Les Informations Présentées Sur Ce Site Ne Constituent Pas Un Avis Médical. Nous Ne Vendons Rien. L'Exactitude De La Traduction N'Est Pas Garantie. Clause De Non-Responsabilité
Analgésiques opioïdes
Ulctif
Résumé
Qu'est-ce que Ultiva?
Ultiva (Remifentanil) est un médicament contre la douleur (opioïde) (opioïde) utilisé pour traiter ou prévenir la douleur aiguë après la chirurgie.
Quels sont les effets secondaires d'Ultiva?
Ulctif
- urticaire
- difficulté à respirer
- gonflement de ton visage lèvres langue ou gorge
- respiration ralenti
- respiration bruyante
- soupirs
- respiration peu profonde
- La respiration qui s'arrête pendant le sommeil
- fréquence cardiaque rapide ou lente
- muscles raides
- faiblesse
- étourdissement
- évanouissement
- agitation
- hallucinations
- fièvre
- transpiration
- tremblement
- raideur musculaire
- contraction
- perte de coordination
- nausée
- vomissements et
- diarrhée
Obtenez de l'aide médicale immédiatement si vous présentez l'un des symptômes énumérés ci-dessus.
Les effets secondaires courants d'Ultiva comprennent:
- nausée
- vomissement
- constipation
- bouche sèche
- tremblement
- démangeaison
- transpiration
- mal de tête
- douleur musculaire
- toux
- mal de gorge
- vertiges
- confusion
- agitation
- pression artérielle basse ( hypotension )
- ralentissement de la fréquence cardiaque
- respiration ralenti
- raideur musculaire
- frissons
- rinçage et
- sensation de chaleur.
Dites à votre médecin si vous avez des effets secondaires graves d'Ultiva qui peuvent s'éclaircir quelques minutes après l'arrêt de la perfusion ou la baisse de la dose:
- faible respiration ou respiration peu profonde qui s'arrête;
- fréquence cardiaque rapide ou lente;
- muscles raides;
- faiblesse or
- se sentir étourdi ou s'évanouir.
Cherchez des soins médicaux ou appelez le 911 à la fois si vous avez les effets secondaires graves suivants:
- Des symptômes oculaires graves tels que la perte de vision soudaine floue du tunnel de vision de la vision de la vision des yeux ou de l'enflure ou de voir des halos autour des lumières;
- Symptômes cardiaques graves tels que les battements cardiaques rapides ou battants; flotter dans votre poitrine; essoufflement; et des étourdissements soudains étourdisseurs ou s'évanouissant;
- Maux de tête sévères Confusion Slurred Speech Bras ou Ligne Proulitude Trouble de la merde Perte de coordination Sentiment des muscles très rigides très rigides Fièvre élevée Propice ou des tremblements.
Ce document ne contient pas tous les effets secondaires possibles et d'autres peuvent survenir. Vérifiez auprès de votre médecin des informations supplémentaires sur les effets secondaires.
Dosage pour Ultiva
Ultiva est pour une utilisation intraveineuse (iv) uniquement et est administré sous la supervision d'un médecin. La dose est déterminée par le poids du patient. Votre respiration et d'autres signes vitaux seront constamment surveillés pendant que vous êtes traité avec ce médicament.
Quelles substances ou suppléments de médicaments interagissent avec Ultiva?
Ultiva peut interagir avec:
- Inhibiteurs du MAO
- drogues pour dormir
- sédatifs
- tranquillisant
- médicaments anti-anxiété
- analgésiques des stupéfiants
- médicaments psychiatriques
- anti- crise d'épilepsie drogue
- relaxants musculaires ou
- antihistaminiques
Vérifiez les étiquettes sur tous les médicaments (par exemple, la toux et les produits froids) car ils peuvent contenir des ingrédients contenant de la somnolence. Dites à votre médecin tous les médicaments que vous prenez.
Ultiva pendant la grossesse et l'allaitement
L'Ultiva ne doit être utilisé pendant la grossesse que s'il est prescrit. On ne sait pas si ce médicament passe dans le lait maternel. Consultez votre médecin avant l'allaitement.
Informations Complémentaires
Notre centre de médicaments à effets secondaires Ultiva (Remifentanil) offre une vue complète des informations sur les médicaments disponibles sur les effets secondaires potentiels lors de la prise de ce médicament.Informations sur les médicaments de la FDA
- Description de la drogue
- Indications
- Effets secondaires
- Interactions médicamenteuses
- Avertissements
- Surdosage
- Pharmacologie clinique
- Guide des médicaments
AVERTISSEMENT
Abus et abus de la toxicomanie
Abus et abus de la toxicomanie
Ultiva expose les patients et autres utilisateurs aux risques de l'abus de dépendance aux opioïdes et de l'usage qui peuvent entraîner une surdose et la mort. Évaluer le risque de chaque patient avant de prescrire Ultiva [voir avertissements et PRÉCAUTIONS ].
Description d'Ultiva
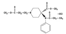
Ultiva (chlorhydrate de remifentanil) pour l'injection est un agoniste opioïde. Le nom chimique est 3- [4- méthoxycarbonyl-4 - [(1-oxopropyl) phénylamino] -1-pipéridine] acide propanoïque du sel de chlorhydrate d'ester méthylique. Le poids moléculaire est de 412,91. Sa formule moléculaire est C 20 H 28 N 2 O 5 • HCL et il a la structure chimique suivante.
|
L'Ultiva est une poudre lyophilisée blanche sans conservateur stérile non pyrogénique pour l'administration intraveineuse (IV) après reconstitution et dilution. Chaque flacage contient 1 mg 2 mg ou 5 mg de base de Remifentanil; 15 mg de glycine; et l'acide chlorhydrique pour tamponner les solutions à un pH nominal de 3 après la reconstitution. Lorsqu'ils sont reconstitués, comme les solutions orientées d'Ultiva, sont claires et incolores et contiennent du chlorhydrate de rémifentanil (HCL) équivalent à 1 mg / ml de base de rémifentanil. Le pH des solutions reconstituées d'Ultiva varie de 2,5 à 3,5. Le chlorhydrate de remifentanil a un PKA de 7,07. Le chlorhydrate de remifentanil a un coefficient de partition N-Octanol: Water de 17,9 à pH 7,3.
Utilisations pour Ultiva
Ultiva est indiqué pour l'administration intraveineuse (iv):
- En tant qu'agent analgésique à utiliser pendant l'induction et le maintien de l'anesthésie générale pour les procédures hospitalières et ambulatoires.
- Pour la poursuite comme analgésique dans la période postopératoire immédiate chez les patients adultes sous la supervision directe d'un praticien d'anesthésie dans une unité de soins d'anesthésie postopératoire ou des soins intensifs.
- En tant que composante analgésique des soins d'anesthésie surveillés chez les patients adultes.
Dosage pour Ultiva
Instructions importantes de posologie et d'administration
Surveillez les patients étroitement à la dépression respiratoire lors de la mise en scène et après une dose augmente avec Ultiva et ajustez la posologie en conséquence [voir AVERTISSEMENTS AND PRÉCAUTIONS ].
Ultiva est uniquement pour une utilisation IV. Les perfusions continues d'Ultiva ne doivent être administrées que par un dispositif de perfusion. Le site d'injection doit être proche de la canule veineuse et tous les tubes IV doivent être éliminés au moment de l'arrêt de la perfusion.
Ultiva ne doit pas être administré sans dilution.
Considérez une alternative à Ultiva pour les patients prenant des analgésiques mixtes agonistes / antagonistes et agonistes partiels en raison d'un effet analgésique réduit ou de symptômes de sevrage potentiels. Si une utilisation concomitante est justifiée, observez soigneusement le patient, en particulier pendant l'initiation du traitement et l'ajustement de la dose. Arrêtez Ultiva si le patient ne répond pas de manière appropriée au traitement.
Jetez la partie inutilisée.
Anesthésie générale
Ultiva n'est pas recommandé comme seul agent en anesthésie générale car la perte de conscience ne peut pas être assurée et en raison d'une incidence élevée de rigidité musculaire d'apnée et de tachycardie. Ultiva est synergique avec d'autres anesthésiques; Par conséquent, les cliniciens peuvent avoir besoin de réduire les doses de propofol thiopental isoflurane et de midazolam jusqu'à 75% avec la co-administration d'Ultiva. L'administration d'Ultiva doit être individualisée en fonction de la réponse du patient.
Induction de l'anesthésie
L'ULTIVA doit être administré à un taux de perfusion de 0,5 à 1 mcg / kg / min avec un agent hypnotique ou volatile pour l'induction de l'anesthésie. Si l'intubation endotrachéale doit se produire moins de 8 minutes après le début de la perfusion d'Ultiva, une dose initiale de 1 mcg / kg peut être administrée sur 30 à 60 secondes.
Ultiva ne doit pas être utilisé comme agent unique pour l'induction de l'anesthésie car la perte de conscience ne peut pas être assurée et en raison d'une incidence élevée de rigidité musculaire de l'apnée et de tachycardie.
Entretien de l'anesthésie
Après intubation endotrachéale, le taux de perfusion de l'ultiva doit être diminué conformément aux directives de dosage des tableaux 1 (les adultes ont principalement une ASA l'état physique II II ou III) et 2 (patients pédiatriques).
- En raison de l'apparition rapide et de la courte durée d'action d'Ultiva, le taux d'administration pendant l'anesthésie peut être titré à la hausse avec des augmentations de 25% à 100% chez les patients adultes ou jusqu'à 50% des augmentations des patients pédiatriques ou à la baisse par 25% à 50% de diminution toutes les 2 à 5 minutes pour atteindre le niveau souhaité d'effet μ-opioïde.
- En réponse à une anesthésie légère ou à des épisodes transitoires de doses de bolus supplémentaires chirurgicales intenses de 1 mcg / kg peut être administrée toutes les 2 à 5 minutes.
- Aux taux de perfusion> 1 mcg / kg / min, les augmentations des agents anesthésiques concomitants doivent être considérées comme augmentant la profondeur d'anesthésie. [voir Pharmacologie clinique : Populations spécifiques: population pédiatrique et Anesthésie générale Tableau 2.]
Tableau 1: Dossiner des directives chez les adultes - anesthésie générale et se poursuivant comme analgésique dans l'unité de soins postopératoires ou le cadre de soins intensifs a
| Phase | Perfusion continue IV d'Ultiva (MCG / kg / min) | Plage de dose de perfusion Ultiva (MCG / kg / min) | Dose supplémentaire de bolus IV d'Ultiva (MCG / kg) |
| Induction de l'anesthésie (par intubation) | 0,5 - 1 a | ||
| Entretien de l'anesthésie avec: | |||
| 0.4 | 0,1 - 2 | 1 | |
| 0.25 | 0,05 - 2 | 1 | |
| 0.25 | 0,05 - 2 | 1 | |
| Continuation comme analgésique dans la période postopératoire immédiate | 0.1 | 0,025 - 0,2 | pas recommandé |
| a Une dose initiale de 1 mcg / kg peut être administrée sur 30 à 60 secondes. |
Le tableau 2 résume les doses recommandées chez les patients pédiatriques principalement de l'état physique ASA I II ou III. Chez les patients pédiatriques, le rémifentanil a été administré avec de l'oxyde nitreux ou de l'oxyde nitreux en combinaison avec le sévoflurane ou l'isoflurane halothane. L'utilisation de l'atropine peut émousser le potentiel de bradycardie qui peut se produire lors de l'administration d'Ultiva.
Tableau 2: Dossines de dosage chez les patients pédiatriques - Maintien de l'anesthésie
| Phase | Infusion continue IV d'Ultiva (MCG / kg / min) | Gamme de dose de perfusion ultiva (MCG / kg / min) | Dose supplémentaire de bolus IV d'Ultiva (MCG / kg) |
| Entretien de l'anesthésie chez les patients âgés de 1 à 12 ans avec a : | |||
| Halothane (NULL,3 à 1,5 mac) | 0.25 | 0,05 - 1,3 | 1 |
| Sévoflurane (NULL,3 à 1,5 mac) | 0.25 | 0,05 - 1,3 | 1 |
| Isoflurane (NULL,4 à 1,5 mac) | 0.25 | 0,05 - 1,3 | 1 |
| Maintien de l'anesthésie pour les patients de la naissance à 2 mois avec: | |||
| Oxyde nitreux (70%) b | 0.4 | 0,4 - 1,0 | 1 c |
| a Une dose initiale de 1 mcg / kg peut être administrée sur 30 à 60 secondes. b Le taux de dégagement chez les nouveau-nés est très variable en moyenne deux fois plus élevé que dans la population adulte en bonne santé. Par conséquent, une augmentation du taux de perfusion peut être nécessaire pour maintenir une anesthésie chirurgicale adéquate et des doses supplémentaires de bolus peuvent être nécessaires. L'utilisation de l'atropine peut émousser le potentiel de bradycardie qui peut se produire lors de l'administration d'Ultiva. [Voir Pharmacologie clinique : Populations spécifiques: population pédiatrique et Études cliniques ] c Des bolus de 1 mcg / kg ont été étudiés chez les patients ASA 1 et 2 à terme pesant au moins 2500 gm subissant une pyloromyotomie qui a reçu un prétraitement avec de l'atropine. Les nouveau-nés recevant une supplémentation avec de puissants agents d'inhalation ou une anesthésie neuraxiale qui ont des comorbidités importantes ou subissant des changements de liquide importants ou ceux qui n'ont pas été prétraités avec de l'atropine peuvent nécessiter des doses de bolus plus petites pour éviter l'hypotension et / ou la bradycardie. |
La continuation comme analgésique dans la période postopératoire immédiate sous la supervision directe d'un praticien anesthésie
Des perfusions d'Ultiva peuvent être poursuivies dans la période postopératoire immédiate pour certains patients pour lesquels la transition vers des analgésiques agissant plus tard peut être souhaitée.
- Ultiva n'a pas été étudié chez des patients pédiatriques pour une utilisation pendant la période postopératoire immédiate.
- L'utilisation d'injections de bolus d'Ultiva pour traiter la douleur pendant la période postopératoire n'est pas recommandée.
- Lorsqu'il est utilisé comme analgésique IV dans la période postopératoire immédiate, Ultiva doit être initialement administré par perfusion continue à un taux de 0,1 mcg / kg / min.
- Le taux de perfusion peut être ajusté toutes les 5 minutes par incréments de 0,025 mcg / kg / min pour équilibrer le niveau d'analgésie du patient et la fréquence respiratoire.
- Des taux de perfusion supérieurs à 0,2 mcg / kg / min sont associés à la dépression respiratoire (fréquence respiratoire inférieure à 8 respirations / min).
En raison du décalage rapide de l'action d'Ultiva, aucune activité analgésique résiduelle ne sera présente dans les 5 à 10 minutes après l'arrêt. Pour les patients subissant des procédures chirurgicales où la douleur postopératoire est généralement prévue que des analgésiques alternatifs devraient être administrés avant l'arrêt de l'Ultiva. Le choix de l'analgésique doit être approprié pour la procédure chirurgicale du patient et le niveau de soins de suivi [voir Études cliniques ].
Composant analgésique des soins anesthésie surveillés
Il est fortement recommandé que l'oxygène supplémentaire soit fourni au patient chaque fois que Ultiva est administré.
- Ultiva n'a pas été étudié pour une utilisation chez les enfants dans les soins d'anesthésie surveillés.
Dose unique
Une seule dose IV de 0,5 à 1 mcg / kg sur 30 à 60 secondes d'Ultiva peut recevoir 90 secondes avant le placement du bloc anesthésique local ou régional [voir AVERTISSEMENTS AND PRÉCAUTIONS ].
Perfusion continue
Lorsqu'il est utilisé seul comme une composante analgésique IV des soins anesthésie surveillés ultiva devrait être initialement administré par perfusion continue à un taux de 0,1 mcg / kg / min à partir de 5 minutes avant le placement du bloc anesthésique local ou régional.
- En raison du risque d'hypoventilation, le taux de perfusion d'Ultiva doit être diminué à 0,05 mcg / kg / min après le placement du bloc.
- Par la suite, des ajustements de taux de 0,025 mcg / kg / min à des intervalles de 5 minutes peuvent être utilisés pour équilibrer le niveau d'analgésie du patient et de fréquence respiratoire.
- Des taux supérieurs à 0,2 mcg / kg / min sont généralement associés à la dépression respiratoire (les taux respiratoires inférieurs à 8 respirations / min).
- Les doses de bolus d'Ultiva administrées simultanément avec une perfusion continue d'Ultiva aux patients respirant spontanément ne sont pas recommandées.
Le tableau 3 résume les doses recommandées pour les soins d'anesthésie surveillés chez les patients adultes principalement l'état physique ASA I II ou III.
Tableau 3: Dossiner des directives chez les adultes - soins à l'anesthésie surveillée
| Méthode | Timing | Ultiva seul | Ultiva 2 mg midazolam |
| Dose unique IV | Étant donné 90 secondes avant l'anesthésie locale | 1 mcg / kg sur 30 à 60 secondes | 0,5 mcg / kg sur 30 à 60 secondes |
| Perfusion IV continue | Commençant 5 minutes avant l'anesthésie locale | 0,1 mcg / kg / min | 0,05 mcg / kg / min |
| Après l'anesthésie locale | 0,05 mcg / kg / min (Range: 0.025 to 0.2 mcg/kg/min) | 0,025 mcg / kg / min (plage: 0,025 à 0,2 mcg / kg / min) |
Arrêt
Lors de l'arrêt de l'ultiva, le tube IV doit être éliminé pour empêcher l'administration par inadvertance d'Ultiva plus tard.
