patients 3 mois à 18 ans) [voir Posologie et administration Effets indésirables Pharmacologie clinique Études cliniques ].

Transplantation cardiaque et transplantation hépatique

L'utilisation de cellules dans les patients atteints de transplantation cardiaque pédiatrique et de transplantation hépatique est soutenue par des études adéquates et bien contrôlées et des données pharmacocinétiques chez les patients atteints de transplantation cardiaque et de transplantation hépatique adulte. Additional supportive data include pharmacokinetic data in pediatric kidney transplant and pediatric liver transplant patients (8 liver transplant patients 9 months to 5 years of age in an open-label pharmacokinetic and safety study) and published evidence of clinical efficacy and safety in pediatric heart transplant and pediatric liver transplant patients [see Posologie et administration Effets indésirables Pharmacologie clinique Études cliniques ].

Utilisation gériatrique

Les études cliniques de Cellcept ne comprenaient pas un nombre suffisant de sujets âgés de 65 ans et plus pour déterminer s'ils réagissent différemment des sujets plus jeunes. D'autres expériences cliniques signalées n'ont pas identifié de différences dans les réponses entre les patients gériatriques et les jeunes. En général, la sélection de la dose pour un patient gériatrique doit prendre en considération la présence d'une diminution de la fonction rénale ou cardiaque hépatique et de thérapies médicamenteuses concomitantes [voir Effets indésirables Interactions médicamenteuses ].

Patients souffrant de troubles rénaux

Patients atteints de greffe de rein

Aucun ajustement de dosage n'est nécessaire chez les patients transplantés rénaux ayant une fonction de greffe retardée postopératoire, mais les patients doivent être soigneusement surveillés [voir Pharmacologie clinique ]. In Patiens de transplantation rénale présentant une altération chronique sévère de la greffe (GFR <25 mL/min/1.73 m 2 ) Aucun ajustement de dose n'est nécessaire; Cependant, des doses supérieures à 1 g administrées deux fois par jour doivent être évitées.

Patients atteints de cardiopathie et de transplantation hépatique

Aucune donnée n'est disponible pour les patients atteints de transplanté cardiaque ou hépatique présentant une insuffisance rénale chronique sévère. Cellcept peut être utilisé pour les patients atteints de transplantation cardiaque ou hépatique présentant une insuffisance rénale chronique sévère si les avantages potentiels l'emportent sur les risques potentiels.

Patients souffrant de déficience hépatique

Patients atteints de greffe de rein

Aucun ajustement posologique n'est recommandé pour les patients atteints de transplantation rénale atteints d'une maladie parenchymateuse hépatique sévère. Cependant, on ne sait pas si les ajustements posologiques sont nécessaires pour la maladie hépatique avec d'autres étiologies [voir Pharmacologie clinique ].

Patients atteints de transplantation cardiaque

Aucune donnée n'est disponible pour les patients transplantés cardiaques atteints d'une maladie parenchymateuse hépatique sévère.

Informations sur la surdose pour Cellcept

Les signes et symptômes possibles de la surdose aiguë comprennent des anomalies hématologiques telles que la leucopénie et la neutropénie et les symptômes gastro-intestinaux tels que la diarrhée des douleurs abdominales vomissements et dyspepsie.

L'expérience avec une surdose de cellule de conception chez l'homme est limitée. Les effets signalés associés à la surdose relèvent du profil de sécurité connu du médicament. La dose la plus élevée administrée aux patients atteints de transplantation rénale dans les essais cliniques a été de 4 g / jour. Dans une expérience limitée avec les patients atteints de transplantation cardiaque et hépatique dans les essais cliniques, les doses les plus élevées utilisées étaient de 4 g / jour ou 5 g / jour. À des doses de 4 g / jour ou 5 g / jour, il semble y avoir un taux plus élevé par rapport à l'utilisation de 3 g / jour ou moins d'intolérance gastro-intestinale (vomissements nausées et / ou diarrhée) et des anomalies hématologiques occasionnelles en particulier la neutropénie [voir AVERTISSEMENTS ET PRÉCAUTIONS ].

Traitement et gestion

Le MPA et le métabolite du glucuronide phénolique de MPA (MPAG) ne sont généralement pas éliminés par l'hémodialyse. Cependant, à des concentrations plasmatiques élevées de MPAG (> 100 mg / ml), de petites quantités de MPAG sont supprimées. En augmentant l'excrétion du médicament, le MPA peut être éliminé par des séquestrants d'acide biliaire tels que la cholestyramine [voir Pharmacologie clinique ].

Contre-indications pour Cellcept

Des réactions allergiques à la conception cellulaire ont été observées; Par conséquent, le concept de cellule est contre-indiqué chez les patients présentant une hypersensibilité à l'acide mycophénolique mycophénolate de mofetil (MMF) (MPa) ou à tout composant du produit médicamenteux. Cellcept intraveineux est contre-indiqué chez les patients allergiques au polysorbate 80 (Tween).

Pharmacologie clinique fou Concept

Mécanisme d'action

Le mycophénolate mofetil (MMF) est absorbé après l'administration orale et hydrolysé en acide mycophénolique (MPa) le métabolite actif. Le MPA est un inhibiteur sélectif non compétitif des deux isoformes (type I et type II) de l'inosine monophosphate déshydrogénase (IMPDH) conduisant à l'inhibition de la encore Voie de la synthèse des nucléotides de guanosine et bloque la synthèse de l'ADN. Le mécanisme d'action de l'AMP est multiforme et comprend des effets sur les points de contrôle cellulaires responsables de la programmation métabolique des lymphocytes. MPA déplace les activités transcriptionnelles dans les lymphocytes d'un état prolifératif aux processus cataboliques. In vitro Des études suggèrent que le MPA module les activités transcriptionnelles dans les lymphocytes T CD4 humains en supprimant les voies AKT / MTOR et STAT5 qui sont pertinentes pour le métabolisme et la survie conduisant à un état anergique de cellules T où les cellules deviennent moins sensibles à la stimulation antigénique. De plus, MPA a amélioré l'expression de co-stimulateurs négatifs tels que CD70 PD-1 CTLA-4 et le facteur de transcription FOXP3 ainsi que la diminution de l'expression des co-stimulateurs positifs CD27 et CD28.

Le MPA diminue les réponses prolifératives des lymphocytes T et B aux réponses des anticorps de stimulation mitogène et allogénique ainsi que la production de cytokines à partir de lymphocytes et de monocytes tels que GM-CSF IFN-? IL-17 et TNF-α. De plus, l'AMP empêche la glycosylation des lymphocytes et les glycoprotéines monocytaires qui sont impliquées dans l'adhésion intercellulaire aux cellules endothéliales et peuvent inhiber le recrutement des leucocytes dans des sites d'inflammation et de rejet du greffon.

Dans l'ensemble, l'effet de l'AMP est cytostatique et réversible.

Pharmacodynamique

Il y a un manque d'informations sur les effets pharmacodynamiques du MMF.

Pharmacocinétique

Absorption

Après l'administration orale et intraveineuse, le MMF subit une conversion complète en MPA le métabolite actif. Chez 12 volontaires sains, la biodisponibilité absolue moyenne du MMF oral par rapport au MMF intraveineuse était de 94%. Il a été démontré que deux comprimés de 500 mg de cellule de cellule sont bioéquivalents à quatre capsules de concept cellulaire de 250 mg. Il a été démontré que cinq ml de la suspension orale de cellules constitués de 200 mg / ml constituaient des capsules de 250 mg de 250 mg.

Les estimations moyennes (± SD) des paramètres pharmacocinétiques pour le MPA après l'administration de MMF donnée comme doses uniques à des volontaires sains et à des doses multiples aux patients rénaux et transplantation hépatique sont indiqués dans Tableau . La zone sous la courbe de temps de concentration du plasma (ASC) pour l'AMP semble augmenter de manière doséproportionnelle chez les patients transplantés rénaux recevant de multiples doses orales de MMF jusqu'à une dose quotidienne de 3 g (NULL,5 g deux fois par jour) (voir Tableau 10 ).

