Les Informations Présentées Sur Ce Site Ne Constituent Pas Un Avis Médical. Nous Ne Vendons Rien. L'Exactitude De La Traduction N'Est Pas Garantie. Clause De Non-Responsabilité
Médias de contraste iodéInjection d'Optiray
Résumé
Qu'est-ce que Optiray?
Optiray (Ioversol) est un agent de contraste radiopaque qui contient de l'iode une substance qui absorbe les rayons X et est utilisé pour aider à diagnostiquer certains troubles du cœur.
Quels sont les effets secondaires d'Optiray?
Injection d'Optiray
- urticaire
- difficulté à respirer
- gonflement de ton visage lèvres langue ou gorge
- fièvre
- mal de gorge
- brûler dans vos yeux
- douleur cutanée
- éruption cutanée rouge ou violet qui se propage et provoque des cloques et des pelage
- éruption cutanée
- glandes gonflées
- Symptômes pseudo-grippaux
- maux de muscle
- faiblesse
- ecchymoses inhabituelles
- jaunissant dans votre peau ou vos yeux ( jaunisse )
- étourdissement
- battements cardiaques lents
- Douleur musculaire inexpliquée
- tendresse
- faiblesse
- Saignement de la douleur ou changements cutanés là où l'injection a été donnée
- Engourdissement soudain ou faiblesse (surtout d'un côté du corps)
- Problèmes de vision ou de discours
- douleur à la poitrine ou pression
- Douleur se propageant à votre mâchoire ou à votre épaule
- peu ou pas de miction
- gonflement dans vos pieds ou chevilles
- fatigue et
- essoufflement
Obtenez de l'aide médicale immédiatement si vous présentez l'un des symptômes énumérés ci-dessus.
Les effets secondaires courants d'Optiray incluent
- fièvre
- chaleur et douleur au site d'injection
- éruption cutanée or redness
- Maux de tête ou
- nausée.
Certains effets secondaires d'Optiray peuvent se produire jusqu'à 24 heures après avoir reçu le médicament.
Cherchez des soins médicaux ou appelez le 911 à la fois si vous avez les effets secondaires graves suivants:
- Des symptômes oculaires graves tels que la perte de vision soudaine floue du tunnel de vision de la vision de la vision des yeux ou de l'enflure ou de voir des halos autour des lumières;
- Symptômes cardiaques graves tels que les battements cardiaques rapides ou battants; flotter dans votre poitrine; essoufflement; et des étourdissements soudains étourdisseurs ou s'évanouissant;
- Maux de tête sévères Confusion Slurred Speech Bras ou Ligne Proulitude Trouble de la merde Perte de coordination Sentiment des muscles très rigides très rigides Fièvre élevée Propice ou des tremblements.
Ce document ne contient pas tous les effets secondaires possibles et d'autres peuvent survenir. Vérifiez auprès de votre médecin des informations supplémentaires sur les effets secondaires.
Dosage pour Optiray
Comme pour tous les agents de contraste radiopaque, seuls la dose la plus faible d'OptiRay nécessaire pour obtenir une visualisation adéquate doit être utilisée. Une dose plus faible peut réduire la possibilité d'une réaction indésirable.
Quelles substances ou suppléments de médicaments interagissent avec Optiray?
Optiray peut interagir avec d'autres médicaments. Dites à votre médecin tous les médicaments et suppléments que vous utilisez.
Optiray pendant la grossesse et l'allaitement
Optiray ne devrait pas être nocif pour un fœtus. Dites à votre médecin si vous êtes enceinte ou prévoyez de devenir enceinte pendant le traitement. On ne sait pas si ce médicament passe dans le lait maternel ou s'il pourrait nuire à un bébé qui allaitait. Consultez votre médecin avant l'allaitement.
Informations Complémentaires
Notre centre de médicaments à effets secondaires d'OptiRay (IoVersol) offre une vue complète des informations sur les médicaments disponibles sur les effets secondaires potentiels lors de la prise de ce médicament.
Informations sur les médicaments de la FDA
- Description de la drogue
- Indications
- Dosage
- Effets secondaires
- Interactions médicamenteuses
- Avertissements
- Surdosage
- Pharmacologie clinique
- Guide des médicaments
AVERTISSEMENT
Pas pour une utilisation intrathécale
Description de l'injection d'Optiray
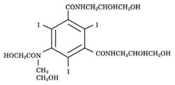
Les formulations d'OptiRay (injection d'Ioversol) sont des solutions aqueuses stériles non pyrogéniques destinées à l'administration intravasculaire comme milieux radiopaque diagnostique. L'ioversol est désigné chimiquement comme nn'-bis (23-dihydroxypropyl) -5- [n- (2-hydroxyéthyl) glycolamido] -246-triiodoisophthalamide et a la formule structurelle suivante:
|
Le poids moléculaire de l'ioversol est de 807,11 et la teneur en iode liée à l'organisation organique est de 47,2%. Ioversol est non ionique et ne se dissocient pas en solution.
Chaque millilitre d'Optiray 350 (injection d'Ioversol 74%) contient 741 mg d'Ioversol avec 3,6 mg de trométhamine comme tampon et 0,2 mg de disodium de calcium en éétate comme stabilisateur. OptiRay 350 fournit 35% (350 mg / ml) d'iode lié organiquement.
Chaque millilitre d'Optiray 320 (injection d'Ioversol 68%) contient 678 mg d'Ioversol avec 3,6 mg de trométhamine comme tampon et 0,2 mg de disodium de calcium en éétate comme stabilisateur. OptiRay 320 fournit 32% (320 mg / ml) d'iode lié organiquement.
Chaque millilitre d'Optiray 300 (injection d'Ioversol 64%) contient 636 mg d'Ioversol avec 3,6 mg de trométhamine comme tampon et 0,2 mg de disodium de calcium en éétate comme stabilisateur. OptiRay 300 fournit 30% (300 mg / ml) d'iode lié organiquement.
Chaque millilitre d'Optiray 240 (injection d'ioversol 51%) contient 509 mg d'ioversol avec 3,6 mg de trométhamine comme tampon et 0,2 mg de disodium de calcium en ététate comme stabilisateur. OptiRay 240 fournit 24% (240 mg / ml) d'iode lié organiquement.