Pour les patients subissant des procédures chirurgicales où la douleur postopératoire est généralement prévue que des analgésiques alternatifs devraient être administrés avant l'arrêt de l'Ultiva. Le choix de l'analgésique doit être approprié pour la procédure chirurgicale du patient et le niveau de soins de suivi [voir Études cliniques ].
Modifications posologiques chez les patients gériatriques
Les doses de départ d'Ultiva doivent être diminuées de 50% chez les patients âgés (> 65 ans). Ultiva devrait alors être prudemment titré pour effet [voir Utiliser dans des populations spécifiques ].
Modifications posologiques chez les patients pédiatriques
Voir le tableau 2 pour les recommandations de dosage pour l'utilisation de l'ultiva chez les patients pédiatriques de la naissance à 12 ans pour le maintien de l'anesthésie. [voir Pharmacologie clinique : Populations spécifiques: population pédiatrique et Anesthésie générale Tableau 2 et Entretien de l'anesthésie .]
Ultiva n'a pas été étudié chez des patients pédiatriques pour une utilisation pendant la période postopératoire immédiate ou pour une utilisation comme composante des soins d'anesthésie surveillés.
Modifications posologiques de la chirurgie du pontage coronarien
Le tableau 4 résume les doses recommandées pour l'entretien et la poursuite de l'induction comme analgésique dans les soins intensifs chez les patients adultes principalement de l'état physique ASA III ou IV. Pour éviter l'hypotension pendant la phase d'induction, il est important de considérer les schémas de médicaments concomitants. [voir Études cliniques : Chirurgie du pontage coronarien .]
Tableau 4: recommandations de dosage a - Chirurgie du pontage coronarien
| Phase | Infusion continue IV d'Ultiva (MCG / kg / min) | Gamme de dose de perfusion ultiva (MCG / kg / min) | Dose supplémentaire de bolus IV d'Ultiva (MCG / kg) |
| Induction de l'anesthésie (par intubation) | 1 | ||
| Entretien de l'anesthésie | 1 | 0,125 à 4 | 0,5 à 1 |
| Continuation comme analgésique dans les soins intensifs | 1 | 0,05 à 1 | |
| a Voir Études cliniques : Chirurgie du pontage coronarien sous-section pour les schémas de médicaments concomitants. |
Modifications posologiques chez les patients obèses
Les doses de départ d'Ultiva doivent être basées sur le poids corporel idéal (IBW) chez les patients obèses (supérieur à 30% sur leur IBW) [voir Utiliser dans des populations spécifiques ].
Modifications posologiques dans les médicaments préanesthésiques
La nécessité de prémédication et le choix des agents anesthésiques doivent être individualisées. Dans les études cliniques, les patients qui ont reçu Ultiva ont fréquemment reçu une prémédication de benzodiazépine.
Préparation de l'administration
Pour reconstituer la solution, ajoutez 1 ml de diluant par mg de rémifentanil. Bien secouer pour dissoudre. Lorsqu'il est reconstitué comme indiqué, la solution contient environ 1 mg d'activité de rémifentanil par 1 ml.
- Ultiva doit être dilué à une concentration finale recommandée de 20 25 50 ou 250 mcg / ml avant l'administration (voir tableau 5). Ultiva ne doit pas être administré sans dilution.
Tableau 5: Reconstitution et dilution d'Ultiva
| Concentration finale | Quantité d'Ultiva dans chaque flacon | Volume final après reconstitution et dilution |
| 20 mcg / ml | 1 mg | 50 ml |
| 2 mg | 100 ml | |
| 5 mg | 250 ml | |
| 25 mcg / ml | 1 mg | 40 ml |
| 2 mg | 80 ml | |
| 5 mg | 200 ml | |
| 50 mcg / ml | 1 mg | 20 ml |
| 2 mg | 40 ml | |
| 5 mg | 100 ml | |
| 250 mcg / ml | 5 mg | 20 ml |
Les perfusions IV continues d'Ultiva ne doivent être administrées que par un dispositif de perfusion. Les taux de perfusion d'Ultiva peuvent être individualisés pour chaque patient en utilisant le tableau 6:
Tableau 6: Taux de perfusion IV de Ultiva (ml / kg / h)
| Taux d'administration de médicaments (MCG / kg / min) | Taux de livraison de perfusion (ml / kg / h) | |||
| 20 mcg / ml | 25 mcg / ml | 50 mcg / ml | 250 mcg / ml | |
| 0.0125 | 0.038 | 0.03 | 0.015 | pas recommandé |
| 0.025 | 0.075 | 0.06 | 0.03 | pas recommandé |
| 0.05 | 0.15 | 0.12 | 0.06 | 0.012 |
| 0.075 | 0.23 | 0.18 | 0.09 | 0.018 |
| 0.1 | 0.3 | 0.24 | 0.12 | 0.024 |
| 0.15 | 0.45 | 0.36 | 0.18 | 0.036 |
| 0.2 | 0.6 | 0.48 | 0.24 | 0.048 |
| 0.25 | 0.75 | 0.6 | 0.3 | 0.06 |
| 0.5 | 1.5 | 1.2 | 0.6 | 0.12 |
| 0.75 | 2.25 | 1.8 | 0.9 | 0.18 |
| 1.0 | 3.0 | 2.4 | 1.2 | 0.24 |
| 1.25 | 3.75 | 3.0 | 1.5 | 0.3 |
| 1.5 | 4.5 | 3.6 | 1.8 | 0.36 |
| 1.75 | 5.25 | 4.2 | 2.1 | 0.42 |
| 2.0 | 6.0 | 4.8 | 2.4 | 0.48 |
Lorsque Ultiva est utilisé comme composant analgésique de la prise en charge analgésie surveillée, une concentration finale de 25 mcg / ml est recommandée. Lorsque Ultiva est utilisé pour les patients pédiatriques d'un an et plus, une concentration finale de 20 ou 25 mcg / ml est recommandée. Le tableau 7 est une directive pour une livraison de milliliter par heure pour une solution de 20 mcg / ml avec un dispositif de perfusion.
Tableau 7: Taux de perfusion IV d'Ultiva (ml / h) pour une solution de 20 mcg / ml
| Taux de perfusion (MCG / kg / min) | Poids du patient (kg) | ||||||
| 5 | 10 | 20 | 30 | 40 | 50 | 60 | |
| 0.0125 | 0.188 | 0.375 | 0.75 | 1.125 | 1.5 | 1.875 | 2.25 |
| 0.025 | 0.375 | 0.75 | 1.5 | 2.25 | 3.0 | 3.75 | 4.5 |
| 0.05 | 0.75 | 1.5 | 3.0 | 4.5 | 6.0 | 7.5 | 9.0 |
| 0.075 | 1.125 | 2.25 | 4.5 | 6.75 | 9.0 | 11.25 | 13.5 |
| 0.1 | 1.5 | 3.0 | 6.0 | 9.0 | 12.0 | 15.0 | 18.0 |
| 0.15 | 2.25 | 4.5 | 9.0 | 13.5 | 18.0 | 22.5 | 27.0 |
| 0.2 | 3.0 | 6.0 | 12.0 | 18.0 | 24.0 | 30.0 | 36.0 |
| 0.25 | 3.75 | 7.5 | 15.0 | 22.5 | 30.0 | 37.5 | 45.0 |
| 0.3 | 4.5 | 9.0 | 18.0 | 27.0 | 36.0 | 45.0 | 54.0 |
| 0.35 | 5.25 | 10.5 | 21.0 | 31.5 | 42.0 | 52.5 | 63.0 |
| 0.4 | 6.0 | 12.0 | 24.0 | 36.0 | 48.0 | 60.0 | 72.0 |
Le tableau 8 est une directive pour une livraison de milliliter par heure pour une solution de 25 mcg / ml avec un dispositif de perfusion.
Tableau 8: Taux de perfusion IV d'Ultiva (ml / h) pour une solution de 25 mcg / ml
| Taux de perfusion (MCG / kg / min) | Poids du patient (kg) | |||||||||
| 10 | 20 | 30 | 40 | 50 | 60 | 70 | 80 | 90 | 100 | |
| 0.0125 | 0.3 | 0.6 | 0.9 | 1.2 | 1.5 | 1.8 | 2.1 | 2.4 | 2.7 | 3.0 |
| 0.025 | 0.6 | 1.2 | 1.8 | 2.4 | 3.0 | 3.6 | 4.2 | 4.8 | 5.4 | 6.0 |
| 0.05 | 1.2 | 2.4 | 3.6 | 4.8 | 6.0 | 7.2 | 8.4 | 9.6 | 10.8 | 12.0 |
| 0.075 | 1.8 | 3.6 | 5.4 | 7.2 | 9.0 | 10.8 | 12.6 | 14.4 | 16.2 | 18.0 |
| 0.1 | 2.4 | 4.8 | 7.2 | 9.6 | 12.0 | 14.4 | 16.8 | 19.2 | 21.6 | 24.0 |
| 0.15 | 3.6 | 7.2 | 10.8 | 14.4 | 18.0 | 21.6 | 25.2 | 28.8 | 32.4 | 36.0 |
| 0.2 | 4.8 | 9.6 | 14.4 | 19.2 | 24.0 | 28.8 | 33.6 | 38.4 | 43.2 | 48.0 |
Le tableau 9 est une ligne directrice pour une livraison de milliliter par heure pour une solution de 50 mcg / ml avec un dispositif de perfusion.
Tableau 9: Taux de perfusion IV d'Ultiva (ml / h) pour une solution de 50 mcg / ml
| Taux de perfusion (MCG / kg / min) | Poids du patient (kg) | |||||||
| 30 | 40 | 50 | 60 | 70 | 80 | 90 | 100 | |
| 0.025 | 2.1 | 2.4 | 2.7 | 3.0 | ||||
| 0.05 | 2.4 | 3.0 | 3.6 | 4.2 | 4.8 | 5.4 | 6.0 | |
| 0.075 | 2.7 | 3.6 | 4.5 | 5.4 | 6.3 | 7.2 | 8.1 | 9.0 |
| 0.1 | 3.6 | 4.8 | 6.0 | 7.2 | 8.4 | 9.6 | 10.8 | 12.0 |
| 0.15 | 5.4 | 7.2 | 9.0 | 10.8 | 12.6 | 14.4 | 16.2 | 18.0 |
| 0.2 | 7.2 | 9.6 | 12.0 | 14.4 | 16.8 | 19.2 | 21.6 | 24.0 |
| 0.25 | 9.0 | 12.0 | 15.0 | 18.0 | 21.0 | 24.0 | 27.0 | 30.0 |
| 0.5 | 18.0 | 24.0 | 30.0 | 36.0 | 42.0 | 48.0 | 54.0 | 60.0 |
| 0.75 | 27.0 | 36.0 | 45.0 | 54.0 | 63.0 | 72.0 | 81.0 | 90.0 |
| 1.0 | 36.0 | 48.0 | 60.0 | 72.0 | 84.0 | 96.0 | 108.0 | 120.0 |
| 1.25 | 45.0 | 60.0 | 75.0 | 90.0 | 105.0 | 120.0 | 135.0 | 150.0 |
| 1.5 | 54.0 | 72.0 | 90.0 | 108.0 | 126.0 | 144.0 | 162.0 | 180.0 |
| 1.75 | 63.0 | 84.0 | 105.0 | 126.0 | 147.0 | 168.0 | 189.0 | 210.0 |
| 2.0 | 72.0 | 96.0 | 120.0 | 144.0 | 168.0 | 192.0 | 216.0 | 240.0 |
Le tableau 10 est une directive pour une livraison de milliliter par heure pour une solution de 250 mcg / ml avec un dispositif de perfusion.
Tableau 10: Taux de perfusion IV d'Ultiva (ml / h) pour une solution de 250 mcg / ml
| Taux de perfusion (MCG / kg / min) | Poids du patient (kg) | |||||||
| 30 | 40 | 50 | 60 | 70 | 80 | 90 | 100 | |
| 0.1 | 0.72 | 0.96 | 1.20 | 1.44 | 1.68 | 1.92 | 2.16 | 2.40 |
| 0.15 | 1.08 | 1.44 | 1.80 | 2.16 | 2.52 | 2.88 | 3.24 | 3.60 |
| 0.2 | 1.44 | 1.92 | 2.40 | 2.88 | 3.36 | 3.84 | 4.32 | 4.80 |
| 0.25 | 1.80 | 2.40 | 3.00 | 3.60 | 4.20 | 4.80 | 5.40 | 6.00 |
| 0.5 | 3.60 | 4.80 | 6.00 | 7.20 | 8.40 | 9.60 | 10.80 | 12.00 |
| 0.75 | 5.40 | 7.20 | 9.00 | 10.80 | 12.60 | 14.40 | 16.20 | 18.00 |
| 1.0 | 7.20 | 9.60 | 12.00 | 14.40 | 16.80 | 19.20 | 21.60 | 24.00 |
| 1.25 | 9.00 | 12.00 | 15.00 | 18.00 | 21.00 | 24.00 | 27.00 | 30.00 |
| 1.5 | 10.80 | 14.40 | 18.00 | 21.60 | 25.20 | 28.80 | 32.40 | 36.00 |
| 1.75 | 12.60 | 16.80 | 21.00 | 25.20 | 29.40 | 33.60 | 37.80 | 42.00 |
| 2.0 | 14.40 | 19.20 | 24.00 | 28.80 | 33.60 | 38.40 | 43.20 | 48.00 |
Compatibilité et stabilité
Reconstitution et dilution avant l'administration
Ultiva est stable pendant 24 heures à température ambiante après reconstitution et une dilution supplémentaire à des concentrations de 20 à 250 mcg / ml avec les fluides IV énumérés ci-dessous.
Eau stérile pour l'injection USP
5% d'injection de dextrose USP
5% de dextrose et 0,9% d'injection de chlorure de sodium USP
0,9% d'injection de chlorure de sodium USP
0,45% d'injection de chlorure de sodium USP
Ringer lactated et 5% d'injection de dextrose USP
Ultiva est stable pendant 4 heures à température ambiante après reconstitution et une dilution supplémentaire à des concentrations de 20 à 250 mcg / ml avec l'injection de Ringer Lactated USP.
Ultiva s'est avéré compatible avec ces fluides IV lorsqu'ils sont co-administrés dans un ensemble d'administration IV en cours d'exécution.
Compatibilité avec d'autres agents thérapeutiques
Ultiva s'est avéré compatible avec Diprivan ® (Propofol) Injection lors du co-administration dans un ensemble d'administration IV en cours d'exécution. La compatibilité de Ultiva avec d'autres agents thérapeutiques n'a pas été évaluée.
Incompatibilités
Les estérases non spécifiques dans les produits sanguins peuvent conduire à l'hydrolyse du rémifentanil à son métabolite acide carboxylique. Par conséquent, l'administration d'Ultiva dans le même tube IV avec du sang n'est pas recommandée.
Remarque: Les médicaments parentéraux doivent être inspectés visuellement pour les particules et la décoloration avant l'administration chaque fois que la solution et le permis de conteneur. Le produit doit être un liquide incolore clair après reconstitution et exempt de particules visibles.
Ultiva ne contient aucun conservateur antimicrobien et doit donc être pris en compte pour assurer la stérilité des solutions préparées.
Comment fourni
Formes et forces posologiques
Pour injection : 1 mg 2 mg et 5 mg:
| Vial de 3 ml | 1 mg lyophilized powder |
| 5 ml de flacon | 2 mg lyophilized powder |
| 10 ml de flacon | 5 mg lyophilized powder |
Stockage et manipulation
Ulctif (chlorhydrate de remifentanil) pour l'injection pour une utilisation intraveineuse est fourni comme suit:
| Numéro NDC | Récipient | Concentration | Quantité |
| 72078-034-01 | Vial à dose unique de 3 ml | 1 mg lyophilized powder | Boîte de 10 |
| 72078-035-02 | 5 ml de flacon à dose unique | 2 mg lyophilized powder | Boîte de 10 |
| 72078-036-05 | 10 ml de flacon à dose unique | 5 mg lyophilized powder | Boîte de 10 |
Ulctif should be stored at 2° to 25°C (36° to 77°F).
Jetez la partie inutilisée.
Fabriqué par: Mylan Institutional Galway Ireland. Révisé: déc. 2023.
Effets secondaires for Ultiva
Les réactions indésirables graves suivantes sont décrites ou décrites plus en détail dans d'autres sections:
- Abus et abus de la toxicomanie [voir AVERTISSEMENTS AND PRÉCAUTIONS ]
- Dépression respiratoire potentiellement mortelle [voir AVERTISSEMENTS AND PRÉCAUTIONS ]
- Interactions avec les benzodiazépines ou autres dépresseurs du SNC [voir AVERTISSEMENTS AND PRÉCAUTIONS ]
- L'hyperalgésie et l'allodynie induites par les opioïdes [voir AVERTISSEMENTS AND PRÉCAUTIONS ]
- Syndrome de Seroton [voir AVERTISSEMENTS AND PRÉCAUTIONS ]
- Rigidité musculaire squelettique [voir AVERTISSEMENTS AND PRÉCAUTIONS ]
- Bradycardie [voir AVERTISSEMENTS AND PRÉCAUTIONS ]
- Hypotension [voir AVERTISSEMENTS AND PRÉCAUTIONS ]
- Maladie des voies biliaires [voir AVERTISSEMENTS AND PRÉCAUTIONS ]
- Convulsions [voir AVERTISSEMENTS AND PRÉCAUTIONS ]
Expérience des essais cliniques
Étant donné que les essais cliniques sont menés dans des conditions de réaction indésirables très variables observées dans les essais cliniques d'un médicament ne peuvent pas être directement comparées aux taux dans les essais cliniques d'un autre médicament et ne peuvent pas refléter les taux observés dans la pratique.