Tableau 10 Pharmacokinetic Parameters fou MPA [mean (±SD)] Following Administration of MMF à Volontaires sains (Single Dose) et Kidney Heart et Liver Transplant Patients (Multiple Doses)

Volontaires sains Dose/Route Tmax
(h)
Cmax
(MCG / ML)
AUC total
(MCG • H / ML)
Dose unique 1 g / oral 0.80
(± 0,36)
(n = 129)
24.5
(± 9,5)
(n = 129)
63.9
(± 16,2)
(n = 117)
Greffe du rein Patients
(dosage deux fois par jour) Temps après
Transplantation
Dose/Route Tmax
(h)
Cmax
(MCG / ML)
Interdosage
Intervalle
AUC (0-12h)
(MCG • H / ML)
5 jours 1 g / iv 1.58
(± 0,46)
(n = 31)
12.0
(± 3,82)
(n = 31)
40.8
(± 11,4)
(n = 31)
6 jours 1 g / oral 1.33
(± 1,05)
(n = 31)
10.7
(± 4,83)
(n = 31)
32.9
(± 15,0)
(n = 31)
Tôt (moins de 40 jours) 1 g / oral 1.31
(± 0,76)
(n = 25)
8.16
(± 4,50)
(n = 25)
27.3
(± 10,9)
(n = 25)
Tôt (moins de 40 jours) 1,5 g / oral 1.21
(± 0,81)
(n = 27)
13.5
(± 8,18)
(n = 27)
38.4
(± 15,4)
(n = 27)
En retard (plus de 3 mois) 1,5 g / oral 0.90
(± 0,24)
(n = 23)
24.1
(± 12,1)
(n = 23)
65.3
(± 35,4)
(n = 23)
Patients de transplantation cardiaque
(dosage deux fois par jour) Temps après
Transplantation
Dose/Route Tmax
(h)
Cmax
(MCG / ML)
Interdosage
Intervalle
AUC (0-12h)
(MCG • H / ML)
Tôt
(Jour avant la sortie)
1,5 g / oral 1.8
(± 1,3)
(n = 11)
11.5
(± 6,8)
(n = 11)
43.3
(± 20,8)
(n = 9)
En retard (plus de 6 mois) 1,5 g / oral 1.1
(± 0,7)
(n = 52)
20.0
(± 9,4)
(n = 52)
54.1 a
(± 20,4)
(n = 49)
Patiens de transplantation hépatique
(dosage deux fois par jour) Temps après
Transplantation
Dose/Route Tmax
(h)
Cmax
(MCG / ML)
Interdosage
Intervalle
AUC (0-12h)
(MCG • H / ML)
4 à 9 jours 1 g / iv 1.50
(± 0,517)
(n = 22)
17.0
(± 12,7)
(n = 22)
34.0
(± 17,4)
(n = 22)
Tôt (5 à 8 days) 1,5 g / oral 1.15
(± 0,432)
(n = 20)
13.1
(± 6,76)
(n = 20)
29.2
(± 11,9)
(n = 20)
En retard (plus de 6 mois) 1,5 g / oral 1.54
(± 0,51)
(n = 6)
19.3
(± 11,7)
(n = 6)
49.3
(± 14,8)
(n = 6)
a AUC (0-12h) values quoted are extrapolated from data from samples collected over 4 hours.

Dans le early post-transplant period (less than 40 days post-transplant) kidney heart et liver transplant patients had mean MPA AUCs approximately 20% à 41% lower et mean Cmax approximately 32% à 44% lower compared à the late transplant period (i.e. 3 à 6 months post-transplant) (non-stationarity in MPA pharmacokinetics).

Les valeurs moyennes de l'ASC MPA après l'administration de 1 g à deux fois par jour de la cellule intraveineuse par jour sur 2 heures aux patients transplantés rénales pendant 5 jours étaient environ 24% plus élevées que celles observées après l'administration orale d'une dose similaire dans la phase post-transplantation immédiate.

Chez les patients transplantés hépatiques, l'administration de 1 g de concept de cellule intraveineuse deux fois par jour suivie de 1,5 g deux fois par jour Cellcept oral Cellcept a entraîné des estimations moyennes de l'AUC MPA similaires à celles trouvées chez les patients transplantés rénaux administrés 1 g de cellule deux fois par jour.

Effet de la nourriture

La nourriture (27 g de calories FAT 650) n'a eu aucun effet sur l'étendue de l'absorption (MPA AUC) de MMF lorsqu'il est administré à des doses de 1,5 g deux fois par jour à des patients transplantés rénaux. Cependant, MPA CMAX a été diminué de 40% en présence de nourriture [voir Posologie et administration ].

Distribution

Le volume apparent moyen (± ET) de distribution de MPA chez 12 volontaires sains était d'environ 3,6 (± 1,5) L / kg. Aux concentrations cliniquement pertinentes, MPA est liée à 97% à l'albumine plasmatique. Le métabolite du glucuronide phénolique de MPA (MPAG) est lié à 82% à l'albumine plasmatique à des plages de concentration MPAG qui sont normalement observées chez des patients transplantés rénaux stables; Cependant, à des concentrations de MPAG plus élevées (observées chez les patients présentant une déficience rénale ou une fonction de greffe rénale retardée), la liaison de l'AMP peut être réduite en raison de la compétition entre MPAG et MPA pour la liaison des protéines. Le rapport sanguin / plasma des concentrations de radioactivité était d'environ 0,6, ce qui indique que MPA et MPAG ne se répartissent pas largement dans les fractions cellulaires du sang.

In vitro Des études pour évaluer l'effet d'autres agents sur la liaison de l'AMP à l'albumine sérique humaine (HSA) ou les protéines plasmatiques ont montré que le salicylate (à 25 mg / dL avec l'albumine sérique humaine) et le MPAG (à ≥ 460 mcg / ml avec des protéines plasmatiques) ont augmenté la fraction libre de MPA. Le MPa à des concentrations pouvant atteindre 100 mcg / ml a eu peu d'effet sur la liaison de la digoxine de warfarine ou du propranolol, mais a diminué la liaison de la théophylline de 53% à 45% et de la phénytoïne de 90% à 87%.

Élimination

Le dégagement moyen (± SD) d'une demi-vie apparente et d'un plasma de l'AMP est de 17,9 (± 6,5) heures et 193 (± 48) ml / min après l'administration orale et 16,6 (± 5,8) heures et 177 (± 31) ml / min après l'administration intraveineuse respectivement.

Métabolisme

Le médicament parent MMF peut être mesuré de manière systématique pendant la perfusion intraveineuse; Cependant, environ 5 minutes après l'arrêt de la perfusion ou après l'administration orale, les concentrations de MMF sont inférieures à la limite de quantification (NULL,4 mcg / ml).

Métabolisme à MPA occurs pre-systemically after oual dosing. MPA is metabolized principally by glucuronyl transferase à foum MPAG which is not pharmacologically active. En vain MPAG est converti en MPA pendant la recirculation entérohépatique. Les métabolites suivants de la fraction 2-hydroxyéthyl-morpholinoo sont également récupérés dans l'urine suivant l'administration orale de MMF à des sujets sains: N- (2-carboxyméthyl) - morpholine N- (2-hydroxyéthyl) -morpholine et N-oxyde de la N-(2-hydroxyéthyle) -morpholine. En raison de la recirculation entérohépatique des pics secondaires MPAG / MPA dans le profil de concentration plasmatique de concentration MPA, sont généralement observés 6 à 12 heures après la dose. Même Les séquestrants tels que la cholestyramine réduisent l'ASC MPA en interférant avec cette recirculation entérohépatique du médicament [voir Surdosage et Études d'interaction médicamenteuse ci-dessous].

Excrétion

Dosage de démarrage de topamax pour la perte de poids

La quantité négligeable de médicament est excrétée en MPA (moins de 1% de la dose) dans l'urine. MMF radiomarqué par voie orale a entraîné une récupération complète de la dose administrée avec 93% de la dose administrée récupérée dans l'urine et 6% récupérées dans les excréments. La plupart (environ 87%) de la dose administrée sont excrétés dans l'urine sous forme de MPAG. Aux concentrations cliniquement rencontrées, MPA et MPAG ne sont généralement pas éliminées par l'hémodialyse. Cependant, à des concentrations plasmatiques élevées de MPAG (> 100 mcg / ml), de petites quantités de MPAG sont supprimées.