Qu'est-ce que le calcium rosuvastatine utilisé pour
Le pH des formulations d'Optiray a été ajusté à 6,0 à 7,4 avec de l'acide chlorhydrique ou de l'hydroxyde de sodium. Toutes les solutions sont stérilisées par l'autoclavage et ne contiennent pas de conservateurs. Des portions inutilisées doivent être jetées. Les solutions d'OptiRay sont sensibles à la lumière et doivent donc être protégées contre l'exposition.
Certaines propriétés physiques et chimiques de ces formulations sont répertoriées ci-dessous:
| Optiray 240 | Optiray 300 | Optiray 320 | Optiray 350 | |
| Contenu ioversol (mg / ml) | 509 | 636 | 678 | 741 |
| Contenu en iode (Mg I / ML) | 240 | 300 | 320 | 350 |
| Osmolalité (MOSM / kg d'eau) | 502 | 651 | 702 | 792 |
| Viscosité (CPS) | ||||
| 4.6 | 8.2 | 9.9 | 14.3 | |
| 3.0 | 5.5 | 5.8 | 9.0 | |
| Gravité spécifique à 37 ° C | 1.281 | 1.352 | 1.371 | 1.405 |
Les formulations d'OptiRay sont des solutions claires incolores à jaune pâle ne contenant aucun solide non dissous. La cristallisation ne se produit pas à température ambiante. Les produits sont fournis dans des conteneurs à partir desquels l'air a été déplacé par l'azote. Les solutions OptiRay ont des osmolalités de 1,8 à 2,8 fois celles du plasma (285 mosm / kg d'eau) comme indiqué dans le tableau ci-dessus et sont hypertoniques dans des conditions d'utilisation.
Utilisations pour l'injection d'Optiray
Optiray est indiqué pour:
Intra-artériel
Chez les adultes
- Optiray 300 : Artériographie cérébrale et artériographie périphérique.
- Optiray 320 : Artériographie cérébrale Artériographie périphérique aortographie viscérale et artériographie rénale artériographie coronaire et ventriculographie gauche.
- Optiray 350 : Artériographie périphérique artériographie coronaire et ventriculographie gauche.
Chez les patients pédiatriques
- Optiray 320 et Optiray 350 : Angiocardiographie.
Intraveineux
Chez les adultes
- Optiray 300 : Imagerie CT de la veinographie de la tête et du corps et de l'urographie excréteur intraveineuse.
- Optiray 320 : Imagerie CT de la veinographie de la tête et du corps et de l'urographie excréteur intraveineuse.
- Optiray 350 : Imagerie CT de la tête et du corps Venographie Urographie excrétoire intraveineuse et angiographie par soustraction numérique intraveineuse (IV-DSA).
- Chez les patients pédiatriques Optiray 320 : Imagerie CT de la tête et du corps et de l'urographie excrétoire intraveineuse.
Dosage pour Optiray Injection
Instructions importantes de posologie et d'administration
- Optiray est pour une utilisation intravasculaire uniquement [voir Avertissement de boîte Contre-indications et AVERTISSEMENTS AND PRECAUTIONS ].
- Utilisez une technique stérile pour toute manipulation et administration d'Optiray.
- Inspectez les récipients en verre et en plastique avant l'utilisation de la rupture ou d'autres dommages et n'utilisez pas de conteneurs endommagés.
- Optiray chaud et administrer à température corporelle ou ambiante.
- Inspectez OptiRay pour les particules ou la décoloration avant l'administration. N'administrez pas si Optiray contient des particules ou est décolorée.
- Ne mélangez pas Optiray avec d'autres solutions de médicaments ou des mélanges nutritionnels parentéraux totaux.
- Utilisez la dose la plus faible nécessaire pour obtenir une visualisation adéquate.
- Ajustez le volume et la concentration d'Optiray. Modifiez la dose représentant des facteurs tels que l'âge de la taille du vaisseau corporel Taille du flux sanguin dans le navire de diplôme de pathologie prévu et l'étendue de l'opacification Structure requise ou zone à examiner les processus pathologiques affectant le patient et l'équipement et la technique à utiliser.
- Évitez l'extravasation lors de l'injection d'Optiray; en particulier chez les patients atteints d'une maladie artérielle ou veineuse sévère [voir AVERTISSEMENTS AND PRECAUTIONS ].
- Hydrater les patients avant et après l'administration d'Optiray [voir AVERTISSEMENTS AND PRECAUTIONS ]
- Jeter la partie inutilisée d'Optiray à partir d'un conteneur à dose unique après utilisation.
Directions de seringues fixées à l'identification par radiofréquence (RFID)
- La seringue marquée RFID doit être utilisée avec un injecteur OptiVantage avec la technologie RFID [voir Comment fourni ]. The RFID tag allows for the exchange of product information such as lot number expiration concentration et identification of the syringe as being unused prior to use et used after product administration.
- Ne faites aucune partie du système d'injecteur OptiVantage et des seringues marquées RFID à moins de 6 pouces (15 cm) d'un stimulateur cardiaque et / ou de défibrillateur.
- Si la balise RFID est endommagée ou autrement non fonctionnelle, la seringue Optiray avec la balise RFID non fonctionnelle peut toujours être utilisée; Cependant, aucune donnée ne sera transférée à l'injecteur.