Les informations sur les événements indésirables sont dérivées d'études cliniques contrôlées qui ont été menées dans une variété de procédures chirurgicales de durée variable en utilisant une variété de prémédications et d'autres anesthésiques et dans des populations de patients avec diverses caractéristiques comprenant une maladie sous-jacente.
Adultes
Environ 2770 patients adultes ont été exposés à Ultiva dans des études cliniques contrôlées. Les fréquences des événements indésirables pendant l'anesthésie générale avec les doses recommandées d'Ultiva sont données dans le tableau 11. Chaque patient a été compté une fois pour chaque type d'événement indésirable.
Tableau 11: Événements indésirables rapportés chez ≥ 1% des patients adultes dans les études d'anesthésie générales a Aux doses recommandées b d'Ultiva
| Événement indésirable | Induction / maintenance | Analgésie postopératoire | Après l'arrêt | |||
| Ulctif (n = 921) | Alfentanil / Fentanyl (n = 466) | Ulctif (n = 281) | Morphine (n = 98) | Ulctif (n = 929) | Alfentanil / Fentanyl (n = 466) | |
| Nausée | 8 ( <1%) | 0 | 61 (22%) | 15 (15%) | 339 (36%) | 202 (43%) |
| Hypotension | 178 (19%) | 30 (6%) | 0 | 0 | 16 (2%) | 9 (2%) |
| Vomissement | 4 ( <1%) | 1 ( <1%) | 22 (8%) | 5 (5%) | 150 (16%) | 91 (20%) |
| Rigidité musculaire | 98 (11%) c | 37 (8%) | 7 (2%) | 0 | 2 ( <1%) | 1 ( <1%) |
| Bradycardie | 62 (7%) | 24 (5%) | 3 (1%) | 3 (3%) | 11 (1%) | 6 (1%) |
| Tremblement | 3 ( <1%) | 0 | 15 (5%) | 9 (9%) | 49 (5%) | 10 (2%) |
| Fièvre | 1 ( <1%) | 0 | 2 ( <1%) | 0 | 44 (5%) | 9 (2%) |
| Vertiges | 0 | 0 | 1 ( <1%) | 0 | 27 (3%) | 9 (2%) |
| Perturbation visuelle | 0 | 0 | 0 | 0 | 24 (3%) | 14 (3%) |
| Mal de tête | 0 | 0 | 1 ( <1%) | 1 ( <1%) | 21 (2%) | 8 (2%) |
| Dépression respiratoire | 1 ( <1%) | 0 | 19 (7%) | 4 (4%) | 17 (2%) | 20 (4%) |
| Apnée | 0 | 1 ( <1%) | 9 (3%) | 2 (2%) | 2 ( <1%) | 1 ( <1%) |
| Prurit | 2 ( <1%) | 0 | 7 (2%) | 1 (1%) | 22 (2%) | 7 (2%) |
| Tachycardie | 6 ( <1%) | 7 (2%) | 0 | 0 | 10 (1%) | 8 (2%) |
| Douleur postopératoire | 0 | 0 | 7 (2%) | 0 | 4 ( <1%) | 5 (1%) |
| Hypertensio n | 10 (1%) | 7 (2%) | 5 (2%) | 3 (3%) | 12 (1%) | 8 (2%) |
| Agitation | 2 ( <1%) | 0 | 3 (1%) | 1 (1%) | 6 ( <1%) | 1 ( <1%) |
| Hypoxie | 0 | 0 | 1 ( <1%) | 0 | 10 (1%) | 7 (2%) |
| a N'inclut pas les événements indésirables des études cardiaques ou de l'étude néonatale. Voir les tableaux 14 15 et 16 pour des informations cardiaques. b Voir le tableau 1 pour les doses recommandées. Toutes les doses d'Ultiva n'étaient pas équipotentes à l'opioïde du comparateur. L'administration d'Ultiva au-dessus de la dose recommandée (c'est-à-dire des doses> 1 et jusqu'à 20 mcg / kg) a entraîné une incidence plus élevée de certains événements indésirables: rigidité musculaire (37%) Bradycardie (12%) hypertension (4%) et tachycardie (4%). c L'incidence de rigidité musculaire est la rigidité de la paroi thoracique (5%). L'incidence globale de la rigidité musculaire est <1% when remifentanil is administered concurrently or after a hypnotic induction agent. |
Dans la population âgée (> 65 ans), l'incidence de l'hypotension est plus élevée tandis que l'incidence des nausées et des vomissements est plus faible.
Tableau 12: Incidence (%) des événements indésirables les plus courants par le sexe dans les études d'anesthésie générales a Aux doses recommandées b d'Ultiva
| Événement indésirable n | Entretien d'induction | Analgésie postopératoire | Après l'arrêt | |||||||||
| Ulctif | Alfentanil / Fentanyl | Ulctif | Morphine | Ulctif | Alfentanil / Fentanyl | |||||||
| Mâle 326 | Femme 595 | Mâle 183 | Femme 283 | Mâle 85 | Femme 196 | Homme 36 | Femme 62 | Mâle 332 | Femme 597 | Mâle 183 | Femme 283 | |
| Nausée | 2% | <1% | 0 | 0 | 12% | 26% | 8% | 19% | 22% | 45% | 30% | 52% |
| Hypotension | 29% | 14% | 7% | 6% | 0 | 0 | 0 | 0 | 2% | 2% | 2% | 2% |
| Vomissement | <1% | <1% | 0 | <1% | 4% | 10% | 0 | 8% | 5% | 22% | 8% | 27% |
| Rigidité musculaire | 17% | 7% | 14% | 4% | 6% | 1% | 0 | 0 | <1% | <1% | 0 | <1% |
| a N'inclut pas les événements indésirables des études cardiaques ou de l'étude néonatale. b Voir Table 1 for recommended doses. Toutes les doses d'Ultiva n'étaient pas équipotentes à l'opioïde du comparateur. |
Les fréquences des événements indésirables des études cliniques aux doses recommandées d'Ultiva dans les soins d'anesthésie surveillés sont donnés dans le tableau 13.
Tableau 13: Événements indésirables rapportés chez ≥ 1% des patients adultes dans les études de soins d'anesthésie surveillés aux doses recommandées a d'Ultiva
| Événement indésirable | Ulctif (n = 159) | Ultiva 2 mg midazolam b (n = 103) | Propofol (NULL,5 mg / kg puis 50 mcg / kg / min) (n = 63) |
| Nausée | 70 (44%) | 19 (18%) | 20 (32%) |
| Vomissement | 35 (22%) | 5 (5%) | 13 (21%) |
| Prurit | 28 (18%) | 16 (16%) | 0 |
| Mal de tête | 28 (18%) | 12 (12%) | 6 (10%) |
| Transpiration | 10 (6%) | 0 | 1 (2%) |
| Tremblement | 8 (5%) | 1 ( <1%) | 1 (2%) |
| Vertiges | 8 (5%) | 5 (5%) | 1 (2%) |
| Hypotension | 7 (4%) | 0 | 6 (10%) |
| Bradycardie | 6 (4%) | 0 | 7 (11%) |
| Dépression respiratoire | 4 (3%) | 1 ( <1%) a | 0 |
| Rigidité musculaire | 4 (3%) | 0 | 1 (2%) |
| Frissons | 2 (1%) | 0 | 2 (3%) |
| Bouffée | 2 (1%) | 0 | 0 |
| Sensation de chaleur | 2 (1%) | 0 | 0 |
| Douleur à l'étude IV Site | 2 (1%) | 0 | 11 (17%) |
| a Voir le tableau 3 pour les doses recommandées. L'administration d'Ultiva au-dessus du taux de perfusion recommandé (c'est-à-dire des doses de départ> 0,1 mcg / kg / min) a entraîné une incidence plus élevée de certains événements indésirables: nausée (60%) apnée (8%) et rigidité musculaire (5%). b Avec des doses de midazolam plus élevées, des incidents plus élevés de dépression respiratoire et d'apnée ont été observés. |
Autres événements indésirables chez les patients adultes
Les fréquences d'événements cliniques indésirables moins couramment signalés de toutes les études générales contrôlées et des études de soins d'anesthésie surveillées sont présentées ci-dessous.
Les fréquences d'événements sont calculées comme le nombre de patients qui ont été administrés Ultiva et ont signalé un événement divisé par le nombre total de patients exposés à Ultiva dans toutes les études contrôlées, y compris les études de dose cardiaque et les études de neurochirurgie (n = 1883 Anesthesie générale N = 609 soins d'anesthésie surveillés).
Incidence moins de 1%
Digestif: constipation abdominal discomfort xerostomia gastro-esophageal reflux dysphagia diarrhée ileus.
Cardiovasculaire: Divers changements d'ECG auriculaires et ventriculaires du bloc cardiaque cohérent avec l'ischémie myocardique Syncope de niveau CPK-MB élevé.
Musculo-squelette: raideur musculaire musculoskeletal chest pain.
Respiratoire: toux dyspnea bronchospasm laryngospasm rhonchi stridor nasal congestion pharyngitis pleural effusion hiccup(s) pulmonary edema rales bronchitis rhinorrhea.
Nerveux: Anxiété Mouvement involontaire, émergence prolongée de la confusion de confusion anesthésie sous anesthésie sans douleur éveil rapide de l'anesthésie des tremblements de la désorientation dysphorie cauchemar (s) Hallucinations patesthésie nystagmus Twitch Spured Amnesia.
Pedialyte provoque-t-il une diarrhée chez les adultes
Corps dans son ensemble: Diminution de la réaction anaphylactique de la température corporelle a retardé la récupération du bloc neuromusculaire. Peau: urticaire éruption cutanée. Urogénital: Rétention d'urine Oligurie Dyurie Incontinence d'urine. Réaction du site de perfusion: érythème prurit éruption cutanée. Métabolique et nutrition: la fonction hépatique anormale des troubles de l'hyperglycémie électrolyte a augmenté le niveau de CPK.
Hématologique et lymphatique: anémie lymphopénie la leucocytose thrombocytopénie. Les fréquences des événements indésirables des études cliniques aux doses recommandées d'Ultiva en chirurgie cardiaque sont données dans les tableaux 14 15 et 16. Ces tableaux représentent les événements indésirables collectés pendant les phases discrètes de la chirurgie cardiaque. Tout événement doit être considéré comme temporellement associé à l'administration du médicament et la phase indiquée ne doit pas être perçue comme la seule fois où l'événement pourrait se produire.
Tableau 14: Événements indésirables rapportés chez ≥ 1% des patients dans les phases d'induction / intubation et d'entretien des études de chirurgie cardiaque aux doses recommandées a d'Ultiva
| Induction / intubation | Entretien | |||||
| Événement indésirable | Ulctif (n = 227) | Fentanyl (n = 176) | Surestanil (n = 41) | Ulctif (n = 227) | Fentanyl (n = 176) | Surestanil (n = 41) |
| Hypotension | 18 (8%) | 6 (3%) | 7 (17%) | 26 (11%) | 6 (3%) | 1 (2%) |
| Bradycardie | 9 (4%) | 5 (3%) | 0 | 3 (1%) | 1 ( <1%) | 1 (2%) |
| Hypertension | 3 (1%) | 2 (1%) | 2 (5%) | 8 (4%) | 6 (3%) | 1 (2%) |
| Constipation | 9 (4%) | 1 ( <1%) | 3 (7%) | 0 | 0 | 1 (2%) |
| Rigidité musculaire | 2 ( <1%) | 2 (1%) | 0 | 5 (2%) | 8 (5%) | 0 |
| Battements ventriculaires prématurés | 1 ( <1%) | 0 | 0 | 3 (1%) | 1 ( <1%) | 0 |
| Ischémie myocardique | 0 | 0 | 0 | 7 (3%) | 8 (5%) | 1 (2%) |
| Fibrillation auriculaire | 0 | 0 | 0 | 7 (3%) | 3 (2%) | 1 (2%) |
| Diminution du débit cardiaque | 0 | 0 | 0 | 5 (2%) | 1 ( <1%) | 1 (2%) |
| Tachycardie | 0 | 1 ( <1%) | 0 | 4 (2%) | 2 (1%) | 0 |
| Trouble de la coagulation | 0 | 0 | 0 | 4 (2%) | 0 | 1 (2%) |
| Arythmie | 0 | 0 | 0 | 3 (1%) | 0 | 0 |
| Fibrillation ventriculaire | 0 | 0 | 0 | 3 (1%) | 1 ( <1%) | 1 (2%) |
| Complication postopératoire | 0 | 0 | 0 | 3 (1%) | 0 | 0 |
| Bloc cardiaque du troisième degré | 0 | 0 | 0 | 2 ( <1%) | 0 | 1 (2%) |
| Hémorragie | 0 | 0 | 0 | 2 ( <1%) | 0 | 1 (2%) |
| Complication périopératoire | 0 | 0 | 0 | 2 ( <1%) | 1 ( <1%) | 1 (2%) |
| Mouvements involontaires (s) | 0 | 0 | 0 | 2 ( <1%) | 3 (2%) | 0 |
| Thrombocytopénie | 0 | 0 | 1 (2%) | 0 | 0 | 0 |
| Oligurie | 0 | 0 | 0 | 0 | 3 (2%) | 0 |
| Anémie | 0 | 0 | 0 | 2 ( <1%) | 2 (1%) | 0 |
| a Voir Table 4 for recommended doses. |
Tableau 15: Événements indésirables rapportés chez ≥ 1% des patients de la phase des soins intensifs des études de chirurgie cardiaque aux doses recommandées a d'Ultiva
| Événement indésirable | Ulctif n = 227 | Fentanyl n = 176 | Surestanil n = 41 |
| Hypertension | 14 (6%) | 8 (5%) | 2 (5%) |
| Hypotension | 12 (5%) | 3 (2%) | 1 (2%) |
| Tachycardie | 9 (4%) | 5 (3%) | 0 |
| Tremblement | 8 (4%) | 3 (2%) | 1 (2%) |
| Nausée | 8 (4%) | 3 (2%) | 0 |
| Hémorragie | 4 (2%) | 1 ( <1%) | 1 (2%) |
| Complication postopératoire | 4 (2%) | 5 (3%) | 2 (5%) |
| Agitation | 4 (2%) | 1 ( <1%) | 1 (2%) |
| Mal | 4 (2%) | 0 | 0 |
| Diminution du débit cardiaque | 3 (1%) | 0 | 0 |
| Arythmie | 3 (1%) | 0 | 0 |
| Rigidité musculaire | 2 ( <1%) | 1 ( <1%) | 2 (5%) |
| Bradycardie | 2 (1%) | 2 (1%) | 0 |
| Vomissement | 1 ( <1%) | 2 (1%) | 0 |
| Battements ventriculaires prématurés | 1 ( <1%) | 2 (1%) | 0 |
| Anémie | 0 | 3 (2%) | 0 |
| Somnolence | 0 | 0 | 1 (2%) |
| Fièvre | 0 | 2 (1%) | 0 |
| a Voir Table 4 for recommended doses. |
Tableau 16: Événements indésirables rapportés chez ≥ 1% des patients de la phase médicamenteuse post-étude des études de chirurgie cardiaque aux doses recommandées a d'Ultiva
| Événement indésirable | Ulctif n = 227 | Fentanyl n = 176 | Surestanil n = 41 |
| Nausée | 90 (40%) | 63 (36%) | 16 (39%) |
| Vomissement | 33 (15%) | 26 (15%) | 3 (7%) |
| Fièvre | 30 (13%) | 15 (9%) | 0 |
| Fibrillation auriculaire | 27 (12%) | 33 (19%) | 4 (10%) |
| Constipation | 20 (9%) | 35 (20%) | 3 (7%) |
| Épanchement pleural | 11 (5%) | 2 (1%) | 2 (5%) |
| Hypotension | 8 (4%) | 8 (5%) | 1 (2%) |
| Tachycardie | 9 (4%) | 15 (9%) | 0 |
| Complication postopératoire | 10 (4%) | 6 (3%) | 2 (5%) |
| Oligurie | 7 (3%) | 7 (4%) | 1 (2%) |
| Confusion | 7 (3%) | 10 (6%) | 5 (12%) |
| Mal | 6 (3%) | 2 (1%) | 0 |
| Anxiété | 6 (3%) | 6 (3%) | 0 |
| Mal de tête | 6 (3%) | 2 (1%) | 0 |
| Complication périopératoire | 5 (2%) | 7 (4%) | 1 (2%) |
| Anémie | 5 (2%) | 5 (3%) | 1 (2%) |
| Agitation | 5 (2%) | 3 (2%) | 1 (2%) |
| Diarrhée | 5 (2%) | 1 ( <1%) | 1 (2%) |
| Œdème | 4 (2%) | 6 (3%) | 0 |
| Vertiges | 4 (2%) | 3 (2%) | 1 (2%) |
| Infection postopératoire | 5 (2%) | 7 (4%) | 0 |
| Hypoxie | 4 (2%) | 5 (3%) | 0 |
| Apnée | 4 (2%) | 1 ( <1%) | 1 (2%) |
| Hypertension | 3 (1%) | 3 (2%) | 0 |
| Tremblement | 3 (1%) | 1 ( <1%) | 0 |
| Brûlures d'estomac | 3 (1%) | 3 (2%) | 0 |
| Battement auriculaire | 3 (1%) | 1 ( <1%) | 0 |
| Arythmie | 3 (1%) | 5 (3%) | 0 |
| Hallucinations | 3 (1%) | 3 (2%) | 0 |
| Pneumonie | 3 (1%) | 3 (2%) | 1 (2%) |
| Pharyngite | 3 (1%) | 1 ( <1%) | 1 (2%) |
| Diminution de l'acuité mentale | 3 (1%) | 1 ( <1%) | 0 |
| Dyspnée | 3 (1%) | 1 ( <1%) | 0 |
| Toux | 3 (1%) | 0 | 0 |
| Diminution du débit cardiaque | 1 ( <1%) | 0 | 3 (7%) |
| Insuffisance rénale | 1 ( <1%) | 5 (3%) | 0 |
| Bradycardie | 1 ( <1%) | 1 ( <1%) | 1 (2%) |
| Rétention d'urine | 2 ( <1%) | 3 (2%) | 0 |
| Infarctus cérébral | 2 ( <1%) | 2 (1%) | 1 (2%) |
| Battements ventriculaires prématurés | 2 ( <1%) | 3 (2%) | 0 |
| Ischémie cérébrale | 1 ( <1%) | 1 ( <1%) | 1 (2%) |
| Paresthésie | 2 ( <1%) | 2 (1%) | 0 |
| Crise d'épilepsie | 2 ( <1%) | 1 ( <1%) | 1 (2%) |
| Trouble du sommeil | 1 ( <1%) | 1 ( <1%) | 1 (2%) |
| Bronchospasme | 1 ( <1%) | 6 (3%) | 0 |
| Atelectasie | 2 ( <1%) | 3 (2%) | 0 |
| Dépression respiratoire | 2 ( <1%) | 3 (2%) | 0 |
| Œdème pulmonaire | 1 ( <1%) | 2 (1%) | 0 |
| Détresse respiratoire | 2 ( <1%) | 0 | 1 (2%) |
| Hyperkaliémie | 2 ( <1%) | 3 (2%) | 0 |
| Trouble électrolytique | 0 | 3 (2%) | 0 |
| Congestion de la poitrine | 0 | 3 (2%) | 0 |
| Hémoptysie | 0 | 2 (1%) | 0 |
| Ptose faciale | 0 | 2 (1%) | 0 |
| Hémorragie | 0 | 2 (1%) | 0 |
| Hématurie | 0 | 1 ( <1%) | 1 (2%) |
| Perturbation visuelle(s) | 0 | 1 ( <1%) | 1 (2%) |
| Hypokaliémie | 0 | 2 (1%) | 0 |
| Exacerbation de l'insuffisance rénale | 0 | 0 | 1 (2%) |
| Sang dans les selles | 0 | 0 | 1 (2%) |
| Bloc cardiaque au premier degré | 0 | 0 | 1 (2%) |
| Péricardite | 0 | 0 | 1 (2%) |
| a Voir Table 4 for recommended doses. |
Pédiatrie
Ulctif has been studied in 342 pediatric patients in controlled clinical studies for maintenance of general anesthesia. In the pediatric population (birth to 12 years) the most commonly reported events were nausée vomissements et tremblement.