Une augmentation des concentrations plasmatiques de métabolites MMF (augmentation de 50% MPA et MPAG environ une augmentation de 3 à 6 fois) sont observées chez les patients atteints d'insuffisance rénale [voir Populations spécifiques ].

Populations spécifiques

Patients souffrant de troubles rénaux

Les paramètres pharmacocinétiques moyens (± SD) pour le MPA suivant l'administration de MMF orale donnés comme doses uniques à des sujets non transplantaires ayant une déficience rénale sont présentés en Tableau .

Dans une étude à dose unique, le MMF a été administré comme une capsule ou comme une perfusion intraveineuse pendant 40 minutes. PLASMA MPA AUC observé après dosage oral contre des volontaires souffrant d'une sévère trouble rénal chronique (DFG <25 mL/min/1.73 m 2 ) était environ 75% plus élevé par rapport à celui observé chez des volontaires sains (DFG> 80 ml / min / 1,73 m 2 ). In addition the single-dose plasma MPAG AUC was 3-fold à 6-fold higher in volunteers with severe renal impairment than in volunteers with mild renal impairment ou healthy volunteers consistent with the known renal elimination of MPAG. No data are available on the safety of long-term exposure à this level of MPAG.

Plasma MPA AUC observé après une dosage intraveineuse à dose unique (1 g) contre les volontaires (n = 4) avec une insuffisance rénale grave (GFR <25 mL/min/1.73 m 2 ) était de 62,4 mcg • h / ml (± 19,3). Le dosage multiple de MMF chez les patients présentant une insuffisance rénale chronique sévère n'a pas été étudié.

Patients avec une fonction de greffe retardée ou une non-fonction

Chez les patients présentant une fonction de greffe rénale retardée, la moyenne moyenne de la transplantation AUC (0-12H) était comparable à celle observée chez les patients post-transplantation sans fonction de greffe rénale retardée. Il existe un potentiel pour une augmentation transitoire de la fraction libre et de la concentration de MPA plasmatique chez les patients présentant une fonction de greffe rénale retardée. Cependant, l'ajustement de la dose ne semble pas nécessaire chez les patients présentant une fonction de greffe rénale retardée. Le plasma moyen MPAG L'AUC (0-12H) était 2 fois à 3 fois plus élevé que chez les patients post-transplantation sans fonction de greffe rénale retardée [voir Posologie et administration ].

Chez huit patients atteints de non-fonction du greffon primaire après la transplantation rénale, les concentrations plasmatiques de MPAG se sont accumulées environ 6 à 8 fois après un dosage multiple pendant 28 jours. L'accumulation de MPA était d'environ 1 fois à 2 fois.

La pharmacocinétique du MMF n'est pas modifiée par l'hémodialyse. L'hémodialyse n'élève généralement pas le MPA ou le MPAG. À des concentrations élevées d'hémodialyse MPAG (> 100 mcg / ml) ne supprime que de petites quantités de MPAG.

Patients souffrant de déficience hépatique

Les paramètres pharmacocinétiques moyens (± SD) pour le MPA suivant l'administration de MMF orale donnés comme doses uniques à des sujets non transplantaires présentant une déficience hépatique sont présentés en Tableau 11 .

Dans une étude à dose unique (1 g orale) de 18 volontaires atteints de cirrhose alcoolique et de 6 processus de glucuronidation hépatiques de la glucuronidation des MPA, il ne semblait pas être relativement affecté par les maladies parenchymateuses hépatiques lorsque les paramètres pharmacocinétiques de volontaires sains et des patients atteints de cirrhose alcoolique au sein de cette étude ont été comparés. Cependant, il convient de noter que pour des raisons inexpliquées, les volontaires sains de cette étude avaient environ 50% de l'ASC inférieur par rapport à des volontaires sains dans d'autres études, ce qui rend difficile des comparaisons entre des volontaires avec une cirrhose alcoolique et des volontaires sains. Dans une étude intraveineuse à dose unique (1 g) de 6 volontaires présentant une déficience hépatique sévère (essai d'aminopyrine moins de 0,2% de la dose) en raison de la cirrhose alcoolique MMF a été rapidement convertie en MPA. MPA AUC était de 44,1 mcg • h / ml (± 15,5).

Tableau 11 Pharmacokinetic Parameters fou MPA [mean (±SD)] Following Single Doses of MMF Capsules in Chronic Renal et Hepatic Impairment

Paramètres pharmacocinétiques pour les troubles rénaux
Dose Tmax
(h)
Cmax
(MCG / ML)
AUC (0-96H)
(MCG • H / ML)
Volontaires sains 1 g 0.75
(± 0,27)
25.3
(± 7,99)
45.0
(± 22,6)
2
Troubles rénaux légers 1 g 0.75
(± 0,27)
26.0
(± 3,82)
59.9
(± 12,9)
2
Affaire rénale modérée 1 g 0.75
(± 0,27)
19.0
(± 13,2)
52.9
(± 25,5)
2
Trouble rénal grave 1 g 1.00
(± 0,41)
16.3
(± 10,8)
78.6
(± 46,4)
2
Paramètres pharmacocinétiques pour les troubles hépatiques
Dose Tmax
(h)
Cmax
(MCG / ML)
AUC (0-48H)
(MCG • H / ML)
Volontaires sains
1 g 0.63
(± 0,14)
24.3
(± 5,73)
29.0
(± 5,78)
Cirrhose alcoolique
1 g 0.85
(± 0,58)
22.4
(± 10,1)
29.8
(± 10,7)
Patients pédiatriques

Les paramètres pharmacocinétiques du MPA et du MPAG ont été évalués chez 55 patients pédiatriques (allant de 1 an à 18 ans) recevant une suspension orale de cellules à une dose de 600 mg / m / m 2 Deux fois par jour (jusqu'à un maximum de 1 g deux fois par jour) après une transplantation rénale allogénique. Les données pharmacocinétiques pour MPA sont fournies en Tableau .

Tableau 12 Mean (±SD) Computed Pharmacokinetic Parameters fou MPA by Age et Temps after Allogeneic Greffe du reination

Groupe d'âge (n) Temps Tmax
(h)
Dose Adjusted a Cmax
(MCG / ML)
Dose Adjusted a
AUC0-12
(MCG • H / ML)
1 à moins de 2 ans (6) d Tôt (Day 7) 3.03 (4.70) 10.3 (5.80) 22.5 (6.66)
1 à moins de 6 ans (17) 1.63 (2.85) 13.2 (7.16) 27.4 (9.54)
6 à moins de 12 ans (16) 0.940 (NULL,546) 13.1 (6.30) 33.2 (12.1)
12 à 18 ans (21) 1.16 (NULL,830) 11.7 (10.7) 26.3 (9.14) b
1 à moins de 2 ans (4) d En retard (mois 3) 0.725 (NULL,276) 23.8 (13.4) 47.4 (14.7)
1 à moins de 6 ans (15) 0.989 (NULL,511) 22.7 (10.1) 49.7 (18.2)
6 à moins de 12 ans (14) 1.21 (NULL,532) 27.8 (14.3) 61.9 (19.6)
12 à 18 ans (17) 0.978 (NULL,484) 17.9 (9.57) 53.6 (20.3) c
1 à moins de 2 ans (4) d En retard (mois 9) 0.604 (NULL,208) 25.6 (4.25) 55.8 (11.6)
1 à moins de 6 ans (12) 0.869 (NULL,479) 30.4 (9.16) 61.0 (10.7)
6 à moins de 12 ans (11) 1.12 (NULL,462) 29.2 (12.6) 66.8 (21.2)
12 à 18 ans (14) 1.09 (NULL,518) 18.1 (7.29) 56.7 (14.0)
a ajusté à une dose de 600 mg / m 2
b n = 20
c n = 16
d un sous-ensemble de 1 à <6 yr

La dose de suspension orale de cellules de 600 mg / m 2 Deux fois par jour (jusqu'à un maximum de 1 g deux fois par jour) a atteint des valeurs moyennes de l'ASC MPA chez les patients pédiatriques similaires à ceux observés chez les patients transplantés rénaux adultes recevant des capsules de concept cellulaire à une dose de 1 g deux fois par jour au début de la période post-transplantation. Il y avait une grande variabilité dans les données. Comme observé chez les adultes, les valeurs AUC MPA post-transplantation précoces étaient d'environ 45% à 53% de moins que celles observées au cours de la période post-transplantation ultérieure (> 3 mois). Les valeurs de l'ASC MPA étaient similaires au début et à la fin de la période post-transplantation dans la tranche d'âge de 1 à 18 ans.