Intra-artériel Procedures Chez les adultes
Artériographie cérébrale
Utilisez Optiray 300 ou Optiray 320. La dose recommandée pour la visualisation des artères cérébrales est illustrée ci-dessous (peut se répéter si nécessaire):
| Zone de diagnostic | Dose | Dose cumulative maximale |
| artères carotides ou vertébrales | 2 à 12 ml | 200 ml |
| injection d'arc aortique (Étude de quatre navires) | 20 à 50 ml | 200 ml |
Artériographie périphérique
Utilisez Optiray 300 Optiray 320 ou OptiRay 350. La dose recommandée pour la visualisation des artères périphériques est illustrée ci-dessous (peut se répéter si nécessaire):
| Zone de diagnostic | Dose | Dose cumulative maximale |
| Ruissellement aorta-iliaque | 60 ml (plage de 20 à 90 ml) | 250 ml |
| fémoral iliaque commun | 40 ml (plage de 10 à 50 ml) | 250 ml |
| brachial sous-clavière | 20 ml (plage de 15 à 30 ml) | 250 ml |
Artériographie et aortographie viscérales et rénales
Utilisez OptiRay 320. La dose recommandée pour la visualisation pour l'aorte et les artères viscérales est illustrée ci-dessous (peut se répéter si nécessaire):
| Zone de diagnostic | Dose | Dose cumulative maximale |
| Aorte | 45 ml (plage de 10 à 80 ml) | 250 ml |
| Cœliaque | 45 ml (plage de 12 à 60 ml) | 250 ml |
| mésentérique supérieur | 45 ml (plage de 15 à 60 ml) | 250 ml |
| mésentérique rénal ou inférieur | 9 ml (plage de 6 à 15 ml) | 250 ml |
Artériographie coronaire et ventriculographie gauche
Utilisez Optiray 320 ou Optiray 350. La dose recommandée pour la visualisation des artères coronaires et du ventricule gauche est illustrée ci-dessous (peut se répéter si nécessaire):
| Zone de diagnostic | Dose | Dose cumulative maximale |
| coronaire gauche | 8 ml (plage de 2 à 10 ml) | 250 ml |
| coronaire droit | 6 ml (plage de 1 à 10 ml) | 250 ml |
| ventricule gauche | 40 ml (plage de 30 à 50 ml) | 250 ml |
Procédures intraveineuses chez les adultes
- Tomodensitométrie
Utilisez Optiray 300 Optiray 320 ou OptiRay 350 pour l'imagerie de la tête et du corps.
Imagerie en tête
Le dosage recommandé est illustré ci-dessous:
- SCALAGE IMMÉDIATEMENT après la fin de l'administration intraveineuse.
| Infusion | |
| Optiray 300 | 50 à 150 ml |
| Optiray 320 | 50 à 150 ml |
| Optiray 350 | 50 à 150 ml |
Imagerie corporelle
Optiray peut être administré par injection de bolus par perfusion rapide ou par une combinaison des deux. Le dosage recommandé est illustré ci-dessous:
| Injection de bolus | Infusion | |
| Optiray 300 | 25 à 75 ml | 50 à 150 ml |
| Optiray 320 | 25 à 75 ml | 50 à 150 ml |
| Optiray 350 | 25 à 75 ml | 50 à 150 ml |
- L'intervalle de balayage variera avec l'indication et l'organe cible.
- Venographie
Utilisez Optiray 300 Optiray 320 ou OptiRay 350. La dose recommandée est de 50 à 100 ml par extrémité; avec une dose cumulative maximale de 250 ml.
- Urographie intraveineuse
Utilisez Optiray 350 Optiray 320 ou Optiray 300. La dose recommandée est indiquée ci-dessous:
| Dose habituelle | Urographie à forte dose | Dose maximale | |
| Optiray 300 | 50 à 75 ml | 1,6 ml / kg | 150 ml |
| Optiray 320 | 50 à 75 ml | 1,5 à 2 ml / kg | 150 ml |
| Optiray 350 | 50 à 75 ml | 1,4 ml / kg | 140 ml |
- Angiographie par soustraction numérique intraveineuse (IV-DSA)
Utilisez Optiray 350. La plage de dose recommandée par injection est de 30 à 50 ml; Peut se répéter si nécessaire avec une dose cumulée maximale de 250 ml.
Les taux d'injection varieront en fonction du site du placement du cathéter et de la taille des navires.
- Les injections de cathéter central sont généralement effectuées à un taux comprise entre 10 et 30 ml / seconde.
- Les injections périphériques sont généralement effectuées à un taux comprise entre 12 et 20 ml / seconde.
Dosage pédiatrique
Intra-artériel Procedures
- Angiocardiographie
Utilisez Optiray 350 ou Optiray 320. La dose ventriculaire unique recommandée est de 1,25 ml / kg (plage de 1 ml / kg à 1,5 ml / kg). La dose cumulée maximale est de 5 ml / kg jusqu'à un volume total maximal de 250 ml.
Procédures intraveineuses
- Tomodensitométrie
Utilisez Optiray 320.
Imagerie de la tête et du corps
La dose recommandée chez les patients pédiatriques est de 1,5 ml / kg à 2 ml / kg (plage de 1 ml / kg à 3 ml / kg).
- Urographie intraveineuse
Utilisez Optiray 320. The recommended dose for pediatric patients is 1 mL/kg to 1.5 mL/kg (range 0.5 mL/kg to 3 mL/kg); with a maximum cumulative dose not exceeding 3 mL/kg.