Les fréquences des événements indésirables pendant l'anesthésie générale avec les doses recommandées d'Ultiva sont données dans le tableau 17. Chaque patient a été compté une fois pour chaque type d'événement indésirable.
Il n'y a eu aucun événement indésirable ≥ 1% pour tout groupe de traitement pendant la période d'entretien dans les études d'anesthésie générale du patient pédiatrique.
Tableau 17: Événements indésirables rapportés chez ≥ 1% des patients pédiatriques recevant Ultiva dans des études d'anesthésie générales aux doses recommandées a d'Ultiva
| Récupération | Suivi b | |||||
| Événement indésirable | Ulctif (n = 342) | Fentanyl (n = 103) | Bupivacaïne (n = 86) | Ulctif (n = 342) | Fentanyl (n = 103) | Bupivacaïne (n = 86) |
| Vomissement | 40 (12%) | 9 (9%) | 10 (12%) | 56 (16%) | 8 (8%) | 12 (14%) |
| Nausée | 23 (8%) | 7 (7%) | 1 (1%) | 17 (6%) | 6 (6%) | 5 (6%) |
| Tremblement | 9 (3%) | 0 | 0 | 0 | 0 | 0 |
| Fragment | 8 (3%) | 2 (2%) | 0 | 0 | 0 | 0 |
| Complication postopératoire | 5 (2%) | 2 (2%) | 0 | 4 (1%) | 0 | 0 |
| Stridor | 4 (1%) | 2 (2%) | 0 | 0 | 0 | 0 |
| Toux | 4 (1%) | 1 ( <1%) | 0 | 0 | 0 | 0 |
| a Voir Table 2 for recommended doses. b Chez les sujets recevant de l'halothane (n = 22), 10 (45%) ont connu des vomissements. |
Expérience de commercialisation de la poste
Les effets indésirables suivants ont été identifiés lors de l'utilisation post-approbation de Remifentanil. Étant donné que ces réactions sont rapportées volontairement d'une population de taille incertaine, il n'est pas toujours possible d'estimer de manière fiable leur fréquence ou d'établir une relation causale à l'exposition au médicament.
Cardiovasculaire: Asystole
Syndrome de Seroton: Cas de syndrome de sérotonine Une condition potentiellement mortelle a été signalée lors de l'utilisation concomitante d'opioïdes avec des médicaments sérotoninergiques.
Anaphylaxie: L'anaphylaxie a été signalée avec des ingrédients contenus dans Ultiva.
Hyperalgésie et allodynie: Des cas d'hyperalgésie et d'allodynie ont été signalés avec une thérapie opioïde de toute durée [voir AVERTISSEMENTS AND PRÉCAUTIONS ].
Hypoglycémie: Des cas d'hypoglycémie ont été signalés chez des patients prenant des opioïdes. La plupart des rapports se trouvaient chez les patients avec au moins un facteur de risque prédisposant (par exemple le diabète).
Interactions médicamenteuses for Ultiva
Le tableau 18 comprend des interactions médicamenteuses cliniquement significatives avec Ultiva.
Tableau 18: Interactions médicamenteuses cliniquement significatives avec Ultiva
| Benzodiazépines et autres dépresseurs du système nerveux central (SNC) | |
| Impact clinique: | En raison de l'effet pharmacologique additif, l'utilisation concomitante de benzodiazépines ou d'autres dépresseurs du SNC, y compris l'alcool, augmente le risque d'hypotension dépression respiratoire de sédation profonde coma et la mort. |
| Intervention: | Limitez les doses et les durées au minimum requis. Suivez les patients étroitement pour des signes de dépression respiratoire et de sédation. Les patients doivent être invités à éviter l'alcool pendant 24 heures après la chirurgie [voir AVERTISSEMENTS AND PRÉCAUTIONS ]. |
| Exemples: | Les benzodiazépines et autres sédatifs / hypnotiques anxiolytiques tranquillisants relaxants musculaires anesthésiques généraux antipsychotiques autres opioïdes alcool. |
| Drogues sérotoninergiques | |
| Impact clinique: | L'utilisation concomitante d'opioïdes avec d'autres médicaments qui affectent le système de neurotransmetteur sérotoninergique a entraîné un syndrome de sérotonine [voir AVERTISSEMENTS AND PRÉCAUTIONS ]. |
| Intervention: | Si une utilisation concomitante est justifiée, observez soigneusement le patient, en particulier pendant l'initiation du traitement et l'ajustement de la dose. Arrêtez Ultiva si le syndrome de la sérotonine est suspecté. |
| Exemples: | Inhibiteurs sélectifs de la sérotonine Inhibiteurs (ISRS) Inhibiteurs de la sérotonine et des inhibiteurs du recapture norcéréphrine (SNRI) Antidépresseurs tricycliques (TCAS) TripTans 5-HT3 antagonistes des antagonistes qui affectent le système de neurotranster de sérotonine (par exemple Mirtazapine Tramadol) Tramadol) certains des relaxants musclés (par exemple. Cyclobenzaprine Metaxalone) Inhibiteurs de monoamine oxydase (MAO) (ceux destinés à traiter les troubles psychiatriques et d'autres tels que le linézolide et le bleu de méthylène intraveineux). |
| Inhibiteurs de la monoamine oxydase (MAOI) | |
| Impact clinique: | Les interactions MAOI avec les opioïdes peuvent se manifester comme syndrome de la sérotonine [voir AVERTISSEMENTS AND PRÉCAUTIONS ] ou la toxicité des opioïdes (par exemple la dépression respiratoire coma) [voir AVERTISSEMENTS AND PRÉCAUTIONS ]. Si l'utilisation urgente d'Ultiva est nécessaire d'utiliser les doses d'essai et le titrage fréquent de petites doses tout en surveillant étroitement la pression artérielle et les signes et symptômes du SNC et de la dépression respiratoire. |
| Intervention: | L'utilisation d'Ultiva n'est pas recommandée pour les patients prenant des MAOI ou dans les 14 jours suivant l'arrêt de ce traitement. |
| Agoniste / antagoniste mixte et analgésiques opioïdes agonistes partiels | |
| Impact clinique: | Peut réduire l'effet analgésique de l'ultiva et / ou précipiter les symptômes de sevrage. |
| Intervention: | Si une utilisation concomitante est justifiée, observez soigneusement le patient, en particulier pendant l'initiation du traitement et l'ajustement de la dose. Envisagez d'arrêter Ultiva si le patient ne répond pas de manière appropriée au traitement et instituent un traitement analgésique alternatif. |
| Exemples: | butorphanol nalbuphine pentazocine buprénorphine |
Abus de drogues et dépendance
Substance contrôlée
Ulctif contains remifentanil a Schedule II controlled substance.
Abus
Ulctif contains remifentanil a substance with high potential for misuse et abuse which can lead to the development of substance use disorder including addiction [voir AVERTISSEMENTS AND PRÉCAUTIONS ].
L'utilisation abusive est l'utilisation intentionnelle à des fins thérapeutiques d'un médicament par un individu d'une manière autre que prescrite par un fournisseur de soins de santé ou pour qui il n'a pas été prescrit.
Abus is the intentional non-therapeutic use of a drug even once for its desirable psychological or physiological effects.
La toxicomanie est un groupe de phénomènes cognitifs et physiologiques comportementaux qui peuvent inclure un fort désir de prendre les difficultés médicamenteuses dans le contrôle de la consommation de drogues (par exemple, la consommation de drogues malgré les conséquences nocives donnant une priorité plus élevée à la consommation de médicaments que les autres activités et obligations) et une tolérance possible ou une dépendance physique.
L'utilisation abusive et l'abus d'Ultiva augmentent le risque de surdosage qui peut entraîner un système nerveux central et une dépression respiratoire hypotension crise d'épilepsies et death. The risk is increased with concurrent abuse d'Ultiva with alcohol et/or other CNS depressants. Abus of et addiction to opioids in some individuals may not be accompanied by concurrent tolerance et symptoms of physical dependence. In addition abuse of opioids can occur in the absence of addiction.
Tous les patients traités avec des opioïdes nécessitent une réévaluation minutieuse et fréquente pour les signes d'abus abusif et de dépendance car l'utilisation de produits analgésiques opioïdes comporte le risque de dépendance même sous une utilisation médicale appropriée. Les patients à haut risque d'abus d'Ultiva comprennent ceux qui ont des antécédents d'utilisation prolongée de tout opioïde, y compris des produits contenant du rémifentanil ceux qui ont des antécédents d'abus de drogue ou d'alcool ou ceux qui utilisent Ultiva en combinaison avec d'autres drogues abusées.
Le comportement de recherche de médicaments est très fréquent chez les personnes atteintes de troubles de la consommation de substances. Les tactiques de recherche de médicaments comprennent des appels ou des visites d'urgence vers la fin des heures de bureau refus de subir des tests d'examen appropriés ou une perte répétée de référence de falsification d'ordonnances de prescriptions et de réticence à fournir des dossiers médicaux ou des coordonnées préalables pour d'autres fournisseurs de soins de santé traitants. Les achats de médecins (visiter plusieurs prescripteurs pour obtenir des prescriptions supplémentaires) sont courants chez les personnes qui abusent des drogues et des personnes atteintes de troubles de la consommation de substances. La préoccupation de l'obtention d'un soulagement adéquate de la douleur peut être un comportement approprié chez un patient présentant un contrôle inadéquat de la douleur.
Ulctif like other opioids can be diverted for nonmedical use into illicit channels of distribution. Careful record-keeping of prescribing information including quantity frequency et renewal requests as required by state et federal law is strongly advised.
Évaluation appropriée du patient Pratiques de prescription appropriées La réévaluation périodique de la thérapie et de la dispensation et du stockage appropriés sont des mesures appropriées qui aident à limiter l'abus des médicaments opioïdes.
Risques spécifiques à l'abus d'Ultiva
Abus d'Ultiva poses a risk of overdose et death. The risk is increased with concurrent use d'Ultiva with alcohol et/or other CNS depressants.
La toxicomanie parentérale est généralement associée à la transmission de maladies infectieuses telles que l'hépatite et le VIH.
Dépendance
La tolérance et la dépendance physique peuvent se développer lors de l'utilisation de la thérapie opioïde.
La tolérance est un état physiologique caractérisé par une réponse réduite à un médicament après une administration répétée (c'est-à-dire qu'une dose plus élevée d'un médicament est nécessaire pour produire le même effet qui a été obtenu autrefois à une dose plus faible).
La dépendance physique est un état qui se développe à la suite d'une adaptation physiologique en réponse à la consommation répétée de drogues se manifestant par des signes de sevrage et des symptômes après une abrupture brusque ou une réduction de dose significative d'un médicament.
Le retrait peut être précipité par l'administration de médicaments avec une activité antagoniste opioïde (par exemple en naloxone) analgésiques agonistes / antagonistes mixtes (par exemple la pentazocine butorphanol nalbuphine) ou des agonistes partiels (par exemple la buprénorphine). La dépendance physique peut se produire cliniquement à un degré cliniquement après plusieurs jours à des semaines d'utilisation continue.
Ulctif should not be abruptly discontinued in a physically-dependent patient [voir Posologie et administration ]. If Ulctif is abruptly discontinued in a physically-dependent patient a withdrawal syndrome may occur typically characterized by restlessness lacrimation rhinorrhea perspiration frissons myalgia et mydriasis. Other signs et symptoms also may develop including irritability anxiety backache joint pain weakness abdominal cramps insomnia nausée anorexia vomissement diarrhée or increased blood pressure respiratory rate or heart rate.
Les nourrissons nés de mères dépendant physiquement des opioïdes seront également physiquement dépendants et pourront présenter des difficultés respiratoires et des signes de sevrage [voir Utiliser dans des populations spécifiques ].
Avertissements pour Ultiva
Inclus dans le cadre du 'PRÉCAUTIONS' Section
Précautions pour Ultiva
Abus et abus de la toxicomanie
Ulctif contains remifentanil a Schedule II controlled substance. As an opioid Ulctif exposes users to the risks of addiction abuse et misuse [voir Abus de drogues et dépendance ].
Les opioïdes sont recherchés pour une utilisation non médicale et sont soumis à un détournement d'une utilisation prescrite légitime. Considérez ces risques lors de la manipulation d'Ultiva. Les stratégies pour réduire ces risques comprennent les pratiques appropriées de stockage et de contrôle des produits pour un médicament C-II. Contactez le Conseil local des licences professionnelles de l'État ou l'autorité des substances contrôlées par l'État pour obtenir des informations sur la façon de prévenir et de détecter l'abus ou le détournement de ce produit.
Dépression respiratoire potentiellement mortelle
Une grave dépression respiratoire mortelle ou mortelle a été signalée avec l'utilisation d'opioïdes même lorsqu'elle est utilisée comme recommandée. La dépression respiratoire si elle n'est pas immédiatement reconnue et traitée peut entraîner une arrestation respiratoire et une mort.
Ulctif should be administered only by persons specifically trained in the use of anesthetic drogue et the management of the respiratory effects of potent opioids including respiration et cardiac resuscitation of patients in the age group being treated. Such training must include the establishment et maintenance of a patent airway et assisted ventilation. Resuscitative et intubation equipment oxygen et opioid antagonists must be readily available.
Dépression respiratoire in spontaneously breathing patients is generally managed by decreasing the rate of the infusion d'Ultiva by 50% or by temporarily discontinuing the infusion [voir Surdosage ].
Dioxyde de carbone (CO 2 ) La rétention de la dépression respiratoire induite par les opioïdes peut exacerber les effets sédatifs des opioïdes. Bien que la grave dépression respiratoire mortelle ou mortelle puisse se produire à tout moment pendant l'utilisation d'Ultiva, le risque est le plus important lors de l'initiation de la thérapie ou après une augmentation de posologie. Surveillez les patients étroitement pour la dépression respiratoire, en particulier lors de l'initiation d'un traitement avec et après des augmentations posologiques d'Ultiva.
Ulctif should not be used in diagnostic or therapeutic procedures outside the monitored anesthesia care setting. Patients receiving monitored anesthesia care should be continuously monitored by persons not involved in the conduct of the surgical or diagnostic procedure. Oxygen saturation should be monitored on a continuous basis.
Les patients atteints de maladie pulmonaire obstructive chronique significative ou de pulmonale COR et celles présentant une hypercapnie respiratoire de réserve respiratoire considérablement diminuée ou une dépression respiratoire préexistante courent un risque accru de disque respiratoire diminué, y compris l'apnée même aux dosages recommandés d'Ultiva. Les patients âgés cachectiques ou affaiblis peuvent avoir altéré la pharmacocinétique ou une clairance altérée par rapport aux patients plus jeunes en meilleure santé entraînant un plus grand risque de dépression respiratoire. Surveillez de manière étroite ces patients, y compris les signes vitaux, en particulier lors de l'initiation et de la titrage d'Ultiva et lorsque Ultiva est donné concomitante avec d'autres médicaments qui dépriment la respiration. Pour réduire le risque de dépression respiratoire Posologie et administration ].