Une comparaison de la dose-normalisée (à 600 mg / m 2 )) Les valeurs de l'ASC MPA chez 12 patients atteints de transplantation rénale pédiatrique de moins de 6 ans à 9 mois après la transplantation avec ces valeurs chez 7 patients atteints de transplantation hépatique pédiatrique [âge médian de 17 mois (extrêmes: 10 à 60 mois)] et à 6 mois et au-delà du post-transplantation ont révélé qu'à la même dose, il y avait en moyenne 23% de valeurs de l'AUC dans la pédatrique de pédiatriques comparées à des patients de la gamme pédiotrique comparés à des patientes de renes pédiotriques. Cela est cohérent avec la nécessité d'une dosage plus élevée chez les patients atteints de transplantation hépatique adulte par rapport aux patients transplantés rénaux pour obtenir la même exposition.

Chez les patients transplantés adultes, il a administré le même dosage de Cellcept, il y a une exposition similaire à l'AMP chez les patients transplantés rénaux et la transplantation cardiaque. Sur la base de la similitude établie de l'exposition au MPA entre la transplantation rénale pédiatrique et les patients atteints de transplantation rénale adulte à leurs doses respectives approuvées, on s'attend à ce que l'exposition au MPA à la posologie recommandée soit similaire chez la transplantation cardiaque pédiatrique et les patients atteints de transplantation cardiaque adulte.

Patients masculins et féminins

Données obtained from several studies were pooled à look at any gender-related differences in the pharmacokinetics of MPA (data were adjusted à 1 g oual dose). Mean (±SD) MPA AUC (0-12h) fou males (n=79) was 32.0 (±14.5) et fou females (n=41) was 36.5 (±18.8) mcg•h/mL while mean (±SD) MPA Cmax was 9.96 (±6.19) in the males et 10.6 (±5.64) mcg/mL in the females. These differences are not of clinical significance.

Patients gériatriques

La pharmacocinétique du mycophénolate mofetil et de ses métabolites n'a pas été modifiée chez les patients transplantés gériatriques par rapport aux patients transplantés plus jeunes.

Études d'interaction médicamenteuse

Acyclovir

La co-administration de MMF (1 g) et d'acyclovir (800 mg) à 12 volontaires sains n'a entraîné aucun changement significatif dans l'ASC MPA et le CMAX. Cependant, les AUC du plasma MPAG et acyclovir ont augmenté respectivement de 10,6% et 21,9%.

Antiacides avec des hydroxydes de magnésium et d'aluminium

Absorption of a single dose of MMF (2 g) was decreased when administered à 10 rheumaàid arthritis patients also taking Maalox ® TC (10 ml QID). Le CMAX et l'ASC (0-24H) pour MPA étaient de 33% et 17% inférieurs respectivement à celui lorsque le MMF a été administré seul dans des conditions de jeûne.

Inhibiteurs de la pompe à protons (IPP)

La co-administration des IPP (par exemple le lansoprazole pantoprazole) à des doses uniques pour des volontaires sains et des doses multiples aux patients transplantés recevant un concept de cellule pour réduire l'exposition au MPA. Une réduction approximative de 30 à 70% dans le CMAX et 25% à 35% dans l'ASC de MPA a été observée, éventuellement en raison d'une diminution de la solubilité du MPA à un pH gastrique accru.

Cholestyramine

Après une administration à dose unique de 1,5 g de MMF à 12 volontaires sains prétraités avec 4 g trois fois par jour de cholestyramine pendant 4 jours, l'ASC MPA a diminué d'environ 40%. Cette diminution est cohérente avec l'interruption de la recirculation entérohépatique qui peut être due à la liaison de la recirculation MPAG avec la cholestyramine dans l'intestin.

Cyclosporine

Cyclosporine (Sandimmune ® ) La pharmacocinétique (à des doses de 275 à 415 mg / jour) n'a pas été affectée par des doses uniques et multiples de 1,5 g deux fois par jour de MMF chez 10 patients transplantés rénaux stables. L'AUC moyenne (± SD) (0-12H) et le CMAX de cyclosporine après 14 jours de doses multiples de MMF étaient respectivement de 3290 (± 822) par rapport à 3245 (± 1088) Ng • H / ml et 700 (± 246) Ng / mL MMF.

Cyclosporine A interferes with MPA enterohepatic recirculation. In kidney transplant patients mean MPA exposure (AUC (0-12h)) was approximately 30-50% greater when MMF was administered without cyclospouine compared with when MMF was coadministered with cyclospouine. This interaction is due à cyclospouine inhibition of multidrug-resistance-associated protein 2 (MRP-2) transpouter in the biliary tract thereby preventing the excretion of MPAG inà the bile that would lead à enterohepatic recirculation of MPA. This infoumation should be taken inà consideration when MMF is used without cyclospouine.

Médicaments affectant la glucuronidation

L'administration concomitante de médicaments inhibant la glucuronidation de l'AMP peut augmenter l'exposition à l'AMP (par exemple, l'augmentation de l'ASC MPA (0-∞) de 35% a été observée avec l'administration concomitante d'isavuconazole). L'administration concomitante de Telmisartan et de Cellcept a entraîné une diminution d'environ 30% des concentrations de MPA. Telmisartan modifie l'élimination de MPA en améliorant l'expression du récepteur gamma PPAR (peroxysome prolifératoractivé gamma) qui entraîne à son tour une activité d'expression et de glucuronidation améliorée de l'UGT1A9.

Gandiclovir

Après l'administration à dose unique à 12 patients transplantés rénaux stables, aucune interaction pharmacocinétique n'a été observée entre le MMF (NULL,5 g) et le ganciclovir intraveineux (5 mg / kg). Moyenne (± SD) Ganciclovir AUC et CMAX (n = 10) étaient de 54,3 (± 19,0) MCG • H / ml et 11,5 (± 1,8) MCG / ml respectivement après la co-administration des deux médicaments par rapport à 51,0 (± 17,0) MCG • H / ML et 10,6 (± 2,0) MCG / ml ganciclovir seul. La moyenne (± SD) AUC et CMAX de MPA (n = 12) après la co-administration étaient 80,9 (± 21,6) MCG • H / ml et 27,8 (± 13,9) MCG / ml par rapport aux valeurs de 80,3 (± 16,4) mg • H / ml et 30,9 (± 11,2) MCG / ml respectivement après la réalisation de MMF seul.

Contraceptifs oraux

Une étude de la co-administration de Cellcept (1 g deux fois par jour) et des contraceptifs oraux combinés contenant de l'éthinylestradiol (NULL,02 mg à 0,04 mg) et du lévonorgestrel (NULL,05 mg à 0,20 mg) du désogestrel (NULL,15 mg) ou du gestodène (NULL,05 mg à 0,10 mg) a été mené dans 18 femmes avec psoriasis cycles. Les taux sériques moyens de LH FSH et de progestérone n'ont pas été significativement affectés. L'AUC moyenne (0-24H) était similaire pour l'éthinylestradiol et le 3-céto-désogestrel; Cependant, l'ASC de lévonorgestrel moyen (0-24H) a considérablement diminué d'environ 15%. Il y avait une grande variabilité inter-patient (% CV dans la plage de 60% à 70%) dans les données, en particulier pour l'éthinylestradiol.

Sevelamer

L'administration concomitante de Sevelamer et du MMF chez les patients adultes et pédiatriques a diminué le MPA CMAX et l'ASC moyens (0-12H) de 36% et 26% respectivement.