Comment fourni
Dosage Forms And Strengths
Injection : des solutions claires incolores à jaune pâle ne contenant aucun solide non dissous disponible dans les forces suivantes et les conteneurs à dose unique:
| Produit d'imagerie | mg de ioversol par ml | mg de limité organiquement par ml | Présentations | |||
| Flacons | Bouteilles | Seringues portables | Seringues d'injecteur de puissance | |||
| Optiray 300 (Ioversol 64%) | 636 | 300 | Non | Oui | Oui | Oui |
| Optiray 320 (Ioversol 68%) | 678 | 320 | Oui | Oui | Oui | Oui |
| Optiray 350 (Ioversol 74%) | 741 | 350 | Non | Oui | Oui | Oui |
Stockage et manipulation
Optiray est une solution aqueuse claire incolore à jaune pâle stérile pyrogène stérile disponible en trois forces. Les produits sont fournis dans des conteneurs à partir desquels l'air a été déplacé par l'azote. Optiray est fourni dans les configurations à dose unique suivantes:
Optiray 350
| Optiray 350 | Numéro NDC |
| Verre | |
| 0019-1333-06 | |
| 0019-1333-11 | |
| 0019-1333-16 | |
| 0019-1333-21 | |
| Plastique | |
| 0019-1333-78 | |
| 0019-1333-52 | |
| 0019-1333-95 | |
| 0019-1333-90 | |
| 0019-1333-87 | |
| Seringues marquées RFID * | |
| 0019-1333-55 | |
| 0019-1333-00 | |
| 0019-1333-27 | |
| * Technologie d'identification par radiofréquence (RFID) |
Optiray 320
| Optiray 320 | Numéro NDC |
| Verre | |
| 0019-1323-02 | |
| 0019-1323-04 | |
| 0019-1323-06 | |
| 0019-1323-11 | |
| 0019-1323-16 | |
| 0019-1323-21 | |
| Plastique | |
| 0019-1323-78 | |
| 0019-1323-52 | |
| 0019-1323-95 | |
| 0019-1323-90 | |
| 0019-1323-87 | |
| Seringues marquées RFID * | |
| 0019-1323-85 | |
| 0019-1323-00 | |
| 0019-1323-27 | |
| * Technologie d'identification par radiofréquence (RFID) |
Optiray 300
| Optiray 300 | Numéro NDC |
| Verre | |
| 0019-1332-06 | |
| 0019-1332-11 | |
| 0019-1332-16 | |
| 0019-1332-21 | |
| Plastique | |
| 0019-1332-78 | |
| 0019-1332-90 | |
| Seringues marquées RFID * | |
| 0019-1332-00 | |
| * Technologie d'identification par radiofréquence (RFID) |
Description de la seringue marquée RFID
Ces informations sont destinées aux seringues Ultraject ™ contenant Optiray qui ont été étiquetées avec une étiquette d'identification par radiofréquence (RFID). Lorsqu'il est utilisé avec un injecteur OptiVantage ™ compatible RFID, cette balise permet l'échange d'informations de produit telles que la concentration d'expiration du nombre de lots et l'identification de la seringue comme inutilisée avant utilisation et utilisée après les administrations du produit. Les informations sur les patients ne sont utilisées sous aucune forme avec cette technologie RFID. La qualité du produit OptiRay n'est pas influencée par l'utilisation de cette balise RFID.
Directions de seringue marquées RFID pour une utilisation
Pour que la technologie RFID fonctionne, la seringue doit être utilisée avec un injecteur d'optiverant avec la technologie RFID [voir Posologie et administration ]. Function of the RFID technology is not dependent on syringe orientation as it is placed in the injector. Instructions for use of injector are provided on the injector interface screen et operator’s manual.
Si la balise RFID est endommagée ou autrement non fonctionnelle, l'injecteur informera l'utilisateur. Si cela se produit, la seringue Optiray avec la balise RFID non fonctionnelle peut toujours être utilisée, mais aucune donnée ne sera transférée à l'injecteur.
En ce qui concerne l'interférence avec les dispositifs médicaux, le système de balise RFID et d'injecteur répond aux exigences IEC 60601-12 pour les normes d'émission et d'immunité pour les dispositifs médicaux. Suivez toutes les directives de tous les fabricants et ne faites aucune partie du système d'injecteur OptiVantage et des seringues marquées RFID à moins de 6 pouces (15 cm) d'un stimulateur cardiaque et / ou de défibrillateur.
Stockage
- Stocker à 25 ° C (77 ° F); Excursions autorisées à 15 ° à 30 ° C (59 ° à 86 ° F).
- Protéger de la forte lumière du jour ou de l'exposition directe au soleil.
- Conservez jusqu'à 40 ° C (104 ° F) jusqu'à un mois dans un réchauffement de support de contraste en utilisant de l'air chaud en circulation.
- Peut stocker Optiray pendant des périodes de plus d'un mois.
- Stocker OptiRay Stéringues marquées RFID dans les mêmes conditions répertoriées pour le produit médicamenteux.
- Jeter les bouteilles en verre des seringues OptiRay et leur contenu si elles sont gelées ou si la cristallisation se produit.
Manutention
- Ne réautoclave pas le récipient en plastique en raison de dommages possibles à la seringue.
- Les seringues marquées RFID ne nécessitent aucune manipulation spéciale.
Fabriqué par: Liebel-Farsheim Company LLC Raleigh NC 27616. Révisé février 2022.
Effets secondaires for Optiray Injection
Les effets indésirables cliniquement significatifs suivants sont décrits ailleurs dans l'étiquetage:
- Risques associés à une administration intrathécale par inadvertance [voir AVERTISSEMENTS AND PRECAUTIONS ]
- Réactions d'hypersensibilité [voir AVERTISSEMENTS AND PRECAUTIONS ]
- Contraste des lésions rénales aiguës du contraste [voir AVERTISSEMENTS AND PRECAUTIONS ]
- Réactions indésirables cardiovasculaires [voir AVERTISSEMENTS AND PRECAUTIONS ]
- Événements thromboemboliques [voir AVERTISSEMENTS AND PRECAUTIONS ]
- Patients pédiatriques de dysfonction thyroïdienne 0 à 3 ans [voir AVERTISSEMENTS AND PRECAUTIONS ]
- Réactions indésirables cutanées sévères [voir AVERTISSEMENTS AND PRECAUTIONS ]
Expérience en études cliniques
Patients adultes
Étant donné que les essais cliniques sont menés dans des conditions de réaction indésirables très variables observées dans les essais cliniques d'un médicament ne peuvent pas être directement comparées aux taux dans les essais cliniques d'un autre médicament et ne peuvent pas refléter les taux observés dans la pratique.
La liste suivante montre des réactions indésirables basées sur des essais cliniques avec Optiray (IoVersol) chez 4187 patients. Les effets indésirables sont répertoriés par le système d'organes en fonction de l'importance clinique. Des réactions plus graves sont répertoriées avant d'autres dans un système, quelle que soit l'incidence. La réaction la plus courante est que les nausées se produisant à un taux de 1%.