Risques de l'utilisation comme analgésie postopératoire avec des benzodiazépines concomitantes ou d'autres dépresseurs du SNC
Lorsque des benzodiazépines ou d'autres dépresseurs du SNC sont utilisés avec une pression artérielle pulmonaire ultiva peuvent être diminuées. Ce fait doit être pris en compte par ceux qui effectuent des procédures diagnostiques et chirurgicales où l'interprétation des mesures de pression artérielle pulmonaire pourrait déterminer la gestion finale du patient. Lorsque des doses élevées ou des doses anesthésiques d'Ultiva sont utilisées, même des doses relativement faibles de diazépam peuvent provoquer une dépression cardiovasculaire.
Lorsque Ultiva est utilisé avec des dépresseurs du SNC, une hypotension peut se produire. Si cela se produit, considérez la possibilité d'une hypovolémie et gérez avec une thérapie par liquide parentéral approprié. Lorsque les conditions opératoires permettent de considérer le repositionnement du patient pour améliorer le retour veineux au cœur. Soins de l'exercice dans le déménagement et le repositionnement des patients en raison de la possibilité d'une hypotension orthostatique. Si l'expansion du volume avec des fluides et d'autres contre-mesures ne corrigent pas l'hypotension, considérez l'administration d'agents presseurs autres que l'épinéphrine. L'épinéphrine peut diminuer paradoxalement la pression artérielle chez les patients traités par un neuroleptique qui bloque l'activité adrénergique alpha.
Hypotension profound sedation respiratory depression coma et death may result from the concomitant use d'Ultiva with benzodiazepines et/or other CNS depressants including alcohol (e.g. non-benzodiazepine sédatifs/hypnotics anxiolytics tranquillisant muscle relaxants general anesthetics antipsychotics other opioids). Patients should be advised to avoid alcohol for 24 hours after surgery [voir Interactions médicamenteuses ].
Des études observationnelles ont démontré que l'utilisation concomitante d'analgésiques opioïdes et de benzodiazépines augmente le risque de mortalité liée au médicament par rapport à l'utilisation des analgésiques opioïdes seuls. En raison de propriétés pharmacologiques similaires, il est raisonnable de s'attendre à un risque similaire avec l'utilisation concomitante d'autres médicaments dépresseurs du SNC avec des analgésiques opioïdes [voir Interactions médicamenteuses ].
Si la décision est prise de gérer des douleurs postopératoires avec une ultiva par concomitance avec une benzodiazépine ou d'autres dépresseurs du SNC, commencez à doser avec la dose et le titrate efficaces les plus faibles en fonction de la réponse clinique. Surveillez de près les patients pour les signes et symptômes de la sédation et de l'hypotension de la dépression respiratoire. Des fluides ou d'autres mesures pour contrer l'hypotension doivent être disponibles [voir Interactions médicamenteuses ].
Hyperalgésie et allodynie induites par les opioïdes
L'hyperalgésie induite par les opioïdes (OIH) se produit lorsqu'un analgésique opioïde provoque paradoxalement une augmentation de la douleur ou une augmentation de la sensibilité à la douleur. Cette condition diffère de la tolérance qui est la nécessité d'augmenter les doses d'opioïdes pour maintenir un effet défini [voir Dépendance ]. Symptoms of OIH include (but may not be limited to) increased levels of pain upon opioid dosage increase decreased levels of pain upon opioid dosage decrease or pain from ordinarily non-painful stimuli (allodynia). These symptoms may suggest OIH only if there is no evidence of underlying disease progression opioid tolerance opioid withdrawal or addictive behavior.
Des cas d'OIH ont été signalés à court terme et à plus long terme d'utilisation des analgésiques opioïdes. Bien que le mécanisme de l'OIH ne soit pas entièrement compris multiple biochimique Des voies ont été impliquées. La littérature médicale suggère une forte plausibilité biologique entre les analgésiques opioïdes et l'OIH et l'allodynie. Si un patient est soupçonné de connaître l'OIH, envisagez de réduire attentivement la dose de la rotation analgésique opioïde actuelle ou opioïde (commutant en toute sécurité le patient à un groupe opioïde différent) [voir Posologie et administration et Dépression respiratoire potentiellement mortelle ].
Syndrome de la sérotonine avec une utilisation concomitante de médicaments sérotoninergiques
Cas de syndrome de sérotonine Une condition potentiellement mortelle a été signalée lors de l'utilisation concomitante d'Ultiva avec des médicaments sérotoninergiques. Les médicaments sérotoninergiques comprennent la sérotonine sélective réapprovisionnement inhibiteurs (ISRS) sérotonine et inhibiteurs de recapture noradrénaline (SNRI) tricyclique antidépresseurs (TCAS) Médicaments antagonistes des récepteurs TripTans 5-HT3 qui affectent le système de neurotransmetteur sérotoninergique (par exemple, le tramadol de la Mirtazapine Tramadol) et les médicaments qui allaitent les métabolistes de la sérotonine (y compris les inhibiteurs de la MAO et les autres inhibiteurs de la sérotonine et les autres inhibiteurs des personnes prévues pour traiter les troubles psychiatriques et également les inhibiteurs de la sérotonine et également les autres inhibiteurs des deux personnes prévues pour traiter les troubles de la sérotonine et également les inhibiteurs de la sérotonine et également les autres inhibiteurs des deux personnes prévues pour traiter les troubles de la sérotonine et également des inhibiteurs de la MAO, les deux personnes intentionnelles pour traiter les troubles psychiatriques et également les inhibiteurs de la sérotonine et également les autres inhibiteurs de la psychia Linezolide et bleu de méthylène intraveineux) [voir Interactions médicamenteuses ]. This may occur within the recommended dosage range.
Les symptômes du syndrome de la sérotonine peuvent inclure des changements d'état mental (par exemple les hallucinations d'agitation coma) Instabilité autonome (par exemple, les aberrations neuromusculaires de la tachycardie (par exemple, la rigidité de l'hyperréflexie de l'hyperréflexie) et / ou les symptômes gastrontrtins (par exemple, la diarrrhéa de la nausée) et peuvent être fascolaires. L'apparition des symptômes se produit généralement dans plusieurs heures à quelques jours après une utilisation concomitante mais peut se produire plus tard que cela. Arrêtez Ultiva si le syndrome de la sérotonine est suspecté.
Administration
Les perfusions continues d'Ultiva ne doivent être administrées que par un dispositif de perfusion . L'administration de bolus IV d'Ultiva ne doit être utilisée que pendant l'entretien de l'anesthésie générale. Chez les patients non intubés, des doses uniques d'Ultiva doivent être administrées sur 30 à 60 secondes.
L'interruption d'une perfusion d'Ultiva entraînera un décalage rapide d'effet. La clairance rapide et le manque d'accumulation de médicament entraînent une dissipation rapide du dépresseur respiratoire et des effets analgésiques sur l'arrêt de l'ultiva à des doses recommandées. L'arrêt d'une perfusion d'Ultiva doit être précédé par la création d'une analgésie postopératoire adéquate.
Des injections d'Ultiva doivent être transformées en tubes IV à ou près de la canule veineuse. Lors de l'arrêt de l'ultiva, le tube IV doit être éliminé pour empêcher l'administration par inadvertance d'Ultiva à un moment ultérieur. Le fait de ne pas effacer adéquatement le tube IV pour éliminer l'ultiva résiduel a été associé à l'apparition de l'apnée respiratoire de la dépression et de la rigidité musculaire lors de l'administration de liquides ou de médicaments supplémentaires par le même tube IV.
Rigidité musculaire squelettique
La rigidité des muscles squelettiques peut être causée par Ultiva et est liée à la dose et à la vitesse d'administration. L'ULTIVA peut provoquer une rigidité de la paroi thoracique (incapacité à ventiler) après des doses uniques> 1 mcg / kg administrées sur 30 à 60 secondes ou après des taux de perfusion> 0,1 mcg / kg / min. Doses uniques <1 mcg/kg may cause chest wall rigidity when given concurrently with a continuous infusion d'Ultiva.
Rigidité musculaire induced by Ulctif should be managed in the context of the patient's clinical condition. Rigidité musculaire occurring during the induction of anesthesia should be treated by the administration of a neuromuscular blocking agent et the concurrent induction medications et can be treated by decreasing the rate or discontinuing the infusion d'Ultiva or by administering a neuromuscular blocking agent. The neuromuscular blocking agents used should be compatible with the patient's cardiovascular status.
Rigidité musculaire seen during the use d'Ultiva in spontaneously breathing patients may be treated by stopping or decreasing the rate of administration d'Ultiva. Resolution of muscle rigidity after discontinuing the infusion d'Ultiva occurs within minutes. In the case of life-threatening muscle rigidity a rapid onset neuromuscular blocker or naloxone may be administered.
Inactivation potentielle par les estérases non spécifiques dans les produits sanguins
Ulctif should not be administered into the same IV tubing with blood due to potential inactivation by nonspecific esterases in blood products.
Bradycardie
Bradycardie has been reported with Ulctif et is responsive to ephedrine or anticholinergic drogue such as atropine et glycopyrrolate.
Hypotension
Hypotension has been reported with Ulctif et is responsive to decreases in the administration d'Ultiva or to IV fluids or catécholamine (Éphédrine épinéphrine noradrénaline, etc.) Administration.
Sensibilisation à l'escroquerie
La sensibilisation à la peropération a été signalée chez les patients de moins de 55 ans lorsque Ultiva a été administré avec des taux de perfusion de propofol ≤ 75 mcg / kg / min.
Risques d'utilisation chez les patients respirant spontanément avec une augmentation des tumeurs du cerveau de pression intracrânienne trauffage de la tête ou une conscience altérée
Chez les patients qui peuvent être sensibles aux effets intracrâniens du CO 2 rétention (par exemple celles présentant des preuves d'une augmentation de la pression intracrânienne ou des tumeurs cérébrales) ultiva peut réduire la campagne respiratoire et le CO qui en résulte 2 La rétention peut encore augmenter la pression intracrânienne chez les patients respirant spontanément. Surveillez ces patients pour des signes de sédation et de dépression respiratoire, en particulier lors de la création de thérapie avec Ultiva.
Les opioïdes peuvent également masquer l'évolution clinique chez un patient souffrant d'une traumatisme crânien.
Risques d'utilisation chez les patients atteints d'une maladie des voies biliaires
Le Remifentanil à Ultiva peut provoquer un spasme du sphincter d'Oddi. Les opioïdes peuvent provoquer une augmentation de l'amylase sérique. Surveiller les patients atteints d'une maladie des voies biliaires, y compris pancréatite aiguë pour l'aggravation des symptômes.
Risque accru de crises chez les patients souffrant de troubles de crise
Le rémifentanil dans Ultiva peut augmenter la fréquence des crises chez les patients souffrant de troubles de crise et peut augmenter le risque de crises survenant dans d'autres contextes cliniques associés aux crises. Surveiller les patients ayant des antécédents de troubles de crise pour un contrôle des crises aggravé pendant le traitement par Ultiva.
Décalage rapide de l'action
L'activité analgésique se calmera dans les 5 à 10 minutes après l'arrêt de l'administration d'Ultiva. Cependant, la dépression respiratoire peut continuer chez certains patients jusqu'à 30 minutes après la fin de la perfusion en raison des effets résiduels des anesthésiques concomitants. La surveillance standard doit être maintenue dans la période postopératoire pour assurer une récupération adéquate sans stimulation. Pour les patients subissant des procédures chirurgicales où la douleur postopératoire est généralement anticipée, d'autres analgésiques doivent être administrés avant l'arrêt de l'ultiva.
Toxicologie non clinique
Carcinogenèse Mutagenèse A trouble de la fertilité
Cancérogenèse
Des études à long terme chez les animaux pour évaluer le potentiel cancérigène du rémifentanil n'ont pas été menées.
Mutagenèse
Une mutagénicité a été observée avec le rémifentanil dans le in vitro Dosage du lymphome de souris en présence mais pas l'absence d'activation métabolique. Le rémifentanil n'a pas induit de mutation génétique dans le in vitro test de mutation inverse bactérien (test d'Ames) et n'était pas génotoxique dans le en vain Dosage de synthèse d'ADN non hépatocytaire de rat. Aucun effet clastogène n'a été observé dans les cellules ovaires du hamster chinois cultivées ou dans le en vain Test de micronucléus de souris.
Altération de la fertilité
Il a été démontré que le rémifentanil réduit la fertilité chez les rats mâles lorsqu'il est testé après 70 jours d'administration quotidienne IV de 0,5 mg / kg, soit environ 0,2 fois une perfusion intraveineuse humaine d'une dose d'induction de 1 mcg / kg avec une dose d'entretien de 2 mcg / kg / min en termes de mg / m 2 de surface corporelle pour une procédure chirurgicale durée de 3 heures ou 40 fois une dose humaine à bolus unique de 2 mcg / kg en termes de mg / m 2 de la surface du corps.
La fertilité des rats femelles n'a pas été affectée à des doses IV aussi élevées que 1 mg / kg, soit 0,4 fois une perfusion intraveineuse humaine d'une dose d'induction de 1 mcg / kg avec une dose d'entretien de 2 mcg / kg / min en termes de mg / m 2 de surface corporelle pour une procédure chirurgicale durée de 3 heures ou environ 80 fois une dose humaine à bolus unique de 2 mcg / kg en termes de mg / m 2 de la surface du corps lorsqu'il est administré pendant au moins 15 jours avant de s'accoupler.
Utiliser dans des populations spécifiques
Grossesse
Résumé des risques
L'utilisation d'analgésiques opioïdes pendant une période prolongée pendant la grossesse peut provoquer un syndrome de sevrage opioïde néonatal. Les données disponibles avec le chlorhydrate de rémifentanil chez les femmes enceintes sont insuffisantes pour éclairer un risque associé à des malformations congénitales et une fausse couche. Dans les études de reproduction animale, une réduction du poids corporel du rat fœtal et des poids des chiots ont été signalés à 2,2 fois une perfusion intraveineuse humaine d'une dose d'induction de 1 mcg / kg avec une dose d'entretien de 2 mcg / kg / min pour une procédure chirurgicale qui dure 3 heures. There were no malformations noted when remifentanil was administered via bolus injection to pregnant rats or rabbits during organogenesis at doses approximately 5 times and approximately equal respectively to a human intravenous infusion of an induction dose of 1 mcg/kg with a maintenance dose of 2 mcg/kg/min for a surgical procedure lasting 3 hours [see Données ]. The estimated background risk of major délai de congédiements et miscarriage for the indicated population is unknown. All pregnancies have a background risk of délai de congédiement perte ou d'autres résultats négatifs. Dans la population générale américaine, le risque de fond estimé de malformations congénitales majeures et de fausse couche dans les grossesses cliniquement reconnues est respectivement de 2 à 4% et 15 à 20%.
Considérations cliniques
Travail ou livraison
Les opioïdes traversent le placenta et peuvent produire des effets respiratoires et des effets psychysiologiques chez les nouveau-nés. Un antagoniste opioïde comme la naloxone doit être disponible pour l'inversion de la dépression respiratoire induite par les opioïdes chez le nouveau-né. Ultiva n'est pas recommandé pour une utilisation chez les femmes enceintes pendant ou immédiatement avant le travail lorsque d'autres techniques analgésiques sont plus appropriées. Les analgésiques opioïdes, y compris Ultiva, peuvent prolonger le travail par des actions qui réduisent temporairement la durée et la fréquence des contractions utérines. Cependant, cet effet n'est pas cohérent et peut être compensé par un taux accru de dilatation cervicale qui tend à raccourcir la main-d'œuvre. Surveiller les nouveau-nés exposés aux analgésiques opioïdes pendant le travail pour des signes de sédation excessive et de dépression respiratoire.
Données
Données humaines
Dans un essai clinique humain, les concentrations de rémifentanil maternelles moyennes étaient environ deux fois celles observées dans le fœtus. Dans certains cas, cependant, les concentrations fœtales étaient similaires à celles de la mère. Le rapport artérioveineux ombilical des concentrations de rémifentanil était d'environ 30% suggérant que le métabolisme du rémifentanil chez le nouveau-né.
Données sur les animaux
Les rats enceintes ont été traités du jour de la gestation 6 à 15 avec des doses de rémifentanil intraveineuses de 0,5 1,6 ou 5 mg / kg / jour (NULL,2 0,7 ou 2,2 fois une dose de maintenance humaine de 2 mc / kg / kg / min sur la surface corporelle pour une procédure chirurgicale en dernière étape de 3 heures sur la surface corporelle). Des poids fœtaux réduits ont été signalés dans le groupe à forte dose; Cependant, aucune malformation n'a été signalée dans les fœtus survivants malgré une augmentation non dépendante de la dose de la mortalité maternelle.
Les lapins enceintes ont été traités du jour de la gestation 6 à 18 avec des doses de rémifentanil intraveineuses de 0,1 0,5 ou 0,8 mg / kg / jour (NULL,09 0,4 ou 0,7 fois une dose de maintenance humaine de 2 mc / kg / min sur une surface corporelle basée sur une surface corporelle pour une procédure chirurgicale en dernière procédure de 3 heures sur la surface corporelle). Aucune malformation n'a été signalée dans les fœtus survivants malgré une toxicité maternelle claire (diminution de la consommation alimentaire et du poids corporel et une mortalité accrue dans tous les groupes de traitement).