Antimicrobiens

Antimicrobiens eliminating beta-glucuronidase-producing bacteria in the intestine (e.g. aminoglycoside cephalospouin fluouoquinolone et penicillin classes of antimicrobials) may interfere with the MPAG/MPA enterohepatic recirculation thus leading à reduced systemic MPA exposure. Infoumation concerning antibiotics is as follows:

  • Triméthoprime / sulfaméthoxazole: Après l'administration à dose unique de MMF (NULL,5 g) à 12 volontaires masculins en bonne santé au jour 8 d'un cours de 10 jours de triméthoprime 160 mg / sulfaméthoxazole 800 mg administré deux fois par jour, aucun effet sur la biodisponibilité de l'AMP a été observé. L'ASUC et le CMAX moyen (± SD) de MPA après administration concomitante étaient respectivement de 75,2 (± 19,8) MCG • H / ml et 34,0 (± 6,6) mg / ml par rapport à 79,2 (± 27,9) MCG • H / ml et 34,2 (± 10,7) MCG / ml après l'administration de mmf seul.
  • Norfloxacine et métronidazole: suivant l'administration à dose unique de MMF (1 g) à 11 volontaires sains au jour 4 d'un cours de 5 jours d'une combinaison de norfloxacine et de métronidazole, le MPA AUC moyen (0-48H) a été significativement réduit de 33% par rapport à l'administration de MMF seul (P. <0.05). The mean (±SD) MPA AUC (0-48H) after coadministration of MMF with noufloxacin ou metronidazole separately was 48.3 (±24) mcg·h/mL et 42.7 (±23) mcg·h/mL respectively compared with 56.2 (±24) mcg·h/mL after administration of MMF alone.
  • Ciprofloxacine et amoxicilline plus acide clavulanique: un total de 64 receveurs de transplantation rénale traités par cellule conçue soit 500 mg de ciprofloxacine orale à 500 mg deux fois par jour, soit l'amoxicilline plus l'acide clavulanique 375 mg trois fois par jour pour 7 ou au moins 14 jours respectivement. Environ 50% de réductions des concentrations médianes de MPA (pré-dose) de la ligne de base (Cellcept seul) ont été observées dans 3 jours suivant le début de la ciprofloxacine orale ou de l'amoxicilline plus l'acide clavulanique. Ces réductions des concentrations de MPA ont tendance à diminuer dans les 14 jours suivant le traitement antimicrobien et ont cessé dans les 3 jours suivant l'arrêt des antibiotiques.
  • RIFAMPIN: Chez un seul patient de transplantation de poumon cardiaque après correction pour la dose, une diminution de 67% de l'exposition au MPA (AUC (0-12H)) a été observée avec l'administration concomitante de MMF et de rifampine.

Études cliniques

Greffe du reination

Adultes

Les trois encore Les études de transplantation rénale ont comparé deux niveaux de dose de concept cellulaire oral (1 g deux fois par jour et 1,5 g deux fois par jour) avec de l'azathioprine (2 études) ou du placebo (étude 1) pour prévenir les épisodes de rejet aigu. L'une des deux études avec le bras témoin de l'azathioprine (AZA) comprenait également l'anti-thymocyte globuline (Atgam ® ) Thérapie d'induction. The geographic location of the investigational sites of these studies are included in Tableau .

Dans les trois encore Études de transplantation rénale Le critère d'évaluation de l'efficacité principale était la proportion de patients dans chaque groupe de traitement qui ont connu un échec du traitement au cours des 6 premiers mois suivant la transplantation. L'échec du traitement a été défini comme un rejet aigu prouvé par la biopsie sur le traitement ou la survenue d'une perte de greffe de mort ou d'une interruption précoce de l'étude pour quelque raison que ce soit sans rejet préalable de la biopsie.

Concept in combination with couticosteroids et cyclospouine reduced (statistically significant at 0.05 level) the incidence of treatment failure within the first 6 months following transplantation ( Tableau 13 ). Patients who prematurely discontinued treatment were followed fou the occurrence of death ou graft loss et the cumulative incidence of graft loss et patient death combined are summarized in Tableau . Les patients qui ont interrompu un traitement prématurément n'ont pas été suivis pour la survenue d'un rejet aigu après la cessation.

Tableau 13 Treatment Failure in De Novo Greffe du reination Studies

Étude des États-Unis
(N = 499 patients)
Concept
2 g / jour
(n = 167 patients)
Concept
3 g / jour
(n = 166 patients)
Ne le faites pas
1 à 2 mg / kg / jour
(n = 166 patients)
Les 3 groupes ont reçu une cyclosporine et des corticostéroïdes à induction anti-thymocytaire globuline
Toutes les échecs de traitement 31,1% 31,3% 47,6%
Tôt termination without priou
rejet aigu
9,6% 12,7% 6,0%
Épisode de rejet prouvé par la biopsie
en traitement
19,8% 17,5% 38,0%
Europe / Canada /
Étude en Australie
(N = 503 patients)
Concept
2 g / jour
(n = 173 patients)
Concept
3 g / jour
(n = 164 patients)
Ne le faites pas
100 à 150 mg / jour
(n = 166 patients)
Aucun traitement d'induction administré; Les 3 groupes ont reçu de la cyclosporine
et couticosteroids.
Toutes les échecs de traitement 38,2% 34,8% 50,0%
Tôt termination without priou
rejet aigu
13,9% 15,2% 10,2%
Épisode de rejet prouvé par la biopsie
en traitement
19,7% 15,9% 35,5%
Étude d'Europe
(N = 491 patients)
Concept
2 g / jour
(n = 165 patients)
Concept
3 g / jour
(n = 160 patients)
Placebo
(n = 166 patients)
Aucun traitement d'induction administré; Les 3 groupes ont reçu de la cyclosporine
et couticosteroids.
Toutes les échecs de traitement 30,3% 38,8% 56,0%
Tôt termination without priou
rejet aigu
11,5% 22,5% 7,2%
Épisode de rejet prouvé par la biopsie
en traitement
17,0% 13,8% 46,4%
* N'inclut pas la mort et la perte de greffe comme motif de résiliation précoce.

Aucun avantage de Cellcept à 12 mois en ce qui concerne la perte de greffe ou la mort du patient (combiné) ( Tableau 14 ). Numerically patients receiving Concept 2 g / jour et 3 g / jour experienced a better outcome than controls in all three studies; patients receiving Concept 2 g / jour experienced a better outcome than Concept 3 g / jour in two of the three studies. Patients in all treatment groups who terminated treatment early were found à have a poou outcome with respect à graft loss ou patient death at 1 year.

Tableau 14 De Novo Greffe du reination Studies Cumulative Incidence of Combined Graft Loss ou Patient Death at 12 Months

Étude Concept
2 g / jour
Concept
3 g / jour
Contrôle
(Aza ou placebo)
cerf 8,5% 11,5% 12,2%
Europe / Canada /Australia 11,7% 11,0% 13,6%
Europe 8,5% 10,0% 11,5%
Pédiatrie

Étude PK de transplantation rénale de novo avec suivi à long terme

Une sécurité ouverte et une étude pharmacocinétique de la suspension orale de Cellcept 600 mg / m 2 Deux fois par jour (jusqu'à 1 g deux fois par jour) en combinaison avec la cyclosporine et les corticostéroïdes ont été réalisés dans des centres des États-Unis (9) Europe (5) et l'Australie (1) chez 100 patients pédiatriques (3 mois à 18 ans) pour la prévention du rejet d'allogreffe rénale. Cellcept était bien toléré chez les patients pédiatriques [voir Effets indésirables ] et le profil de pharmacocinétique était similaire à celui observé chez les patients adultes dosés avec 1 g de capsules de concept de cellules de 1 g [voir [voir Pharmacologie clinique ]. The rate of biopsy-proven rejection was similar across the age groups (3 months à <6 years 6 years à <12 years 12 years à 18 years). The overall biopsy-proven rejection rate at 6 months was comparable à adults. The combined incidence of graft loss (5%) et patient death (2%) at 12 months post-transplant was similar à that observed in adult kidney transplant patients.