Troubles cardiaques
Arrêt cardiaque Infarctus du myocarde Arythmie Bloc auriculo-ventriculaire Bloc autreoventriculaire complet rythme nodal Bradycardie Angine Palpitations PECTORIS
Troubles de l'oreille et du labyrinthe
Acouphènes vertiges
Troubles oculaires
Vision une conjonctivite de l'œdème périorbital flou
Troubles gastro-intestinaux
Nausées vomissements de la douleur abdominale dysphagie bouche sèche
Troubles généraux et conditions du site d'administration
acétamine / codéine 300-30 mg
Site d'injection de douleur à la douleur à la poitrine site d'injection de douleur hématome extravasation pyrexie gonflement des refroidissements
Infections et infestations
Quel est un autre nom pour la loratadine
Rhinite
Empoisonnement aux blessures et complications procédurales
Blessure cardiaque pseudo-anévrisme
Enquêtes
Électrocardiogramme du segment du segment de la dépression de la pression artérielle
Métabolisme et troubles nutritionnels
Acidose
Troubles du tissu musculo-squelettique et conjonctif
Faiblesse musculaire spasmes musculaires
Troubles du système nerveux
Infarctus cérébral aphasie Tremor étourdisse
Troubles psychiatriques
Hallucination visuelle Hallucination Désorientation anxiété
Troubles rénaux et yrinaires
Rétention urinaire Polyurie de douleur rénale
Troubles thoraciques et médiastinaux respiratoires
Hypoxie de l'œdème laryngé de l'œdème pulmonaire dyspnée hyperventilation touche éternuement de la congestion nasale
Troubles de la peau et des tissus sous-cutanés
Urticaire éruption cutanée gonflement du prurit pour l'hyperhidrose érythème
Troubles vasculaires
Hypertension Hypotension spasme artériel vasospasm vasodilatation rinçage
Patients pédiatriques
Dans des études cliniques impliquant 311 patients pour l'angiocardiographie pédiatrique, un contraste amélioré l'imagerie tomographique calculée de la tête et du corps et de l'urographie excrétrice intraveineuse; 6% des patients ont signalé une réaction indésirable, les réactions indésirables les plus courantes étant les nausées et la fièvre. Les effets indésirables rapportés étaient similaires en qualité et en fréquence aux événements indésirables rapportés par les adultes.
Expérience de commercialisation de la poste
Les réactions indésirables supplémentaires suivantes ont été rapportées lors de l'utilisation post-approbation d'Optiray. Parce que ces réactions sont rapportées volontairement d'une population de taille incertaine, il n'est pas toujours possible d'estimer de manière fiable la fréquence ou d'établir une relation causale à l'exposition au médicament.
Troubles cardiaques: arythmie de cyanose des spasmes de l'artère coronaire (extrasystole de la fibrillation ventriculaire) ECG anormale.
Troubles endocriniens Hypothyroïdie de l'hyperthyroïdie.
Troubles oculaires: conjonctivite de cécité temporaire (y compris l'irritation oculaire hyperémie oculaire les yeux aqueux).
Troubles gastro-intestinaux: œdème de la langue hypersécrétion salivaire.
Troubles généraux et conditions du site d'administration: Réactions du site d'injection, y compris l'hémorragie de la douleur et la nécrose, surtout après l'extravasation [voir AVERTISSEMENTS AND PRECAUTIONS ] Face œdème en train de se sentir chaud.
Troubles du système immunitaire: Réactions d'hypersensibilité, y compris le choc anaphylactique mortel.
Troubles du système nerveux: Perte de saisie de conscience Somnolence Hypoesthésie Dyskinésie Amnésie.
Troubles respiratoires: Arrêt respiratoire Asthme Bronchospasme Spasme laryngé et obstruction de la dysphonie d'irritation de la gorge.
Troubles de la peau et des tissus sous-cutanés: Les réactions vont de légères (par exemple, érythème érythème urticaire et décoloration cutanée) à sévère: [par ex. Syndrome de Stevens-Johnson et nécrolyse épidermique toxique (SJS / Ten)] Pustulose exanthémateuse généralisée aiguë (AGEP) et réaction médicamenteuse avec éosinophilie et systemic symptoms (DRESS).
Troubles vasculaires: thrombose phlébite.
Interactions médicamenteuses for Optiray Injection
Interactions médicament-médicament
Metformine
Chez les patients atteints de troubles rénaux, la metformine peut provoquer une acidose lactique. Les agents de contraste iodé semblent augmenter le risque d'acidose lactique induite par la metformine, peut-être en raison de l'aggravation de la fonction rénale. Arrêtez la metformine au moment de l'administration d'Optiray ou avant l'administration d'Optiray chez les patients atteints d'un EGFR entre 30 et 60 ml / min / 1,73 m 2 ; chez les patients ayant des antécédents d'alcoolisme d'alcoolisme hépatique ou d'insuffisance cardiaque; ou chez les patients qui seront administrés des agents de contraste iodonnés intra-artériels. Réévaluez EGFR 48 heures après la procédure d'imagerie et réintégrant qu'après que la fonction rénale est stable.
Iode radioactif
L'administration d'agents de contraste iodé peut interférer avec l'absorption thyroïdienne de l'iode radioactif (I-131) et diminuer l'efficacité thérapeutique chez les patients atteints de carcinome de la thyroïde. La diminution de l'efficacité dure 6 à 8 semaines.
Agents de contraste cholécystographique oral
Une toxicité rénale a été signalée chez les patients souffrant de troubles du foie qui ont reçu des agents cholécystographiques oraux suivis d'agents de contraste intravasculaire. L'administration d'Optiray doit être reportée chez les patients qui ont récemment reçu un agent de contraste cholécystographique.
Interactions de test de médicament / de laboratoire
Déterminations d'iode radioactif à l'iode lié aux protéines
Les résultats des études d'absorption d'iode liés aux protéines et d'iode radioactif qui dépendent de l'estimation de l'iode ne refléteront pas avec précision la fonction thyroïdienne jusqu'à 16 jours suivant l'administration d'agent de contraste iodé. Cependant, les tests de fonction thyroïdienne qui ne dépendent pas des estimations d'iode, par ex. Les tests d'absorption de résine T3 et les tests totaux ou libres de thyroxine (T4) ne sont pas affectés.
Avertissements pour l'injection d'Optiray
Inclus dans le cadre du 'PRÉCAUTIONS' Section
Précautions pour l'injection d'Optiray
Risques associés à une administration intrathécale par inadvertance
Optiray is indicated for intravascular use only [see Posologie et administration ]. Inadvertent intrathecal administration can cause death convulsions cerebral hemorrhage coma paralysis arachnoiditis insuffisance rénale aiguë Saisie cardiaques Saisies rhabdomyolyse hyperthermie et œdème cérébral.