Pregnant rats were treated from Gestation Day 6 to Lactation Day 21 with intravenous boluses of remifentanil 0.5 1.6 or 5 mg/kg/day (0.2 0.7 or 2.2 times a human intravenous infusion of an induction dose of 1 mcg/kg with a maintenance dose of 2 mcg/kg/min based on body surface area for a surgical procedure lasting 3 hours based on body surface area respectively). Des poids de naissance réduits ont été notés dans les groupes à forte dose en présence d'une toxicité maternelle (accrue de la mortalité dans tous les groupes).
Lactation
Résumé des risques
On ne sait pas si le rémifentanil est excrété dans le lait maternel. Après avoir reçu un rémifentanil marqué par radioactive, la radioactivité était présente dans le lait de rats allaitants. Parce que les analogues du fentanyl sont excrétés dans la prudence du lait maternel doivent être exercés lorsque Ultiva est administré à une femme d'allaitement.
Les avantages du développement et de la santé de l'allaitement doivent être pris en compte avec le besoin clinique de la mère d'Ultiva et tout effet indésirable potentiel sur le nourrisson allaité d'Ultiva ou de l'état maternel sous-jacent.
Considérations cliniques
Les nourrissons exposés à l'ultiva par lait maternel doivent être surveillés pour une sédation excessive et une dépression respiratoire. Des symptômes de sevrage peuvent survenir chez les nourrissons allaités lorsque l'administration maternelle d'un analgésique opioïde est arrêtée ou lors de l'arrêt de l'allaitement.
Usage pédiatrique
L'efficacité et l'innocuité d'Ultiva en tant qu'agent analgésique pour une utilisation dans le maintien de l'anesthésie générale en chirurgie pédiatrique ambulatoire et hospitalière ont été établies dans des études cliniques contrôlées chez des patients pédiatriques de la naissance à 12 ans [voir Études cliniques ].
Le schéma de perfusion d'entretien initial d'Ultiva évalué chez les patients pédiatriques de la naissance à 2 mois était de 0,4 mcg / kg / min, le schéma adulte approuvé pour une utilisation avec n 2 O. Le taux de dégagement observé chez les nouveau-nés était très variable et était en moyenne 2 fois plus élevé que dans la population adulte en bonne santé. Par conséquent, si un taux de perfusion de démarrage de 0,4 mcg / kg / min peut être approprié pour certains nouveau-nés, un taux de perfusion accru peut être nécessaire pour maintenir une anesthésie chirurgicale adéquate et des doses supplémentaires de bolus peuvent être nécessaires. La dose individuelle pour chaque patient doit être soigneusement titrée. [voir Pharmacologie clinique : Populations spécifiques: population pédiatrique et Posologie et administration Tableau 2 et Entretien de l'anesthésie .]
Ulctif has not been studied in pediatric patients for use as a postoperative analgesic or as an analgesic component of monitored anesthesia care.
Utilisation gériatrique
Dépression respiratoire is the chief risk for elderly patients treated with opioids et has occurred after large initial doses were administered to patients who were not opioid-tolerant or when opioids were co-administered with other agents that depress respiration. Titrate the dosage d'Ultiva slowly in geriatric patients et frequently reevaluate the patient for signs of central nervous system et respiratory depression [voir AVERTISSEMENTS AND PRÉCAUTIONS ]
Sur le nombre total de sujets dans les études cliniques d'Ultiva 486 était de 65 ans et plus (tranche d'âge de 66 à 90 ans). Bien que la demi-vie biologique efficace du rémifentanil soit des patients âgés inchangés se sont avérés deux fois plus sensibles que la population plus jeune des effets pharmacodynamiques du rémifentanil. La dose de départ recommandée d'Ultiva devrait être diminuée de 50% chez les patients de plus de 65 ans [voir Pharmacologie clinique et Posologie et administration ]. Titrate the dosage d'Ultiva slowly in geriatric patients. [voir AVERTISSEMENTS AND PRÉCAUTIONS .]
La clairance du rémifentanil est réduite (environ 25%) chez les personnes âgées (> 65 ans) par rapport aux jeunes adultes (en moyenne 25 ans). Cependant, les concentrations sanguines de rémifentanil diminuent aussi rapidement après la fin de l'administration chez les personnes âgées que chez les jeunes adultes.
Ce médicament est connu pour être considérablement excrété par le rein et le risque de réactions indésirables à ce médicament peut être plus élevé chez les patients présentant une fonction rénale altérée. Étant donné que les patients âgés sont plus susceptibles d'avoir une diminution des soins de fonction rénale devraient être pris dans la sélection de la dose et il peut être utile de surveiller la fonction rénale.
Utilisation chez les patients obèses morbides
Quant à tous les puissants opioïdes, la prudence est nécessaire avec une utilisation en morbide obèse patients en raison des altérations de la physiologie cardiovasculaire et respiratoire [voir Posologie et administration ].
Utilisation à long terme en USI
Aucune donnée n'est disponible sur l'utilisation à long terme (plus de 16 heures) d'Ultiva comme analgésique chez les patients en soins intensifs.
Informations sur la surdose pour Ultiva
Présentation clinique
Une surdose aiguë avec le rémifentanil peut se manifester par la dépression respiratoire La somnolence progressive vers une stupeur ou des puples de la peau squelettique de stupeur ou du coma hypoglycémie obstruction partielle ou complète des voies respiratoires ronflements atypiques et mort. La mydriase marquée plutôt que la miose peut être observée avec l'hypoxie dans des situations de surdosage [voir Pharmacologie clinique ].
Traitement de la surdose
En cas de priorités de surdose, il y a le rétablissement d'une voie aérienne brevetée et protégée et de l'institution d'une ventilation assistée ou contrôlée si nécessaire. Utiliser d'autres mesures de soutien (y compris l'oxygène et les vasopresseurs) dans la gestion de la circulation choc et pulmonary edema as indicated. Cardiac arrest or arrhythmias will require advanced life-support measures.
Les antagonistes opioïdes Naloxone ou Nalmefène sont des antidotes spécifiques à la dépression respiratoire résultant d'une surdose d'opioïdes. Pour une dépression respiratoire ou circulatoire cliniquement significative à une surdose de rémifentanil, arrêtez la perfusion ou administrez un antagoniste opioïde. Les antagonistes opioïdes ne doivent pas être administrés en l'absence de dépression respiratoire ou circulatoire cliniquement significative à une surdose de rémifentanil.
Dans un individu dépendant physiquement de l'administration d'opioïdes de la dose habituelle recommandée de l'antagoniste précipitera un syndrome de retrait aigu. La gravité des symptômes de sevrage éprouvées dépendra du degré de dépendance physique et de la dose de l'antagoniste administré. Si une décision est prise de traiter la dépression respiratoire grave dans l'administration physique des patients dépendant de l'antagoniste devrait être commencé avec soin et par titrage avec des doses plus petites que d'habitude de l'antagoniste.
Contre-indications pour Ultiva
Ulctif is contraindicated:
- Pour l'administration péridurale ou intrathécale en raison de la présence de glycine dans la formulation [voir Toxicologie non clinique ].
- Chez les patients atteints d'hypersensibilité au rémifentanil (par exemple l'anaphylaxie) [voir Effets indésirables ].
Pharmacologie clinique for Ultiva
Mécanisme d'action
Ulctif is a μ-opioid agonist with rapid onset et peak effect et short duration of action. The μ-opioid activity d'Ultiva is antagonized by opioid antagonists such as naloxone.
Contrairement à d'autres opioïdes, Ultiva est rapidement métabolisé par hydrolyse de la liaison d'ester de méthyle de l'acide propanoïque par le sang et les estérases tissulaires non spécifiques. L'ULTIVA n'est pas un substrat pour la cholinestérase plasmatique (pseudocholinestérase) et donc les patients atteints de cholinestérase atypique devraient avoir une durée d'action normale.
Pharmacodynamique
Les effets analgésiques d'Ultiva sont rapides en début et en décalage. Ses effets et ses effets secondaires dépendent de la dose et similaires à d'autres μ-opioïdes. L'Ultiva chez l'homme a une équilibration du cerveau sanguin rapide à mi-temps de 1 ± 1 minutes (moyenne ± ET) et un début d'action rapide. Les effets pharmacodynamiques d'Ultiva suivent étroitement les concentrations sanguines mesurées permettant une corrélation directe entre les taux de dose et la réponse. La concentration sanguine diminue de 50% en 3 à 6 minutes après une perfusion d'une minute ou après une perfusion continue prolongée en raison de processus de distribution et d'élimination rapides et est indépendant de la durée de l'administration du médicament. La récupération des effets d'Ultiva se produit rapidement (en 5 à 10 minutes). De nouvelles concentrations à l'état d'équilibre se produisent dans les 5 à 10 minutes après les modifications du taux de perfusion. Lorsqu'il est utilisé comme composant d'une technique anesthésique, Ultiva peut être rapidement titré à la profondeur souhaitée de l'anesthésie / analgésie (par exemple, comme l'exige des niveaux différents de peropératoire stresser ) en modifiant le taux de perfusion continu ou en administrant une injection de bolus IV.
Effets sur le système nerveux central
Le rémifentanil produit une dépression respiratoire par action directe sur les centres respiratoires du tronc cérébral. La dépression respiratoire implique à la fois une réduction de la réactivité des centres respiratoires du tronc cérébral à l'augmentation de la tension du dioxyde de carbone et à la stimulation électrique.
Le rémifentanil provoque la miose même dans l'obscurité totale. Les élèves identités sont un signe de surdose d'opioïdes mais ne sont pas pathognomoniques (par exemple, les lésions pontines des origines hémorragiques ou ischémiques peuvent produire des résultats similaires). La mydriase marquée plutôt que la miose peut être observée en raison de l'hypoxie dans les situations de surdosage.
Effets sur le tractus gastro-intestinal et d'autres muscles lisses
Le rémifentanil provoque une réduction de la motilité associée à une augmentation du tonus musculaire lisse dans l'antre de l'estomac et du duodénum. La digestion des aliments dans l'intestin grêle est retardée et les contractions propulsives sont diminuées. Les ondes péristaltiques propulsives dans le côlon sont diminuées tandis que le ton peut être augmenté au point de spasme, entraînant une constipation. D'autres effets induits par les opioïdes peuvent inclure une réduction des spasmes de sécrétions biliaires et pancréatiques du sphincter d'Oddi et des élévations transitoires de l'amylase sérique.
Effets sur le système cardiovasculaire
Le rémifentanil produit une vasodilatation périphérique qui peut entraîner une hypotension ou une syncope orthostatique. Les manifestations de la libération d'histamine et / ou de la vasodilatation périphérique peuvent inclure le prurite rinçant les yeux rouges et la transpiration et / ou l'hypotension orthostatique. La prudence doit être utilisée chez les patients hypovolémiques tels que ceux souffrant d'infarctus aigu du myocarde car le rémifentanil peut provoquer ou aggraver davantage leur hypotension. La prudence doit également être utilisée chez les patients atteints de pulmonale COR qui ont reçu des doses thérapeutiques d'opioïdes.
Effets sur le système endocrinien
Les opioïdes inhibent la sécrétion de l'hormone adrénocorticotrope (ACTH) cortisol et de l'hormone lutéinisante (LH) chez l'homme. Ils stimulent également la prolactine hormone de croissance (GH) Sécrétion et sécrétion pancréatique d'insuline et de glucagon.
quelle pilule a 4212 dessus
Effets sur le système immunitaire
Il a été démontré que les opioïdes ont une variété d'effets sur les composants du système immunitaire dans in vitro et animal models. The clinical significance of these findings is unknown. Overall the effects of opioids appear to be modestly immunosuppressive.
Concentration–Efficacy Relationships
La concentration analgésique efficace minimale variera considérablement entre les patients, en particulier chez les patients qui ont été traités auparavant avec des agonistes opioïdes [voir Posologie et administration ]. The minimum effective analgesic concentration of remifentanil for any individual patient may increase over time due to an increase in pain the development of a new pain syndrome et/or the development of analgesic tolerance.
Concentration–Adverse Reaction Relationships
Il existe une relation entre l'augmentation de la concentration plasmatique du rémifentanil et l'augmentation de la fréquence des effets indésirables opioïdes liés à la dose tels que les nausées vomissements des effets du SNC et la dépression respiratoire. Chez les patients tolérants aux opioïdes, la situation peut être modifiée par le développement de la tolérance aux effets indésirables liés aux opioïdes [voir Posologie et administration ].
Hémodynamique
Chez les patients prémédiqués subissant une anesthésie de 1 minute de perfusions de <2 mcg/kg of ULTIVA cause dose-dependent hypotension and bradycardia. While additional doses> 2 mcg / kg (jusqu'à 30 mcg / kg) ne produisent pas de diminution supplémentaire de la fréquence cardiaque ou de la pression artérielle La durée du changement hémodynamique est augmentée proportionnellement aux concentrations sanguines obtenues. Les effets hémodynamiques maximaux se produisent dans les 3 à 5 minutes suivant une seule dose d'Ultiva ou une augmentation du taux de perfusion. Le glycopyrroge atropine et les agents de blocage neuromusculaire vagolytique atténuent les effets hémodynamiques associés à l'ultiva. Le cas échéant, la bradycardie et l'hypotension appropriées peuvent être inversées par la réduction du taux de perfusion d'Ultiva ou de la dose d'anesthésiques simultanés ou par l'administration de liquides ou de vasopresseurs.
Respiration
Ulctif depresses respiration in a dose-related fashion. Unlike other fentanyl analogs the duration of action d'Ultiva at a given dose does not increase with increasing duration of administration due to lack of drug Time (minutes) accumulation. When Ulctif et alfentanil were dosed to equal levels of respiratory depression recovery of respiratory drive after 3-hour infusions was more rapid et less variable with Ulctif (see Figure 1).
Figure 1: Récupération du lecteur respiratoire après les doses équipotentes * d'Ultiva et d'alfentanil en utilisant CO 2 Ventilation infime stimulée chez les volontaires adultes (± 1,5 SEM)
| * Équipotent fait référence au niveau de dépression respiratoire. |
La respiration spontanée se produit à des concentrations sanguines de 4 à 5 ng / ml en l'absence d'autres agents anesthésiques; Par exemple, après l'arrêt d'une perfusion de 0,25 mcg / kg / min de rémifentanil, ces concentrations sanguines seraient atteintes en 2 à 4 minutes. Chez les patients subissant une anesthésie générale, le taux de récupération respiratoire dépend de l'anesthésie simultanée; N 2 O
Rigidité musculaire
La rigidité des muscles squelettiques peut être causée par Ultiva et est liée à la dose et à la vitesse d'administration. L'ULTIVA peut provoquer une rigidité de la paroi thoracique (incapacité à ventiler) après des doses uniques> 1 mcg / kg administrées sur 30 à 60 secondes ou des taux de perfusion> 0,1 mcg / kg / min; La rigidité musculaire périphérique peut se produire à des doses plus faibles. Administration des doses <1 mcg/kg may cause chest wall rigidity when given concurrently with a continuous infusion d'Ultiva.
Libération d'histamine
Les tests d'histamine chez les patients et les volontaires normaux n'ont montré aucune élévation des taux plasmatiques d'histamine après l'administration d'Ultiva à des doses allant jusqu'à 30 mcg / kg sur 60 secondes.
Analgésie
Les infusions de 0,05 à 0,1 mcg / kg / min produisant des concentrations sanguines de 1 à 3 ng / ml sont généralement associées à une analgésie avec une diminution minimale de la fréquence respiratoire. Des doses supplémentaires de 0,5 à 1 mcg / kg augmentent progressives du taux de perfusion> 0,05 mcg / kg / min et des concentrations sanguines dépassant 5 ng / ml (généralement produites par des perfusions de 0,2 mcg / kg / min) ont été associées à une apnée de dépression respiratoire transitoire et réversible.
Anesthésie
Ulctif is synergistic with the activity of hypnotics (propofol et thiopental) inhaled anesthetics et benzodiazepines [voir Études cliniques AVERTISSEMENTS AND PRÉCAUTIONS et Posologie et administration ].
Âge
L'activité pharmacodynamique d'Ultiva (telle que mesurée par la CE 50 Pour le développement des ondes delta sur l'EEG) augmente avec l'augmentation de l'âge. La CE 50 de Remifentanil pour cette mesure était de 50% moins chez les patients de plus de 65 ans par rapport aux volontaires sains (25 ans) [voir Posologie et administration ].
Sexe
Aucune différence n'a été démontrée dans l'activité pharmacodynamique (telle que mesurée par l'EEG) d'Ultiva entre les hommes et les femmes.
Interactions médicamenteuses
Chez les animaux, la durée de la paralysie musculaire de la succinylcholine n'est pas prolongée par le rémifentanil.
Pression intraoculaire
Il n'y a eu aucun changement dans la pression intraoculaire après l'administration d'Ultiva avant la chirurgie ophtalmique sous soins d'anesthésie surveillés.
Cérébrodynamique
Sous une anesthésie à l'oxyde d'isoflurane-nitrous (PACO 2 <30 mmHg) a 1-minute infusion d'Ultiva (0.5 or 1.0 mcg/kg) produced no change in intracranial pressure. Mean arterial pressure et cerebral perfusion decreased as expected with opioids. In patients receiving Ulctif et nitrous oxide anesthesia cerebrovascular reactivity to carbon dioxide remained intact. In humans no epileptiform activity was seen on the EEG (n = 44) at remifentanil doses up to 8 mcg/kg/min.