Transplantation cardiaque

Une étude multicentrique à groupe parallèle comparatif en double aveugle en double aveugle en primaire encore Les bénéficiaires de transplantation cardiaque ont été effectués dans des centres des États-Unis (20) au Canada (1) en Europe (5) et en Australie (2). Le nombre total de patients inscrits (population ITT) était de 650; 72 n'ont jamais reçu de médicament d'étude et 578 ont reçu un médicament d'étude (population de sécurité). Les patients ont reçu un cellule de 1,5 g deux fois par jour (n = 289) ou AZA 1,5 à 3 mg / kg / jour (n = 289) en combinaison avec la cyclosporine (Sandimmune ® ou Neoral ® ) et les corticostéroïdes comme traitement immunosuppresseur d'entretien. The two primary efficacy endpoints were: (1) the propoution of patients who after transplantation had at least one endomyocardial biopsy-proven rejection with hemodynamic compromise ou were re-transplanted ou died within the first 6 months et (2) the propoution of patients who died ou were re-transplanted during the first 12 months following transplantation. Patients who prematurely discontinued treatment were followed fou the occurrence of allograft rejection fou up à 6 months et fou the occurrence of death fou 1 year.

Les analyses des paramètres ont montré:

  • Rejet: Aucune différence n'a été établie entre Cellcept et AZA en ce qui concerne le rejet prouvé par la biopsie avec un compromis hémodynamique.
  • Survie: Cellcept s'est avéré au moins aussi efficace que l'AZA pour prévenir la mort ou la rétransplantation à 1 an (voir Tableau ).

Tableau 15 De Novo Transplantation cardiaque Étude Rejection at 6 Months/Death ou Re-transplantation at 1 Year

Tous les patients (ITT) Patients traités
Ne le faites pas
N = 323
Concept
N = 327
Ne le faites pas
N = 289
Concept
N = 289
Rejet prouvé par la biopsie avec un compromis hémodynamique à 6 mois a 121 (38%) 120 (37%) 100 (35%) 92 (32%)
Décès ou rétransplantation à 1 an 49
(NULL,2%)
42 (NULL,8%) 33 (NULL,4%) 18 (NULL,2%)
a Un compromis hémodynamique s'est produit si l'un des critères suivants a été rempli: pression capillaire pulmonaire de ³20 mm ou augmentation de 25%; indice cardiaque <2.0 L/min/m 2 ou une diminution de 25%; Fraction d'éjection £ 30%; saturation en oxygène de l'artère pulmonaire 60% £ ou une diminution de 25%; présence de nouveau galop S3; Le raccourcissement fractionnaire était de 20% £ ou une diminution de 25%; Soutien inotrope requis pour gérer l'état clinique.

Transplantation hépatique

Une étude multicentrique à groupe parallèle comparatif en double aveugle en double aveugle en primaire hepatic transplant recipients was perfoumed at centers in the United States (16) in Canada (2) in Europe (4) et in Australia (1). The àtal number of patients enrolled was 565. Per proàcol patients received Concept 1 g twice daily intravenously fou up à 14 days followed by Concept 1.5 g twice daily oually ou Ne le faites pas 1 à 2 mg / kg / jour intravenously followed by Ne le faites pas 1 à 2 mg / kg / jour oually in combination with cyclospouine (Néoral ® ) et les corticostéroïdes comme traitement immunosuppresseur d'entretien. The actual median oual dose of Ne le faites pas on study was 1.5 mg / kg / jour (range of 0.3 à 3.8 mg / kg / jour) initially et 1.26 mg / kg / jour (range of 0.3 à 3.8 mg / kg / jour) at 12 months. The two primary endpoints were: (1) the propoution of patients who experienced in the first 6 months post-transplantation one ou moue episodes of biopsy-proven et treated rejection ou death ou re-transplantation et (2) the propoution of patients who experienced graft loss (death ou re-transplantation) during the first 12 months post-transplantation. Patients who prematurely discontinued treatment were followed fou the occurrence of allograft rejection et fou the occurrence of graft loss (death ou re-transplantation) fou 1 year.

En combinaison avec les corticostéroïdes et la cyclosporine cellcept, il a démontré un taux de rejet aigu inférieur à 6 mois et un taux de décès ou de rétransplantation similaire à 1 an par rapport à l'AZA (tableau 16).

Tableau 16 De Novo Transplantation hépatique Étude Rejection at 6 Months/Death ou Retransplantation at 1 Year

Ne le faites pas
N = 287
Concept
N = 278
Rejet traité prouvé par la biopsie
à 6 mois (comprend la mort ou la retransplantation)
137 (NULL,7%) 107 (NULL,5%)
Décès ou rétransplantation à 1 an 42 (NULL,6%) 41 (NULL,7%)

Informations sur les patients pour Cellcept

Concept ®
[Sel-sept]
(capsules de mofetil mycophénolate)
(comprimés de mofetil mycophénolate)

Concept ®
[Sel-sept]
(Mycophénolate mofetil pour la suspension orale)

Concept ®
[Sel-sept]
(Mycophénolate mofetil pour l'injection)

Lisez le guide de médicaments qui est livré avec Cellcept avant de commencer à le prendre et chaque fois que vous remplissez votre ordonnance. Il peut y avoir de nouvelles informations. Ce guide de médicaments ne prend pas la place de parler avec votre médecin de votre état de santé ou de votre traitement.

Quelles sont les informations les plus importantes que je devrais connaître sur Cellcept?

Concept can cause serious side effects including:

Risque accru de perte d'une grossesse (fausse couche) et un risque plus élevé de malformations congénitales. Les femmes qui prennent la cellule pendant la grossesse ont un risque plus élevé de fausse couche au cours des 3 premiers mois (premier trimestre) et un risque plus élevé que leur bébé naît avec des malformations congénitales.

Vous devez utiliser un contrôle des naissances acceptable pendant l'ensemble de votre traitement Cellcept et pendant 6 semaines après l'arrêt de Cellcept, sauf si vous choisissez à tout moment pour éviter complètement les rapports sexuels (abstinence) avec un homme. Cellcept diminue les taux sanguins des hormones en pilules contraceptives que vous prenez par la bouche. Les pilules contraceptives peuvent ne pas fonctionner aussi bien pendant que vous prenez CELLANCET et que vous pourriez tomber enceinte. Si vous prenez des pilules contraceptives tout en utilisant Cellcept, vous devez également utiliser une autre forme de contraception. Parlez à votre médecin d'autres méthodes de contraception que vous pouvez utiliser lors de la prise de Cellcept.

Risque accru d'obtenir des infections graves. Concept weakens the body’s immune system et affects your ability à fight infections. Serious infections can happen with Concept et can lead à hospitalizations et death. These serious infections can include:

  • Si vous êtes une femme qui peut devenir enceinte Votre médecin doit parler avec vous des méthodes de contraception acceptables (conseils contraceptifs) à utiliser lors de la prise de cellules. Vous devriez subir 1 test de grossesse immédiatement avant de démarrer Cellcept et un autre test de grossesse 8 à 10 jours plus tard. Les tests de grossesse doivent être répétés lors des visites de suivi de routine avec votre médecin. Parlez à votre médecin des résultats de tous vos tests de grossesse.
  • Si vous êtes un homme sexuellement actif dont le partenaire féminin peut devenir enceinte pendant que vous prenez Cellcept Utilisez une contraception efficace pendant le traitement et pendant au moins 90 jours après l'arrêt de Cellcept.
  • Si vous prévoyez de tomber enceinte Parlez avec votre médecin. Votre médecin décidera si d'autres médicaments pour éviter le rejet peuvent vous convenir.
  • Si vous tombez enceinte pendant la prise de cellule, n'arrêtez pas de prendre CELLANNET. Appelez votre médecin tout de suite. Vous et votre médecin pouvez décider que les autres médicaments pour éviter le rejet peuvent vous convenir. Vous et votre médecin devriez signaler votre grossesse au registre de grossesse mycophénolate:

    Le but de ce registre est de recueillir des informations sur la santé de vous et de votre bébé.