Réactions d'hypersensibilité
Optiray can cause life-threatening or fatal hypersensitivity reactions including anaphylaxis et anaphylactic shock. Manifestations include respiratory arrest laryngospasm bronchospasm angioedema et shock. Most severe reactions develop shortly after the start of the injection (e.g. within 1 to 3 minutes) but delayed reactions may occur. There is an increased risk in patients with a history of a previous reaction to contrast agent et known allergies (i.e. bronchial asthma drug or food allergies) et other hypersensitivities. Premedication with antihistamines or corticosteroids to avoid or minimize possible allergic reactions does not prevent serious life-threatening reactions but may reduce both their incidence et severity.
Obtenez des antécédents d'hypersensibilité des allergies ou des réactions d'hypersensibilité antérieures aux agents de contraste iodés. Ayez toujours des équipements de réanimation d'urgence et du personnel formé disponible et surveillez tous les patients pour des réactions d'hypersensibilité.
Contraste induit une lésion rénale aiguë
Des lésions rénales aiguës, y compris l'insuffisance rénale, peuvent survenir après l'administration d'Optiray. Les facteurs de risque comprennent: déshydratation des troubles rénaux préexistants diabète sucré insuffisance cardiaque congestive Maladies vasculaires avancées Age âgé Utilisation concomitante Concomitante des médicaments néphrotoxiques ou diurétiques Myélome multiple / maladie paraprotéineuse répétitive et / ou de grandes doses d'un agent de contraste iodé. Utilisez la dose d'Optiray la plus faible nécessaire chez les patients souffrant de troubles rénaux. Hydrater adéquatement les patients avant et suivant l'administration d'Optiray. N'utilisez pas de diurétiques de laxatifs ou de déshydratation préparatoire avant l'administration OptiRay.
Effets indésirables cardiovasculaires
Optiray increases the circulatory osmotic load et may induce acute or delayed hemodynamic disturbances in patients with insuffisance cardiaque congestive severely impaired renal function combined renal et hepatic disease combined renal et cardiac disease particularly when repetitive or large doses are administered.
Des réactions cardiovasculaires potentiellement mortelles ou mortelles se sont produites avec l'utilisation d'OptiRay, y compris l'effondrement hypotensif et le choc de l'arrêt cardiaque. La plupart des décès surviennent dans les 10 minutes suivant l'injection; avec une maladie cardiovasculaire comme principal facteur sous-jacent. Décompensation cardiaque arythmies graves et ischémie ou infarctus du myocarde peuvent se produire pendant l'artériographie coronaire et la ventriculographie.
Sur la base des rapports de littérature, les décès par l'administration d'agents de contraste iodés varient de 6,6 pour 1 million (NULL,00066%) à 1 sur 10000 patients (NULL,01%). Utilisez la dose d'Optiray la plus faible nécessaire chez les patients souffrant d'insuffisance cardiaque congestive et disposez toujours d'un équipement de réanimation d'urgence et d'un personnel formé. Surveillez tous les patients pour des réactions cardiovasculaires sévères.
Événements thromboemboliques
Angiocardiographie
Des événements thromboemboliques mortels graves provoquant un infarctus du myocarde et un AVC peuvent se produire pendant les procédures angiographiques avec OptiRay. Au cours de ces procédures, une augmentation de la thrombose et de l'activation du système de complément se produisent. Les facteurs de risque d'événements thromboemboliques comprennent: la durée du cathéter de procédure et de la seringue sous-jacente à l'état pathologique et aux médicaments concomitants.
Pour minimiser les événements thromboemboliques, utilisez une technique angiographique méticuleuse. Évitez que le sang restait en contact avec des seringues contenant Optiray, ce qui augmente le risque de coagulation. Évitez l'angiocardiographie chez les patients atteints d'homocystinurie en raison du risque d'induction de la thrombose et de l'embolie [voir Pharmacologie clinique ].
Réactions d'extravasation et de site d'injection
L'extravasation peut se produire avec l'administration d'Optiray, en particulier chez les patients atteints d'une maladie artérielle ou veineuse sévère et peut être associée à une hémorragie et une nécrose douloureux. Assurer le placement intravasculaire des cathéters avant l'injection. Surveiller les patients pour extravasation et conseiller aux patients de consulter des soins médicaux pour la progression des symptômes.
Tempête thyroïdienne chez les patients souffrant d'hyperthyroïdie
Optiray is contraindicated in patients with symptomatic hyperthyroidism [see Contre-indications ]. Thyroid storm has occurred following the intravascular use of iodinated radiopaque agents in patients with hyperthyroidism or with an autonomously functioning thyroid nodule. Evaluate the risk in such patients before use of Optiray.
Dysfonctionnement thyroïdien chez les patients pédiatriques de 0 à 3 ans
Une dysfonction thyroïdienne caractérisée par une hypothyroïdie ou une suppression thyroïdienne transitoire a été rapportée après une exposition unique et des expositions multiples aux milieux de contraste iodés. Chez les patients, 0 à 3 ans exposés à la dysfonction thyroïdienne des milieux de contraste iodé a été signalé dans 1% à 15% selon l'âge du patient et la dose de l'agent de contraste iodé.
Age plus jeune, très faible poids de naissance, prématurité et présence d'autres conditions telles que l'admission aux unités de soins intensifs néonatales ou pédiatriques et les conditions cardiaques sont associées à un risque accru. Les patients pédiatriques atteints de conditions cardiaques peuvent être les plus à risque étant donné qu'ils nécessitent souvent des doses élevées de contraste pendant les procédures cardiaques invasives telles que le cathétérisme et la tomodensitométrie (TDM).
Adderall peut-il vous donner mal à la tête
Les patients pédiatriques 0 à 3 ans garantissent une surveillance plus étroite car une thyroïde sous-active au début de la vie peut être nocive pour l'audition motrice et le développement cognitif et peut nécessiter un traitement de remplacement T4 transitoire. Évaluez la fonction thyroïdienne chez tous les patients pédiatriques de 0 à 3 ans dans les 3 semaines suivant l'exposition aux milieux de contraste iodé, en particulier dans les nouveau-nés à terme et prématurés. Si la dysfonction thyroïdienne est détectée, traitez et surveillez la fonction thyroïdienne comme nécessaire cliniquement.