Dysfonctionnement rénal
La pharmacodynamique d'Ultiva (réponse ventilatoire à l'hypercarbia) ne sont pas modifiées chez les patients atteints d'une maladie rénale de stade terminal (clairance de la créatine <10 mL/min).
Dysfonctionnement hépatique
La pharmacodynamique d'Ultiva (réponse ventilatoire à l'hypercarbia) est inchangée chez les patients atteints de dysfonction hépatique sévère en attente de transplantation hépatique.
Pharmacocinétique
Après les doses IV administrées sur 60 secondes, la pharmacocinétique du rémifentanil ajuste un modèle à trois compartiments avec une demi-vie de distribution rapide d'une minute une demi-vie de distribution plus lente de 6 minutes et une demi-vie d'élimination terminale de 10 à 20 minutes. Étant donné que la composante d'élimination des terminaux contribue moins de 10% de la zone globale dans la courbe de concentration en fonction du temps (AUC), la demi-vie biologique efficace d'Ultiva est de 3 à 10 minutes. Ceci est similaire à la demi-vie de 3 à 10 minutes mesurée après la fin des perfusions prolongées (jusqu'à 4 heures; voir la figure 2) et est en corrélation avec les temps de récupération observés en milieu clinique après des perfusions jusqu'à 12 heures. Les concentrations de rémifentanil sont proportionnelles à la dose administrée dans toute la plage de dose recommandée. La pharmacocinétique du rémifentanil n'est pas affectée par la présence d'une déficience rénale ou hépatique.
Distribution
Le volume initial de distribution (VD) de Remifentanil est d'environ 100 ml / kg et représente la distribution dans tout le sang et les tissus rapidement perfusés. Remifentanil se répand ensuite en tissus périphériques avec un volume de distribution à l'état d'équilibre d'environ 350 ml / kg. Ces deux volumes de distribution sont généralement en corrélation avec le poids corporel total (sauf chez les patients gravement obèses lorsqu'ils sont mieux corrélés avec le poids corporel idéal [IBW]). Le rémifentanil est à environ 70% lié aux protéines plasmatiques dont les deux tiers se lient à la glycoprotéine alpha-1-acide.
Élimination
La clairance du rémifentanil chez les jeunes adultes en bonne santé est d'environ 40 ml / min / kg. La clairance est généralement en corrélation avec le poids corporel total (sauf chez les patients gravement obèses lorsqu'il est mieux corrélé avec l'IBW). La clairance élevée du rémifentanil combinée à un volume de distribution relativement faible produit une demi-vie d'élimination courte d'environ 3 à 10 minutes (voir figure 2). Cette valeur est cohérente avec le temps pris pour que les concentrations de sites sanguins ou d'effet baissent de 50% (demi-temps sensible au contexte), ce qui est d'environ 3 à 6 minutes. Contrairement aux autres analogues de fentanyl, la durée d'action n'augmente pas avec l'administration prolongée.
Figure 2: Concentration moyenne (ET) en fonction du temps
Titration à effet
L'élimination rapide du rémifentanil permet le titrage du taux de perfusion sans souci pendant une durée prolongée. En général, chaque variation de 0,1 mcg / kg / min du taux de perfusion IV entraînera une variation correspondante de 2,5 ng / ml de la concentration de remontage sanguin dans les 5 à 10 minutes. Chez les patients intubés, une augmentation plus rapide (en 3 à 5 minutes) à un nouvel état d'équilibre peut être obtenue avec une dose de bolus de 1,0 mcg / kg conjointement avec une augmentation du taux de perfusion.
Métabolisme
Le rémifentanil est un opioïde métabolisé estérase. Une liaison ester labile rend ce composé sensible à l'hydrolyse par des estérases non spécifiques dans le sang et les tissus. Cette hydrolyse entraîne la production du métabolite de l'acide carboxylique (3- [4-méthoxycarbonyl-4 - [(1-oxopropyle) phénylamino] -1-pipéridine] acide propanoïque) et représente la voie métabolique principale pour le rémifentanil (> 95%). Le métabolite de l'acide carboxylique est essentiellement inactif (1/4600 aussi puissant que le rémifentanil chez les chiens). Le rémifentanil n'est pas métabolisé par la cholinestérase plasmatique (pseudocholinestérase) et n'est pas métabolisé sensiblement par le foie ou le poumon.
Excrétion
Le métabolite de l'acide carboxylique est excrété par les reins avec une demi-vie d'élimination d'environ 90 minutes.
Populations spécifiques
Âge: Geriatric Population
La clairance du rémifentanil est réduite (environ 25%) chez les personnes âgées (> 65 ans) par rapport aux jeunes adultes (en moyenne 25 ans). Cependant, les concentrations sanguines de rémifentanil diminuent aussi rapidement après la fin de l'administration chez les personnes âgées que chez les jeunes adultes.
Âge: Pediatric Population
Chez les patients pédiatriques de 5 jours à 17 ans (n = 47) 57,2 ± 21,1 ml / min / kg. Le volume de distribution total (à l'état d'équilibre) chez les nouveau-nés était de 452 ± 144 ml / kg contre 223 ± 30,6 ml / kg chez les adolescents. La demi-vie du Remifentanil était la même chez les nouveau-nés et les adolescents. La clairance du rémifentanil a été maintenue ou au-dessus des valeurs adultes normales chez les patients chez les patients de 5 jours à 17 ans.
Sexe
Il n'y a pas de différence significative dans la pharmacocinétique du rémifentanil chez les patients masculins et féminins après avoir corrigé les différences de poids.
Trouble hépatique
La pharmacocinétique du rémifentanil et son métabolite acide carboxylique sont inchangées chez les patients souffrant de troubles hépatiques graves.
Trouble rénal
Le profil pharmacocinétique d'Ultiva n'est pas modifié chez les patients atteints d'une maladie rénale de stade terminal (autorisation de créatinine <10 mL/min). In anephric patients the half-life of the carboxylic acid metabolite increases from 90 minutes to 30 hours. The metabolite is removed by hemodialysis with a dialysis extraction ratio of approximately 30%.
Obésité
Il n'y a pas de différence dans la pharmacocinétique du rémifentanil chez les patients non obèses par rapport aux patients obèses (supérieurs à 30% par rapport à l'IBW) lorsqu'ils sont normalisés à IBW.
Contournement cardiopulmonaire (CPB)
La clairance du rémifentanil est réduite d'environ 20% pendant le CPB hypothermique.
Études d'interaction médicamenteuse
La clairance du rémifentanil n'est pas modifiée par l'administration concomitante de propofol isoflurane thiopental ou de témazépam pendant l'anesthésie. In vitro Des études avec l'atracurium mivacurium esmolol échothiophate néostigmine physostigmine et le midazolam n'ont révélé aucune inhibition de l'hydrolyse de la remifentanil dans le sang humain entier par ces médicaments.
Études cliniques
Ulctif was evaluated in 3341 patients undergoing general anesthesia (n = 2706) et monitored anesthesia care (n = 639). These patients were evaluated in the following settings: inpatient (n = 2079) which included cardiovascular (n = 426) et neurosurgical (n = 61) et outpatient (n = 1349). Four-hundred et eighty-six (486) elderly patients (age range 66 to 90 years) et 410 pediatric patients (age range birth to 12 years) received Ulctif. Of the general anesthesia patients 682 also received Ulctif as an IV analgesic agent during the immediate postoperative period.
Induction et maintenance de l'anesthésie générale - hospitalière / ambulatoire
L'efficacité d'Ultiva a été étudiée chez 1562 patients dans 15 essais contrôlés randomisés comme composante analgésique pour l'induction et le maintien de l'anesthésie générale. Huit de ces études ont comparé Ultiva à Alfentanil et deux études ont comparé Ultiva au fentanyl. Dans ces études, des doses d'Ultiva jusqu'à l'urgence 90 ont été comparés à des doses recommandées (approximativement ED50) de l'alfentanil ou du fentanyl.
Induction de l'anesthésie
Ulctif was administered with isoflurane propofol or thiopental for the induction of anesthesia (n = 1562). The majority of patients (80%) received propofol as the concurrent agent. Ulctif reduced the propofol et thiopental requirements for loss of consciousness. Compared to alfentanil et fentanyl a higher relative dose d'Ultiva resulted in fewer responses to intubation (see Table 19). Overall hypotension occurred in 5% of patients receiving Ulctif compared to 2% of patients receiving the other opioids.
Ulctif has been used as a primary agent for the induction of anesthesia; however it should not be used as a sole agent because loss of consciousness cannot be assured et because of a high incidence of apnea muscle rigidity et tachycardia. The administration of an induction dose of propofol or thiopental or a paralyzing dose of a muscle relaxant prior to or concurrently with Ulctif during the induction of anesthesia markedly decreased the incidence of muscle rigidity from 20% to <1%.
Tableau 19: Réponse à l'intubation (propofol / induction opioïde a )
| Groupe de traitement des opioïdes / (Nombre de patients) | Dose initiale (MCG / kg) | Taux de perfusion de pré-intubation (MCG / kg / min) | Non. (%) Rigidité musculaire | N ° (%) Hypotension pendant l'induction | N ° (%) Réponse à l'intubation |
| Étude 1: | |||||
| 1 | 0.1 | 1 (3%) | 0 | 27 (77%) | |
| 1 | 0.4 | 3 (9%) | 0 | 11 (31%) b | |
| 20 | 1.0 | 2 (6%) | 0 | 26 (74%) | |
| Étude 2: | |||||
| 1 | 0.5 | 9 (8%) | 5 (4%) | 17 (15%) b | |
| 25 | 1.0 | 6 (5%) | 5 (4%) | 33 (28%) | |
| Étude 3: | |||||
| 1 | 0.5 | 2 (1%) | 4 (3%) | 25 (19%) | |
| 20 | 2.0 | 0 | 0 | 19 (29%) | |
| Étude 4: | |||||
| 1 | 0.2 | 11 (11%) b | 2 (2%) | 35 (36%) | |
| 2 c | 0.4 | 11 (12%) b | 2 (2%) | 12 (13%) b | |
| 3 | N / A | 1 (1%) | 1 (1%) | 29 (30%) | |
| a Le propofol a été titré à la perte de conscience. Pas toutes les doses de Ulctif were equipotent to the comparator opioid. b Les différences étaient statistiquement significatives ( P <0.02). c Les doses initiales supérieures à 1 mcg / kg ne sont pas recommandées. |
Utiliser pendant le maintien de l'anesthésie
Ulctif was investigated in 929 patients in seven well controlled general surgery studies in conjunction with nitrous oxide isoflurane or propofol in both inpatient et outpatient settings. These studies demonstrated that Ulctif could be dosed to high levels of opioid effect et rapidly titrated to optimize analgesia intraoperatively without delaying or prolonging recovery.
Par rapport à l'Alfentanil et au Fentanyl ces doses relatives plus élevées (ed 90 ) d'Ultiva a entraîné moins de réponses aux stimuli peropératoires (voir tableau 20) et à une fréquence d'hypotension plus élevée (16% par rapport à 5% pour les autres opioïdes). Ultiva a été infusé jusqu'à la fin de la chirurgie tandis qu'Alfentanil a été interrompu 5 à 30 minutes avant la fin de la chirurgie comme recommandé. Les taux de perfusion finale moyennes d'Ultiva se situaient entre 0,25 et 0,48 mcg / kg / min.
Tableau 20: Réponses peropératoires a
| Groupe de traitement des opioïdes / (non. Des patients) | Anesthésique simultanée | Taux de perfusion post-intubation (MCG / kg / min) | Non (%) avec une hypotension peropératoire | Non (%) avec une réponse à l'incision cutanée | Non (%) avec des signes d'anesthésie légère | Non (%) avec une réponse à la fermeture de la peau |
| Étude 1: | ||||||
| 0.1 | 0 | 20 (57%) | 33 (94%) | 6 (17%) | ||
| Oxyde nitreux | 0.4 | 0 | 3 (9%) b | 12 (34%) b | 2 (6%) b | |
| 1.0 | 0 | 24 (69%) | 33 (94%) | 12 (34%) | ||
| Étude 2: | ||||||
| Isoflurane | 0.25 | 35 (30%) b | 9 (8%) b | 66 (57%) b | 19 (16%) | |
| Oxyde nitreux | 0.5 | 12 (10%) | 20 (17%) | 85 (72%) | 25 (21%) | |
| Étude 3: | ||||||
| Propofol | 0.5 | 3 (2%) | 14 (11%) b | 70 (52%) b | 25 (19%) | |
| 2.0 | 2 (3%) | 21 (32%) | 47 (71%) | 13 (20%) | ||
| Étude 4: | ||||||
| 0.2 | 13 (13%) | 12 (12%) b | 67 (68%) b | 7 (7%) | ||
| Isoflurane | 0.4 | 16 (18%) b | 4 (4%) b | 44 (48%) b | 3 (3%) b | |
| 1,5-3 MCG / kg PRN | 7 (7%) | 32 (33%) | 84 (87%) | 11 (11%) | ||
| a Toutes les doses d'Ultiva n'étaient pas équipotentes à l'opioïde du comparateur. b Les différences étaient statistiquement significatives ( P <0.05). |
Dans trois études contrôlées randomisées (n = 407) pendant l'anesthésie générale, Ultiva a atténué les signes d'anesthésie légère dans un délai médian de 3 à 6 minutes après des doses de bolus de 1 mcg / kg avec ou sans augmentation de taux de perfusion de 50% à 100% (jusqu'à un taux maximum de 2 mcg / kg / min).
Dans une étude randomisée supplémentaire en double aveugle (n = 103), un taux constant (NULL,25 mcg / kg / min) d'Ultiva a été comparé pour doubler le taux à 0,5 mcg / kg / min environ 5 minutes avant le début du principal événement de stress chirurgical. Le doublement du taux a diminué l'incidence des signes d'anesthésie légère de 67% à 8% chez les patients subissant une hystérectomie abdominale et de 19% à 10% chez les patients subissant une prostatectomie radicale. Chez les patients subissant une laminectomie, la dose plus faible était adéquate.
Récupération
En 2169, les patients recevant Ultiva pendant des périodes allant jusqu'à 16 heures de récupération de l'anesthésie ont été rapidement prévisibles et indépendants de la durée de la perfusion d'Ultiva. Dans les sept études de chirurgie générale contrôlées, une extubation s'est produite dans une médiane de 5 minutes (extrêmes: -3 à 17 minutes chez 95% des patients) en anesthésie ambulatoire et 10 minutes (extrêmes: 0 à 32 minutes chez 95% des patients) en anesthésie hospitalière. La récupération dans les études utilisant l'oxyde nitreux ou le propofol était plus rapide que chez celles utilisant l'isoflurane comme anesthésique simultanée. Il n'y avait aucun cas de dépression respiratoire retardée induite par le rémifentanil se produisant plus de 30 minutes après l'arrêt du rémifentanil [voir AVERTISSEMENTS AND PRÉCAUTIONS ].
Dans une étude randomisée en double aveugle, l'administration de sulfate de morphine (NULL,15 mg / kg) par voie intraveineuse 20 minutes avant la fin prévue de la chirurgie à 98 patients n'a pas retardé la récupération de la campagne respiratoire chez les patients subissant une chirurgie majeure avec une anesthésie totale IV-Profol-Profol.
Anesthésie de ventilation spontanée
Deux études aléatoires randomisées (n = 127) ont examiné l'administration d'Ultiva en ambulatoires subissant une anesthésie générale avec un masque laryngé. Les taux de perfusion de démarrage d'Ultiva ≤ 0,05 mcg / kg / min ont fourni une analgésie supplémentaire tout en permettant une ventilation spontanée avec du propofol ou de l'isoflurane. Les doses de bolus d'Ultiva pendant la ventilation spontanée entraînent des périodes transitoires de dépression respiratoire de l'apnée et de rigidité musculaire.
Anesthésie pédiatrique
Ulctif has been evaluated for maintenance of general anesthesia in 410 pediatric patients from birth to 12 years undergoing inpatient et outpatient procedures. Four clinical studies have been performed.
Étude 1 Un essai clinique contrôlé randomisé ouvert (n = 129) a comparé Ultiva (n = 68) avec Alfentanil (n = 19) isoflurane (n = 22) ou propofol (n = 20) chez les enfants de 2 à 12 ans subissant une chirurgie du strabisme. Après l'induction de l'anesthésie, qui comprenait l'administration d'atropine ultiva, a été administrée comme une perfusion initiale de 1 mcg / kg / min avec 70% d'oxyde d'azote. Le taux de perfusion requis pendant le maintien de l'anesthésie était de 0,73 à 1,95 mcg / kg / min. Le temps à l'extubation et au mouvement déterminé était une médiane de 10 minutes (plage de 1 à 24 minutes).
Étude 2 Un essai contrôlé randomisé en double aveugle (n = 222) a comparé Ultiva (n = 119) au fentanyl (n = 103) chez les enfants de 2 à 12 ans subissant une amygdalectomie avec ou sans adénoïdectomie. Après induction des patients atteints d'anesthésie, a reçu une perfusion de 0,25 mcg / kg / min d'Ultiva ou de fentanyl par bolus IV avec de l'oxyde nitreux / oxygène (2: 1) et d'halothane ou de sévoflurane pour le maintien de l'anesthésie. Le taux de perfusion moyen requis pendant le maintien de l'anesthésie était de 0,3 mcg / kg / min (plage de 0,2 à 1,3 mcg / kg / min). Le taux de perfusion continu a été diminué à 0,05 mcg / kg / min environ 10 minutes avant la fin de la chirurgie. Le délai de mouvement spontané a été une médiane de 8 minutes (intervalle 1 à 19 minutes). Le temps d'extubation était une médiane de 9 minutes (intervalle de 2 à 19 minutes).