    Risque accru d'obtenir certains cancers. Les personnes qui prennent celle de cellules ont un risque plus élevé d'obtenir un lymphome et d'autres cancers, en particulier le cancer de la peau. Dites à votre médecin si vous avez:

    Ingrédient de Benadryl qui provoque la somnolence
    • Par téléphone au 1-800-617-8191 ou
    • En visitant le site Web du REMS à: www.mycophénolaterems.com
    • Fièvre inexpliquée Perte de poids de fatigue prolongée ou gonflement des ganglions lymphatiques
    • Une lésion de la peau brune ou noire avec des bordures inégales ou une partie de la lésion ne ressemble pas à l'autre
    • un changement de taille et de couleur d'une taupe
    • une nouvelle lésion ou une nouvelle lésion
    • Tout autre changement à votre santé
  • Infections virales. Certains virus peuvent vivre dans votre corps et provoquer des infections actives lorsque votre système immunitaire est faible. Les infections virales qui peuvent se produire avec Cellcept comprennent:
    • Zona Autres infections à l'herpès et cytomégalovirus (CMV). Le CMV peut provoquer des infections graves et sanguines.
    • Virus BK. Le virus BK peut affecter le fonctionnement de votre rein et provoquer l'échec de votre rein transplanté.
    • Virus d'hépatite B et C. Les virus de l'hépatite peuvent affecter le fonctionnement de votre foie. Parlez à votre médecin de la façon dont les virus de l'hépatite peuvent vous affecter.
    • COVID 19
  • Une infection cérébrale appelée leucoencéphalopathie multifocale progressive (PML). Chez certains patients, le concept, celle peut provoquer une infection du cerveau qui peut entraîner la mort. Vous êtes à risque de cette infection cérébrale car vous avez un système immunitaire affaibli. Appelez votre médecin immédiatement si vous présentez l'un des symptômes suivants:
    • faiblesse on one side of the body
    • Vous ne vous souciez pas des choses qui vous tiennent habituellement (apathie)
    • Vous êtes confus ou avez des problèmes de réflexion
    • Vous ne pouvez pas contrôler vos muscles
  • Infections fongiques. Les levures et autres types d'infections fongiques peuvent se produire avec Cellcept et peuvent provoquer des infections graves et sanguines (voir Quels sont les effets secondaires possibles de Cellcept? ).

Appelez votre médecin immédiatement si vous avez l'un des signes et symptômes suivants de l'infection:

  • température de 100,5 ° F ou plus
  • symptômes du rhume comme un nez qui coule ou mal de gorge
  • symptômes de la grippe tels que des douleurs à l'estomac à l'estomac vomissant ou diarrhée
  • maux d'oreille ou maux de tête
  • douleur pendant la miction
  • Porches blanches dans la bouche ou la gorge
  • ecchymoses ou saignements inattendus
  • coupe des éraflures ou des incisions qui sont rouges chauds et suintent du pus

Voir Quels sont les effets secondaires possibles de Cellcept? pour plus d'informations sur d'autres effets secondaires graves.

Qu'est-ce que Cellcept?

  • Concept is a prescription medicine à prevent rejection (antirejection medicine) in people who have received a kidney heart ou liver transplant. Rejection is when the body’s immune system perceives the new ougan as a foueign threat et attacks it.
  • Concept is used with other medicines containing cyclospouine et couticosteroids.

Qui ne devrait pas prendre CELLEBEPT?

Ne prenez pas de concept de cellule si vous êtes allergique au mycophénolate mofetil ou à l'un des ingrédients de Cellcept.

Voir the end of this Guide des médicaments fou a complete list of ingredients in Concept.

Que dois-je dire à mon médecin avant de prendre CELLANNET?

Parlez à votre médecin de toutes vos conditions médicales, y compris si vous:

  • avoir des problèmes digestifs tels que les ulcères.
  • ont une phénylketonurie (PKU). La suspension orale de Cellcept contient de l'aspartame (une source de phénylalanine).
  • ont le syndrome de Lesch-Nyhan du syndrome de Kelley-Seegliller ou une autre carence héréditaire rare hypoxanthineguanine phosphoribosyl-transférase (HGPRT). Vous ne devez pas prendre CELLESCET si vous avez un de ces troubles.
  • Prévoyez de recevoir des vaccins. Les personnes qui prennent celle de cellules ne devraient pas recevoir de vaccins vivants. Certains vaccins peuvent ne pas fonctionner aussi bien pendant le traitement avec Cellcept.
  • sont enceintes ou prévoient de devenir enceintes. Voir Quelles sont les informations les plus importantes que je devrais connaître sur Cellcept?
  • allaitent ou prévoient d'allaiter. On ne sait pas si Cellcept passe dans le lait maternel. Vous et votre médecin déciderez si vous prenez CELLANCET ou l'allaitement.

Parlez à votre fournisseur de soins de santé de tous les médicaments que vous prenez y compris les médicaments sur ordonnance et en vente libre des vitamines et des suppléments à base de plantes. Certains médicaments peuvent affecter le fonctionnement de Cellcept et Cellcept peut affecter le fonctionnement de certains médicaments.

Parlez surtout de votre médecin si vous prenez:

  • pilules contraceptives (oual contraceptives). Voir Quelles sont les informations les plus importantes que je devrais connaître sur Cellcept?
  • Sevelamer (Renagel ® Renvelaä). Ces produits doivent être pris au moins 2 heures après la prise de Cellcept.
  • acyclovir (Zovirax ® ) Valacyclovir (Valtrex ® ) ganciclovir (cytovène ® -V vitrasert ® ) Valganciclovir (Valcyte ® ).
  • rifampin (rifathers ® Rifamate ® Rimactane ® Corde ® ).
  • Les antiacides contenant du magnésium et de l'aluminium (Cellcept et l'antiacide ne doivent pas être pris en même temps).
  • inhibiteurs de la pompe à protons (IPP) (prévacide ® Protonix ® ).
  • sulfaméthoxazole / triméthoprime (Bactrimä bactrim dsä).
  • Norfloxacine (Noroxin ® ) et le métronidazole (Flagyl ® Flagyl ® Est Flagyl ® IV Metro IV Helidac ® Pylra).
  • ciprofloxacine (cipro ® Cipro ® XR Ciloxan ® Proquin ® Xr) et amoxicilline plus acide clavulanique (augmentin ® Augmentin xrä).
  • Azathyioprine (Azasan ® Imura ® ).
  • cholestyramine (Light Light ® Quête ® Locholest léger locholest provalite ® ).

Connaissez les médicaments que vous prenez. Gardez une liste d'entre eux à montrer à votre médecin ou à votre infirmière et à votre pharmacien lorsque vous obtenez un nouveau médicament. Ne prenez pas de nouveau médicament sans parler avec votre médecin.

Comment dois-je prendre CELLESCET?

  • Prenez Cellcept exactement comme prescrit.
  • Ne pas Arrêtez de prendre CELLEPT ou modifiez la dose à moins que votre médecin ne vous le dise.
  • Si vous manquez une dose de Cellcept ou si vous ne savez pas quand vous avez pris votre dernière dose, prenez votre dose de concept cellulaire prescrit dès que vous vous en souvenez. Si votre prochaine dose est à moins de 2 heures de route, sautez la dose manquée et prenez votre prochaine dose à votre heure prévue normale. Ne pas Prenez 2 doses en même temps. Appelez votre médecin si vous ne savez pas quoi faire.
  • Prenez des comprimés de capsules Cellcept et une suspension orale à jeun à moins que votre médecin ne vous dise le contraire. Ne pas Écraser les comprimés de cellule.
  • Ne pas Capsules ouvertes ou écrasées par cellule.
  • Si vous n'êtes pas en mesure d'avaler des comprimés ou des capsules de cellules, votre médecin peut prescrire une suspension orale Cellcept. Il s'agit d'une forme liquide de Cellcept. Votre pharmacien mélangera le médicament avant de le récupérer dans une pharmacie.
  • Ne pas Mélanger la suspension orale de Cellcept avec tout autre médicament. La suspension orale de cellules ne doit pas être mélangée avec un type de liquide avant de prendre la dose. Voir les instructions pour une utilisation à la fin de ce guide de médicaments pour des instructions détaillées sur la façon de prendre la suspension orale Cellcept de la bonne façon.
  • Ne pas Respirez (inspirer) ou laisser la poudre de conception des cellules ou une suspension orale entre en contact avec votre peau ou vos muqueuses.
    • Si vous obtenez accidentellement la poudre ou la suspension orale sur la peau, lavez bien la zone avec du savon et de l'eau.
    • Si vous obtenez accidentellement la poudre ou la suspension orale dans vos yeux ou d'autres muqueuses rincer à l'eau ordinaire.
  • Si vous prenez trop de Cellcept, appelez votre médecin ou le centre de contrôle du poison immédiatement.