Crise hypertensive chez les patients atteints de phéochromocytome
Une crise hypertensive s'est produite après l'utilisation d'agents de contraste radiopaque iodés chez le patient atteint de phéochromocytome. Surveiller de près les patients lors de l'administration d'Optiray si phéochromocytome ou catécholamine -Les paragangliome sécrétant sont suspectés. Injectez la quantité minimale d'Optiray nécessaire et disposent de mesures de traitement de la crise hypertensive facilement disponibles.
Crise des cellules falles chez les patients atteints de drépanocytose
Les agents de contraste iodé peuvent favoriser la faucille chez les personnes homozygotes pour la drépanocytose. Hydrater les patients avant et suivant l'administration d'Optiray utilisez Optiray uniquement si les informations d'imagerie nécessaires ne peuvent pas être obtenues avec des modalités d'imagerie alternatives et injecter la quantité minimale nécessaire.
Réactions indésirables cutanées sévères
Les effets indésirables cutanés sévères (cicatriciel) peuvent se développer de 1 heure à plusieurs semaines après l'administration d'agent de contraste intravasculaire. Ces réactions incluent le syndrome de Stevens-Johnson et la nécrolyse épidermique toxique (SJS / dix) de la pustulose exanthémateuse généralisée aiguë (AGEP) et la réaction médicamenteuse avec l'éosinophilie et les symptômes systémiques (robe). La gravité de la réaction peut augmenter et le temps de début peut diminuer avec l'administration répétée d'un agent de contraste; Les médicaments prophylactiques ne peuvent pas empêcher ou atténuer les effets indésirables cutanés graves. Évitez d'administrer Optiray aux patients ayant des antécédents d'une réaction indésirable cutanée sévère à Optiray.
Nonnclinical Toxicology
Carcinogenèse Mutagenèse A trouble de la fertilité
Non long term animal studies have been performed to evaluate carcinogenic potential. Nonnclinical studies show that ioversol is not mutagenic et does not affect fertility.
Utiliser dans des populations spécifiques
Grossesse
Résumé des risques
Les données de commercialisation de la post-commercialisation avec l'utilisation d'Optiray chez les femmes enceintes sont insuffisantes pour déterminer s'il existe un risque de résultats indésirables négatifs associés aux médicaments. Ioversol traverse le placenta et atteint les tissus fœtaux en petites quantités [voir Données ]. Dans unimal reproduction studies no adverse developmental effects were observed following daily intravenous administrations of ioversol to pregnant rats (from Gestation Day 7 to 17) et rabbits (Gestation Day 6 to 18) at doses 0.35 et 0.71 times respectively the maximum recommended human dose.
Le risque de fond estimé de malformations congénitales majeures et de fausse couche pour la population indiquée est inconnue. Toutes les grossesses présentent un risque de fond de perte de malformations congénitales ou d'autres résultats indésirables. Dans la population générale américaine, le risque de fond estimé de malformations congénitales majeures et de fausses couches dans les grossesses cliniquement reconnues est respectivement de 2 à 4% et 15-20%.
Données
Données humaines
Les rapports de la littérature montrent que Ioversol traverse le placenta et est visualisé dans le tube digestif des nourrissons exposés après la naissance.
Données sur les animaux
itinéraire amsterdam
Des études de toxicité de développement ont été menées avec l'ioversol étant donné par voie intraveineuse à des doses de 0 0,2 0,8 et 3,2 g d'iode / kg / jour du jour de la gestation 7 à 17 et 6 à 18 chez les rats et les lapins respectivement. Aucun effet indésirable sur le développement des embryons-foetaux n'a été observé dans l'une ou l'autre espèce à la dose maximale testée (NULL,2 g d'iode / kg / jour). Une toxicité maternelle a été observée chez le lapin à 0,8 et 3,2 g d'iode / kg / jour.
Lactation
Résumé des risques
Il n'y a aucune information sur la présence de l'ioversol dans le lait humain ou animal les effets du médicament sur le nourrisson allaité ou les effets du médicament sur la production de lait. Cependant, les agents de contraste iodés sont excrétés inchangés dans le lait maternel en très faibles quantités avec une mauvaise absorption du tractus gastro-intestinal du nourrisson allaité. Les avantages du développement et de la santé de l'allaitement doivent être pris en compte avec le besoin clinique de la mère d'Optiray et tout effet indésirable potentiel sur le nourrisson allaité d'Optiray ou de l'état maternel sous-jacent.
Considérations cliniques
L'interruption de l'allaitement après l'exposition aux agents de contraste iodé n'est pas nécessaire car l'exposition potentielle du nourrisson allaité à l'iode est faible. Cependant, une femme allaitante peut envisager d'interrompre l'allaitement maternel et de pomper et de jeter le lait maternel pendant 8 heures (environ 5 demi-vies d'élimination) après l'administration d'Optiray afin de minimiser l'exposition aux médicaments à un nourrisson allaité.
Usage pédiatrique
La sécurité et l'efficacité chez les patients pédiatriques ont été établies pour l'utilisation d'Optiray 350 et d'Optiray 320 en angiocardiographie; et pour Optiray 320 dans l'imagerie tomographique calculée de la tête et du corps et de l'urographie excrétoire intraveineuse. L'utilisation d'Optiray 350 et d'Optiray 320 dans ces groupes d'âge est basée sur des essais cliniques contrôlés impliquant 159 patients pour l'angiocardiographie pédiatrique; Imagerie tomographique calculée de la tête et du corps et de l'urographie excrétoire intraveineuse. En général, les types de réactions indésirables rapportées sont similaires à celles des adultes [voir Effets indésirables ].
La sécurité et l'efficacité de l'Optiray 300 n'ont pas été établies chez les patients pédiatriques.
Les patients pédiatriques à risque plus élevé de subir des effets indésirables à Optiray comprennent les patients atteints de: sensibilité à l'asthme aux médicaments et / ou aux allergènes de l'insuffisance cardiaque congestive créatinine de plus de 1,5 mg / dl ou d'âge inférieur à 12 mois.