Étude 3 Un essai contrôlé randomisé ouvert (n = 271) a comparé Ultiva (n = 185) avec une technique anesthésique régionale (n = 86) chez les enfants de 1 à 12 ans subissant une chirurgie urologique ou orthopédique abdominale ou orthopédique majeure. Les patients ont reçu une perfusion de 0,25 mcg / kg / min d'Ultiva après un bolus de 1,0 mcg / kg ou une bupivacaïne par perfusion péridurale ainsi que l'isoflurane et l'oxyde nitreux après l'induction de l'anesthésie. Le taux de perfusion moyen requis pendant le maintien de l'anesthésie était de 0,25 mcg / kg / min (plage de 0 à 0,75 mcg / kg / min). Les deux traitements ont été efficaces pour atténuer les réponses à l'incision cutanée pendant la chirurgie. Le profil hémodynamique du groupe Ultiva était cohérent avec une technique anesthésique générale à base d'opioïdes. Le délai de mouvement spontané a été une médiane de 15 minutes (intervalle de 2 à 75 minutes) dans le groupe Remifentanil. Le temps d'extubation était une médiane de 13 minutes (intervalle de 4 à 31 minutes) dans le groupe Remifentanil.
Étude 4 Un essai contrôlé randomisé ouvert (n = 60) a comparé Ultiva (n = 38) avec l'halothane (n = 22) dans les nouveau-nés ASA 1 ou 2 à terme et les nourrissons ≤ 8 semaines d'âge pesant au moins 2500 grammes qui subissaient une pyloromyotomie. Après l'induction de l'anesthésie qui comprenait l'administration de patients atteints d'atropine, a reçu 0,4 mcg / kg / min d'Ultiva ou 0,4% d'halothane avec 70% d'oxyde d'azote pour le maintien initial de l'anesthésie, puis les deux agents ont été ajustés en fonction de la réponse clinique. Des doses de bolus de 1 mcg / kg administrées sur 30 à 60 secondes ont été utilisées pour traiter de brefs épisodes d'hypertension et de tachycardie et les taux de perfusion ont été augmentés de 50% pour traiter l'hypertension et la tachycardie soutenue. La plage de taux de perfusion d'Ultiva requise pendant le maintien de l'anesthésie était de 0,4 à 1 mcg / kg / min.
Soixante et onze pour cent (71%) des patients Ultiva ont nécessité des bolus supplémentaires ou des augmentations de taux par rapport à la dose de départ de 0,4 mcg / kg / min pour traiter le mouvement de la tachycardie hypertension ou des signes somatiques d'anesthésie légère. Vingt-quatre pour cent des patients ont nécessité une augmentation par rapport au taux initial de 0,4 mcg / kg / min avant l'incision et 26% des patients ont nécessité un taux de perfusion entre 0,8 et 1,0 mcg / kg / min le plus souvent pendant la manipulation gastrique. Le taux de perfusion continu a été diminué à 0,05 mcg / kg / min environ 10 minutes avant la fin de la chirurgie.
Dans le groupe Ultiva, le temps médian de l'arrêt de l'anesthésie à un mouvement spontané déterminé était de 6,5 minutes (portée 1 à 13 minutes) et le temps médian à l'extubation était de 8,5 minutes (plage 1 à 14 minutes).
Le schéma de perfusion d'entretien initial d'Ultiva évalué chez les patients pédiatriques de la naissance à 2 mois était de 0,4 mcg / kg / min, le schéma adulte approuvé pour une utilisation avec n 2 O. Le taux de dégagement observé dans la population néonatale était très variable et était en moyenne deux fois plus élevé que dans la population adulte en bonne santé. [voir Pharmacologie clinique : Populations spécifiques: population pédiatrique et Posologie et administration Tableau 2.]
Aucun patient pédiatrique ne recevant d'Ultiva n'a nécessité de naloxone pendant la période de récupération postopératoire immédiate.
Chirurgie du pontage coronarien
Ulctif was originally administered to 225 subjects undergoing elective CABG surgery in two dose-ranging studies without active comparators. Subsequently two double-blind double-dummy clinical studies (N = 426) evaluated Ulctif (n = 236) at recommended doses versus active comparators (n = 190).
Le premier comparateur étudie une étude à double groupe parallèle en double fumière randomisée multicentrique (n = 369) a comparé Ultiva (n = 201) avec du fentanyl (n = 168) chez des patients adultes subissant une chirurgie électorale élective. Les sujets ont reçu 1 à 3 mg de midazolam et 0,05 mg / kg de morphine IV comme prémédication. L'anesthésie a été induite avec du propofol 0,5 mg / kg (doses plus élevées administrées avec Ultiva a été associée à une hypotension excessive) sur une minute plus des bolus de 10 mg toutes les 10 secondes jusqu'à la perte de conscience suivie de cisatracurium 0,2 mg / kg ou de vecuronium 0,15 mg / kg. Les patients randomisés en Ultiva ont reçu une perfusion de 1 mcg / kg / min d'Ultiva suivi d'un bolus de placebo administré en 3 minutes. Dans le groupe témoin actif, une perfusion de placebo IV a été démarrée et un bolus de fentanyl 10 mcg / kg a été administré en 3 minutes. Tous les sujets ont reçu l'isoflurane titré initialement pour mettre fin à la concentration de marée de 0,5%. Pendant l'entretien, le groupe randomisé en Ultiva a reçu selon les besoins de 0,5 à 1 Mcg / kg / min IV augmente (à un maximum de 4 mcg / kg / min) d'Ultiva et 1 mcg / kg IV d'Ultiva. Le groupe témoin actif a reçu 2 bolus MCG / kg IV de fentanyl et augmente le taux de perfusion de placebo IV.
Le deuxième comparateur étudie une étude de groupe parallèle randomisé à double aveugle multicentrique (n = 57) a comparé Ultiva (n = 35) au fentanyl (n = 22) chez des patients adultes subissant une chirurgie électorale électorale avec une mauvaise fonction ventriculaire gauche (fraction d'éjection (fraction d'éjection <0.35). Subjects received oral lorazepam 40 mcg/kg as premedication. Anesthésie was induced using etomidate until loss of consciousness followed by a low-dose propofol infusion (3 mg/kg/hr) et pancuronium 0.15 mg/kg. Subjects in the group administered Ulctif received a placebo bolus dose et a continuous infusion d'Ultiva 1 mcg/kg/min et subjects in the fentanyl group received a bolus loading dose of 15 mcg/kg et placebo continuous infusion. During maintenance supplemental bolus doses d'Ultiva (0.5 mcg/kg) et infusion rate increases of 0,5 à 1 mcg/kg/min (maximum rate allowed was 4 mcg/kg/min) d'Ultiva were administered to one group; while the fentanyl group was given intermittent maintenance bolus doses of 2 mcg/kg et increases in the placebo infusion rate.
Dans ces deux études utilisant une technique opioïde à forte dose avec Ultiva comme composant d'un régime anesthésique intraveineux équilibré ou total, le régime de rémifentanil a effectivement atténué la réponse à la propagation sternale maximale généralement mieux que la dose et le régime étudié pour le contrôle actif (fentanyl). Bien que cela fournisse des preuves de l'efficacité du rémifentanil comme analgésique dans ce contexte, il faut exercer la prudence pour interpréter ces résultats comme une preuve de supériorité du remulfentanil sur le contrôle actif, car ces études n'ont pas tenté d'évaluer et de comparer les doses analgésiques optimales de l'un ou l'autre médicament dans ce contexte.
Neurochirurgie
Ulctif was administered to 61 patients undergoing craniotomy for removal of a supratentorial mass lesion. In these studies ventilation was controlled to maintain a predicted PaCO 2 d'environ 28 mmHg. Dans une étude (n = 30) avec Ultiva et 66% d'oxyde nitreux, le temps médian à l'extubation et la réponse du patient aux commandes verbales était de 5 minutes (plage de -1 à 19 minutes). La pression intracrânienne et la réactivité cérébrovasculaire au dioxyde de carbone étaient normales [voir Pharmacologie clinique ].
Une étude contrôlée randomisée a comparé Ultiva (n = 31) au fentanyl (n = 32). Ultiva (1 mcg / kg / min) et le fentanyl (2 mcg / kg / min) ont été administrés après induction avec du thiopéent et du pancuronium. Un nombre similaire de patients (6%) recevant Ultiva et Fentanyl avait une hypotension pendant l'induction. L'anesthésie a été maintenue avec l'oxyde nitreux et l'ultiva à un taux de perfusion moyen de 0,23 mcg / kg / min (plage de 0,1 à 0,4) par rapport à un taux de perfusion moyen de fentanyl de 0,04 mcg / kg / min (plage de 0,02 à 0,07). L'isoflurane supplémentaire a été administré au besoin. Les patients recevant ULTIVA nécessitaient une dose moyenne d'isoflurane moyenne plus faible (NULL,07 heures MAC) par rapport à 0,64 heures MAC pour les patients atteints de fentanyl (P = 0,04). Ultiva a été interrompu à la fin de l'anesthésie tandis que le fentanyl a été interrompu au moment du remplacement du volet osseux (un temps médian de 44 minutes avant la fin de la chirurgie). Le temps médian à l'extubation était similaire (5 et 3,5 minutes respectivement avec Ultiva et Fentanyl). Aucun des patients recevant ULTIVA n'avait besoin de naloxone par rapport à sept des patients atteints de fentanyl (P = 0,01). Quatre-vingt-un pour cent (81%) des patients recevant Ultiva se sont rétablis (éveillé et orientés) dans les 30 minutes après la chirurgie, contre 59% des patients atteints de fentanyl ( P = 0,06). À 45 minutes, les taux de récupération étaient similaires (81% et 69% respectivement pour Ultiva et Fentanyl P = 0,27). Les patients recevant Ultiva ont nécessité un analgésique pour les maux de tête plus tôt que les patients atteints de fentanyl (médiane de 35 minutes contre 136 minutes respectivement [ P = 0,04]). Aucun effet cérébrovasculaire négatif n'a été observé dans cette étude [voir Pharmacologie clinique ].
Continuation de l'utilisation des analgésiques dans la période postopératoire immédiate
Analgésie with Ulctif in the immediate postoperative period (until approximately 30 minutes after extubation) was studied in 401 patients in four dose-finding studies et in 281 patients in two efficacy studies. In the dose-finding studies the use of bolus doses d'Ultiva et incremental infusion rate increases ≥ 0,05 mcg / kg / min led to respiratory depression et muscle rigidity.
Dans deux études d'efficacité, Ultiva 0,1 mcg / kg / min a été lancé immédiatement après l'arrêt de l'anesthésie. Des augmentations de taux de perfusion progressive de 0,025 mcg / kg / min toutes les 5 minutes ont été données pour traiter des douleurs postopératoires modérées à sévères. Dans l'étude, 1 50% des diminutions du taux de perfusion ont été effectués si la fréquence respiratoire diminuait en dessous de 12 respirations / min et dans l'étude 2, les mêmes diminutions étaient effectuées si la fréquence respiratoire était inférieure à 8 respirations / min. Avec cette différence de critères de taux de perfusion, diminuant l'incidence de la dépression respiratoire était plus faible dans l'étude 1 (4%) que dans l'étude 2 (12%). Dans les deux études, Ultiva a fourni une analgésie efficace (aucune douleur ou légère avec une fréquence respiratoire ≥ 8 respirations / min) chez environ 60% des patients à des taux de perfusion finale moyennes de 0,1 à 0,125 mcg / kg / min.
L'étude 2 était une étude contrôlée randomisée en double aveugle dans laquelle les patients ont reçu soit du sulfate de morphine (NULL,15 mg / kg administré 20 minutes avant l'extrémité prévue de la chirurgie plus des doses de bolus 2 mg pour l'analgésie supplémentaire) ou Ultiva (comme décrit ci-dessus). L'émergence de l'anesthésie était similaire entre les groupes; Le temps médian à l'extubation était de 5 à 6 minutes pour les deux. L'ULTIVA a fourni une analgésie efficace chez 58% des patients, contre 33% des patients qui ont reçu de la morphine. La dépression respiratoire s'est produite chez 12% des patients recevant ULTIVA, contre 4% des patients morphines. Pour les patients qui ont reçu du sulfate de morphine ultiva (NULL,15 mg / kg) ont été administrés à des doses divisées 5 et 10 minutes avant d'arrêter Ultiva. Dans les 30 minutes après l'arrêt de l'ultiva, le pourcentage de patients atteints d'analgésie efficace a diminué à 34%.
Soins d'anesthésie surveillés
Ultiva a été étudié dans le cadre de soins d'anesthésie surveillés chez 609 patients dans huit études cliniques. Presque tous les patients ont reçu de l'oxygène supplémentaire dans ces études. Deux études précoces à la dose ont démontré que l'utilisation de la sédation comme critère d'évaluation pour la titrage de l'ultiva a conduit à une incidence élevée de rigidité musculaire (69%) et à la dépression respiratoire. Les essais ultérieurs ont titré Ultiva à des critères d'évaluation cliniques spécifiques de l'analgésie de confort du patient et une respiration adéquate (fréquence respiratoire> 8 respirations / min) avec une incidence plus faible correspondante de rigidité musculaire (3%) et de dépression respiratoire. Avec des doses de midazolam> 2 mg (4 à 8 mg), la dose d'Ultiva pourrait être diminuée de 50%, mais l'incidence de la dépression respiratoire est passé à 32%.
L'efficacité d'une dose unique d'Ultiva (NULL,0 mcg / kg sur 30 secondes) a été comparée à Alfentanil (7 mcg / kg sur 30 secondes) chez les patients subissant une chirurgie ophtalmique. Plus de patients recevant Ultiva étaient sans douleur au moment du bloc nerveux (77% contre 44% P = 0,02) et nausées plus expérimentées (12% contre 4%) que celles recevant de l'alfentanil.
Dans une étude contrôlée randomisée (n = 118) Ultiva 0,5 mcg / kg sur 30 à 60 secondes, suivie d'une perfusion continue de 0,1 mcg / kg / min a été comparée à un bolus de propofol (500 mcg / kg) suivi d'une perfusion continue (50 mcg / kg / min) chez des patients qui ont reçu un bloc nerveux anesthésique local ou régional 5 minutes plus tard. L'incidence de douleurs modérées ou sévères pendant le placement du bloc était similaire entre les groupes (2% avec Ultiva et 8% avec du propofol P = 0,2) et plus de patients recevant Ultiva ont eu des nausées (26% contre 2% P <0.001). The final mean infusion rate d'Ultiva was 0.08 mcg/kg/min.
Dans une étude en double aveugle randomisée, Ultiva avec ou sans midazolam a été évalué chez 159 patients subissant des procédures chirurgicales superficielles sous anesthésie locale. Ultiva a été administré sans midazolam sous forme de dose de 1 mcg / kg sur 30 secondes, suivi d'une perfusion continue de 0,1 mcg / kg / min. Dans le groupe de patients qui a reçu du midazolam ultiva, a été administré sous forme de dose de 0,5 mcg / kg sur 30 secondes, suivi d'une perfusion continue de 0,05 mcg / kg / min et du midazolam 2 mg a été administré 5 minutes plus tard. La survenue d'une douleur modérée ou intense pendant l'injection anesthésique locale était similaire entre les groupes (16% et 20%). D'autres effets pour Ultiva seuls et Ultiva / Midazolam étaient: Dépression respiratoire avec désaturation de l'oxygène (SPO2 <90%) 5% et 2%; nausée 8% et 2%; et pruritus 23% et 12%. Titration d'Ultiva resulted in prompt resolution of respiratory depression (median 3 minutes range 0 to 6 minutes). The final mean infusion rate d'Ultiva was 0.12 mcg/kg/min (range 0.03 to 0.3) for the group receiving Ulctif alone et 0.07 mcg/kg/min (range 0.02 to 0.2) for the group receiving Ulctif/midazolam.
Informations sur les patients pour Ultiva
Abus et abus de la toxicomanie
Informer les patients que l'utilisation d'Ultiva même lorsqu'elle est prise comme recommandée peut entraîner des abus de dépendance et une mauvaise consommation qui peuvent entraîner une surdose et la mort [voir AVERTISSEMENTS AND PRÉCAUTIONS ].
Dépression respiratoire potentiellement mortelle
Informer les patients du risque de dépression respiratoire potentiellement mortelle, y compris des informations selon lesquelles le risque est le plus élevé lors du démarrage d'Ultiva ou lorsque la dose est augmentée et qu'elle peut se produire même aux doses recommandées.
Hyperalgésie et allodynie
Conseiller aux patients d'informer leur fournisseur de soins de santé s'ils présentent des symptômes d'hyperalgésie, y compris l'aggravation de la douleur, une sensibilité accrue à la douleur ou à la douleur [voir AVERTISSEMENTS AND PRÉCAUTIONS et Effets indésirables ].
Syndrome de Seroton
Informer les patients que les opioïdes pourraient provoquer une affection rare mais potentiellement mortelle appelée syndrome de sérotonine résultant de l'administration concomitante de médicaments sérotoninergiques. Avertissez les patients des symptômes du syndrome de la sérotonine et de consulter immédiatement un médecin si les symptômes se développent après la sortie de l'hôpital. Demandez aux patients d'informer leur fournisseur de soins de santé s'ils prennent ou prévoient de prendre des médicaments sérotoninergiques [voir AVERTISSEMENTS AND PRÉCAUTIONS et Interactions médicamenteuses ].
Constipation
Conseiller les patients sur le potentiel de constipation sévère, y compris les instructions de gestion et quand consulter un médecin [voir Effets indésirables et Pharmacologie clinique ].