Que dois-je éviter tout en prenant CELLESCET?

  • Évitez de devenir enceinte. (Voir Quelles sont les informations les plus importantes que je devrais connaître sur Cellcept?).
  • Limitez le temps que vous passez au soleil. Évitez d'utiliser des lits de bronzage ou des lampes pénibles. Les personnes qui prennent celle de cellules ont un risque plus élevé d'obtenir un cancer de la peau (voir Quelles sont les informations les plus importantes que je devrais connaître sur Cellcept? ). Wear protective clothing when you are in the sun et use a broad-spectrum sunscreen with a high protection facàr. This is especially impoutant if your skin is very fair ou if you have a family hisàry of skin cancer.
  • Vous ne devez pas donner de sang lors de la prise de cellules et pendant au moins 6 semaines après l'arrêt de Cellcept.
  • Vous ne devez pas donner de spermatozoïdes lors de la prise de Cellcept et pendant 90 jours après l'arrêt de Cellcept.
  • Concept may influence your ability à drive et use machines (Voir Quels sont les effets secondaires possibles de Cellcept? . Si vous ressentez une somnolence confusion vertigineuse tremblement ou pression artérielle basse Pendant le traitement avec Cellcept, vous devriez être prudent quant à la conduite ou à l'utilisation de machines lourdes.

Quels sont les effets secondaires possibles de Cellcept?

Concept may cause serious side effects including:

  • Voir Quelles sont les informations les plus importantes que je devrais connaître sur Cellcept?
  • Faible nombre de cellules sanguines. Les personnes prenant des doses élevées de concept de cellule chaque jour peuvent avoir une diminution de la dénombrement sanguin, notamment:
    • Les globules blancs en particulier les neutrophiles. Les neutrophiles luttent contre les infections bactériennes. Vous avez plus de chances d'obtenir une infection lorsque votre Nombre de globules blancs est bas. Ceci est le plus courant de 1 mois à 6 mois après votre transplantation.
    • globules rouges. Les globules rouges transportent de l'oxygène dans vos tissus corporels. Vous avez plus de chances d'obtenir une anémie grave lorsque votre nombre de globules rouges est faible.
    • plaquettes. Les plaquettes aident à la coagulation du sang.

Votre médecin effectuera des tests sanguins avant de commencer à prendre CELLANNET et pendant le traitement avec Cellcept pour vérifier votre nombre de cellules sanguines. Dites tout de suite à votre médecin si vous avez des signes d'infection (voir Quelles sont les informations les plus importantes que je devrais connaître sur Cellcept? ) y compris toute ecchymose ou saignement inattendu. Dites également à votre médecin si vous avez une fatigue inhabituelle manque de vertiges d'énergie ou évanouissement .

  • Problèmes d'estomac. Des problèmes d'estomac, notamment des saignements intestinaux, une déchirure dans votre paroi intestinale (perforation) ou des ulcères d'estomac peuvent se produire chez les personnes qui prennent la cellule. Les saignements peuvent être graves et vous devrez peut-être être hospitalisé pour un traitement. Appelez votre médecin immédiatement si vous avez une douleur soudaine ou sévère dans la région de l'estomac ou une douleur à l'estomac qui ne disparaît pas ou si vous souffrez de diarrhée.
  • Réactions inflammatoires. Certaines personnes qui prennent le cellule peuvent avoir une réaction inflammatoire avec la raideur des articulations de la fièvre et les douleurs musculaires. Certaines de ces réactions peuvent nécessiter une hospitalisation. Cette réaction pourrait se produire dans les semaines à des mois après le début de votre traitement avec Cellcept ou si votre dose est augmentée. Appelez votre médecin immédiatement si vous ressentez ces symptômes.

Les effets secondaires les plus courants de Cellcept comprennent:

  • diarrhée
  • Problèmes sanguins, y compris le faible nombre de globules rouges et rouges
  • infections
  • problèmes de tension artérielle
  • rythme cardiaque rapide
  • gonflement des chevilles et pieds inférieurs
  • Changements dans les taux sanguins de laboratoire, y compris des niveaux élevés de glycémie (hyperglycémie)
  • Problèmes d'estomac, y compris la diarrhée constipation nausée et vomissements
  • éruption cutanée
  • Problèmes du système nerveux tels que les étourdissements des maux de tête et les tremblements

Les effets secondaires qui peuvent se produire plus souvent chez les enfants que chez les adultes qui prennent la cellule comprennent:

  • Douleur de l'estomac
  • fièvre
  • infection
  • douleur
  • Infection sanguine (septicémie)
  • diarrhée
  • vomissement
  • mal de gorge
  • rhume (infections des voies respiratoires)
  • hypertension artérielle
  • faible nombre de globules blancs
  • faible nombre de globules rouges

Ce ne sont pas tous les effets secondaires possibles de Cellcept. Parlez à votre médecin de tout effet secondaire qui vous dérange ou qui ne disparaît pas.

Appelez votre médecin pour des conseils médicaux sur les effets secondaires. Vous pouvez signaler les effets secondaires à la FDA au 1-800-FDA-1088. Vous pouvez également signaler les effets secondaires à Genentech au 1-888-835-2555.

Comment dois-je stocker Cellcept?

  • Stockez les capsules et comprimés de cellules à température ambiante entre 59of à 86of (15OC à 30OC).
  • Gardez les comprimés de cellule dans le récipient résistant à la lumière dans laquelle il entre.
  • Stockez la suspension orale de cellules à température ambiante entre 59of à 86of (15OC à 30OC) jusqu'à 60 jours. Vous pouvez également stocker la suspension orale de cellules dans le réfrigérateur entre 36of et 46of (2oC à 8oC). Ne pas geler.

Gardez Cellcept et tous les médicaments hors de portée des enfants.

Informations générales sur l'utilisation sûre et efficace de Cellcept.

Les médicaments sont parfois prescrits à des fins autres que celles énumérées dans un guide de médicaments. N'utilisez pas Cellcept pour une condition pour laquelle il n'a pas été prescrit. Ne donnez pas de concept de cellule à d'autres personnes même si elles présentent les mêmes symptômes que vous. Cela peut leur faire du mal.

Ce guide de médicaments résume les informations les plus importantes sur Cellcept. Si vous souhaitez plus d'informations, parlez avec votre médecin. Vous pouvez interroger votre médecin ou votre pharmacien sur Cellcept qui est écrit pour les professionnels de la santé.

Quels sont les ingrédients de Cellcept?

Ingrédient actif: mycophénolate mofetil

Ingrédients inactifs:

Concept 250 mg capsules: croscarmellose sodium magnésium stéarate povidone (K-90) et amidon prégelatinisé. Les coquilles de capsule contiennent de l'oxyde de fer noir FD

Concept 500 mg tablets: oxyde de fer noir croscarmellose sodium fd

Suspension orale de cellules: Aspartame Aspartame Citric Acire anhydre et dioxyde de silicium colloïdal Methylparaben Flavour des fruits mélangés Citrate de sodium Dihydrate de soja et de gomme de xanthane.

Cellcept intraveineux: Polysorbate 80 et acide citrique. L'hydroxyde de sodium et l'acide chlorhydrique peuvent avoir été utilisés dans la fabrication de cellules par voie intraveineuse pour ajuster le pH.

Ce guide de médicaments a été approuvé par la Food and Drug Administration des États-Unis.