Les tests de fonction thyroïdienne indiquant une dysfonction thyroïdienne caractérisée par l'hypothyroïdie ou la suppression transitoire thyroïdienne ont été inhabituellement signalés après l'administration de médias de contraste iodé chez des patients pédiatriques, y compris les nouveau-nés à terme et prématurés; certains patients ont été traités pour l'hypothyroïdie. Surveiller les patients pédiatriques de 0 à 3 ans de près, en particulier ceux qui ont un ou plusieurs facteurs de risque potentiels de dysfonctionnement thyroïdien [voir AVERTISSEMENTS AND PRECAUTIONS et Effets indésirables ].
Utilisation gériatrique
L'ioversol est presque complètement excrété en tant que médicament parent par le rein et le risque de réactions indésirables à OptiRay peut être plus élevé chez les patients présentant une fonction rénale altérée. Étant donné que les patients âgés sont plus susceptibles d'avoir une diminution de la sélection de la dose de la fonction rénale devrait être prudente, généralement en commençant à l'extrémité inférieure de la plage de dosage reflétant la plus grande fréquence de diminution de la fonction rénale ou cardiaque hépatique ou d'une maladie concomitante ou d'une autre thérapie médicamenteuse.
Trouble rénal
L'Ioversol est presque complètement excrété en tant que médicament parent par le rein et les troubles rénaux devraient réduire le taux d'élimination. Ioversol peut être supprimé par dialyse.
Informations sur la surdose pour l'injection d'Optiray
Les effets indésirables du surdosage sont mortels et affectent principalement le système pulmonaire et cardiovasculaire. Le traitement d'un surdosage s'adresse au soutien de toutes les fonctions vitales et à une institution rapide de thérapie symptomatique.
L'ioversol ne se lie pas au plasma ou à la protéine sérique et est donc dialysable.
Contre-indications pour l'injection d'Optiray
Hyperthyroïdie symptomatique.
Pharmacologie clinique for Optiray Injection
Mécanisme d'action
L'injection intravasculaire d'ioversol opacifie les vaisseaux dans le chemin du flux du milieu de contraste permettant une visualisation des structures internes jusqu'à ce que l'hémodilution significative se produise.
Dans l'imagerie du corps, les agents de contraste iodonnés diffusent du vasculaire dans l'espace extravasculaire. Dans le cerveau normal avec un contraste de barrière hémato-encéphalique intact ne se diffuse pas dans l'espace extravasculaire. Chez les patients avec un contraste de contraste de barrière hémato-encéphalique perturbé s'accumule dans l'espace interstitiel dans la région de perturbation.
Pharmacodynamique
Après l'administration d'Optiray, le degré d'amélioration est directement lié à la teneur en iode dans une dose administrée. Les taux plasmatiques de pic d'iode se produisent immédiatement après une injection rapide. Le délai d'amélioration du contraste maximal peut varier en fonction de l'organe à partir du moment où les concentrations de pics dans le sang d'iode sont atteintes à une heure après l'administration de bolus intraveineuse. Lorsqu'un retard entre les concentrations maximales d'iode sanguin et le contraste maximal est présent, il suggère que l'amélioration du contraste radiographique dépend au moins en partie de l'accumulation de milieu contenant de l'iode dans la lésion et à l'extérieur du pool sanguin.
Pour l'angiographie, l'amélioration du contraste est la plus grande immédiatement (15 secondes à 120 secondes) après injection rapide. Les agents de contraste iodé peuvent être visualisés dans le parenchyme rénal en 30 à 60 secondes après une injection intraveineuse rapide. L'opacification des calyces et des peaux chez les patients présentant une fonction rénale normale devient apparente en 1 à 3 minutes avec un contraste optimal se produisant en 515 minutes.
Pharmacocinétique
Dans 12 volontaires en bonne santé (6 recevant 50 ml et 6 recevant 150 ml d'OptiRay 320) La demi-vie de l'élimination était de 1,5 heure pour les deux doses.
Distribution
Dans un in vitro L'étude du plasma humain Ioversol ne s'est pas liée aux protéines. Le volume de distribution chez les adultes était de 0,26 L / kg de poids corporel compatible avec la distribution à l'espace extracellulaire.
Élimination
Métabolisme
L'Ioversol ne subit pas de déiodination ou de biotransformation du métabolisme significatif.
Excrétion
Plus de 95% de la dose administrée a été excrétée dans l'urine dans les 24 premières heures, la concentration d'urine maximale se produisant dans les deux premières heures suivant l'administration.
Toxicologie et / ou pharmacologie animale
Les études animales indiquent que Ioversol ne traverse pas la barrière hémato-encéphalique.
Informations sur les patients pour l'injection d'Optiray
Réactions d'hypersensibilité
Conseillez le patient concernant le risque de réactions d'hypersensibilité qui peuvent survenir à la fois pendant et après l'administration d'Optiray. Conseiller au patient de signaler tout signe ou symptôme de réactions d'hypersensibilité pendant la procédure et de consulter un médecin pour les signes ou les symptômes après la sortie [voir AVERTISSEMENTS AND PRECAUTIONS ].
Conseiller aux patients d'informer leur médecin s'ils développent une éruption cutanée après avoir reçu Optiray [voir AVERTISSEMENTS AND PRECAUTIONS ].
Contraste induit une lésion rénale aiguë
Conseiller le patient concernant l'hydratation appropriée pour diminuer le risque de lésion rénale induite par le contraste [voir AVERTISSEMENTS AND PRECAUTIONS ].
Extravasation
Si une extravasation se produit pendant l'injection conseille aux patients de consulter des soins médicaux pour la progression des symptômes [voir AVERTISSEMENTS AND PRECAUTIONS ].
Dysfonctionnement de la thyroïde
Conseiller les parents / soignants sur le risque de développer un dysfonctionnement thyroïdien après l'administration Optiray. Conseillez les parents / soignants sur le moment de consulter des soins médicaux pour leur enfant pour surveiller la fonction thyroïdienne. [voir AVERTISSEMENTS AND PRECAUTIONS ].